Comprehensive review for aflatoxin detoxification with special attention to cold plasma treatment.

IF 3.1 4区 医学 Q2 MYCOLOGY
Mycotoxin Research Pub Date : 2025-05-01 Epub Date: 2025-02-01 DOI:10.1007/s12550-025-00582-5
Yehia A-G Mahmoud, Nehal E Elkaliny, Omar A Darwish, Yara Ashraf, Rumaisa Ali Ebrahim, Shankar Prasad Das, Galal Yahya
{"title":"Comprehensive review for aflatoxin detoxification with special attention to cold plasma treatment.","authors":"Yehia A-G Mahmoud, Nehal E Elkaliny, Omar A Darwish, Yara Ashraf, Rumaisa Ali Ebrahim, Shankar Prasad Das, Galal Yahya","doi":"10.1007/s12550-025-00582-5","DOIUrl":null,"url":null,"abstract":"<p><p>Aflatoxins are potent carcinogens and pose significant risks to food safety and public health worldwide. Aflatoxins include Aflatoxin B1 (AFB1), Aflatoxin B2 (AFB2), Aflatoxin G1 (AFG1), Aflatoxin G2 (AFG2), and Aflatoxin M1 (AFM1). AFB1 is particularly notorious for its carcinogenicity, classified as a Group 1 human carcinogen by the International Agency for Research on Cancer (IARC). Chronic exposure to aflatoxins through contaminated food and feed can lead to liver cancer, immunosuppression, growth impairment, and other systemic health issues. Efforts to mitigate aflatoxin contamination have traditionally relied on chemical treatments, physical separation methods, and biological degradation. However, these approaches often pose challenges related to safety, efficacy, and impact on food quality. Recently, cold plasma treatment has emerged as a promising alternative. Cold plasma generates reactive oxygen species, which effectively degrade aflatoxins on food surfaces without compromising nutritional integrity or safety. This review consolidates current research and advancements in aflatoxin detoxification, highlighting the potential of cold plasma technology to revolutionize food safety practices. By exploring the mechanisms of aflatoxin toxicity, evaluating existing detoxification methods, and discussing the principles and applications of cold plasma treatment.</p>","PeriodicalId":19060,"journal":{"name":"Mycotoxin Research","volume":" ","pages":"277-300"},"PeriodicalIF":3.1000,"publicationDate":"2025-05-01","publicationTypes":"Journal Article","fieldsOfStudy":null,"isOpenAccess":false,"openAccessPdf":"https://www.ncbi.nlm.nih.gov/pmc/articles/PMC12037664/pdf/","citationCount":"0","resultStr":null,"platform":"Semanticscholar","paperid":null,"PeriodicalName":"Mycotoxin Research","FirstCategoryId":"3","ListUrlMain":"https://doi.org/10.1007/s12550-025-00582-5","RegionNum":4,"RegionCategory":"医学","ArticlePicture":[],"TitleCN":null,"AbstractTextCN":null,"PMCID":null,"EPubDate":"2025/2/1 0:00:00","PubModel":"Epub","JCR":"Q2","JCRName":"MYCOLOGY","Score":null,"Total":0}
引用次数: 0

Abstract

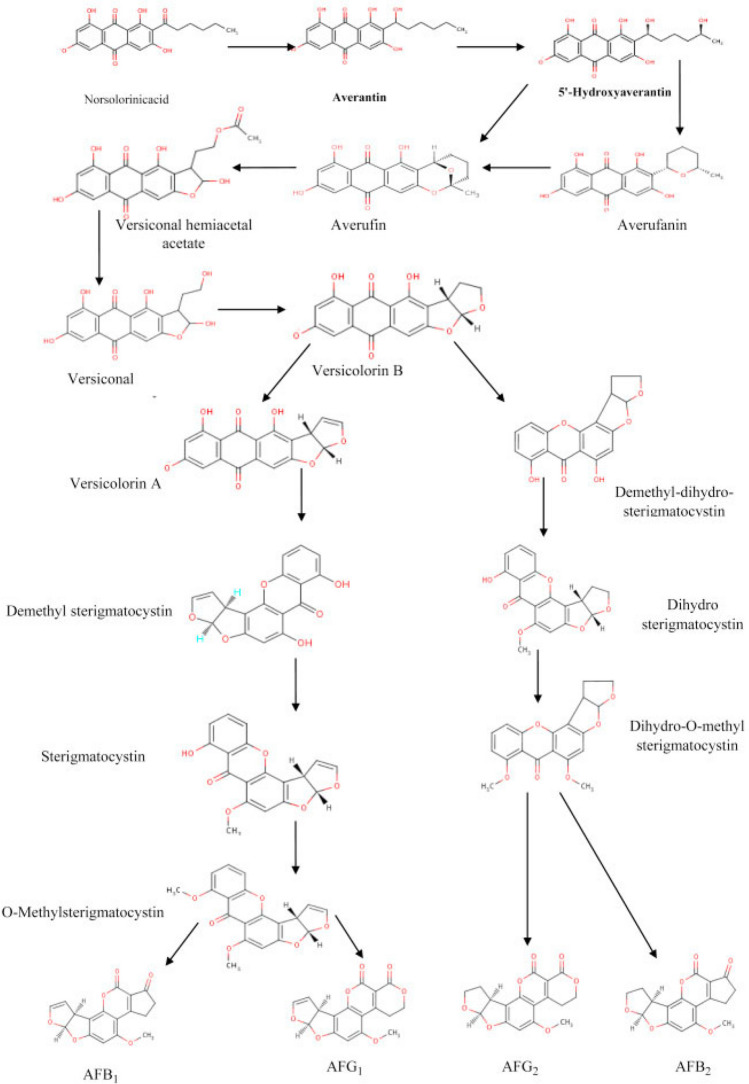
Aflatoxins are potent carcinogens and pose significant risks to food safety and public health worldwide. Aflatoxins include Aflatoxin B1 (AFB1), Aflatoxin B2 (AFB2), Aflatoxin G1 (AFG1), Aflatoxin G2 (AFG2), and Aflatoxin M1 (AFM1). AFB1 is particularly notorious for its carcinogenicity, classified as a Group 1 human carcinogen by the International Agency for Research on Cancer (IARC). Chronic exposure to aflatoxins through contaminated food and feed can lead to liver cancer, immunosuppression, growth impairment, and other systemic health issues. Efforts to mitigate aflatoxin contamination have traditionally relied on chemical treatments, physical separation methods, and biological degradation. However, these approaches often pose challenges related to safety, efficacy, and impact on food quality. Recently, cold plasma treatment has emerged as a promising alternative. Cold plasma generates reactive oxygen species, which effectively degrade aflatoxins on food surfaces without compromising nutritional integrity or safety. This review consolidates current research and advancements in aflatoxin detoxification, highlighting the potential of cold plasma technology to revolutionize food safety practices. By exploring the mechanisms of aflatoxin toxicity, evaluating existing detoxification methods, and discussing the principles and applications of cold plasma treatment.

Abstract Image

Abstract Image

Abstract Image

黄曲霉毒素解毒的综合综述,特别关注冷等离子体治疗。
黄曲霉毒素是强致癌物,对全世界的食品安全和公共卫生构成重大风险。黄曲霉毒素包括黄曲霉毒素B1 (AFB1)、黄曲霉毒素B2 (AFB2)、黄曲霉毒素G1 (AFG1)、黄曲霉毒素G2 (AFG2)和黄曲霉毒素M1 (AFM1)。AFB1的致癌性尤其臭名昭著,被国际癌症研究机构(IARC)列为1类人类致癌物。通过受污染的食物和饲料长期接触黄曲霉毒素可导致肝癌、免疫抑制、生长障碍和其他系统性健康问题。减轻黄曲霉毒素污染的努力传统上依赖于化学处理、物理分离方法和生物降解。然而,这些方法往往在安全性、有效性和对食品质量的影响方面提出挑战。最近,冷等离子体治疗已成为一种有希望的替代方法。冷等离子体产生活性氧,可有效降解食物表面的黄曲霉毒素,而不影响营养完整性或安全性。本文综述了目前黄曲霉毒素解毒的研究和进展,强调了冷等离子体技术革新食品安全实践的潜力。通过探讨黄曲霉毒素的毒性机制,评价现有的解毒方法,并讨论冷等离子体处理的原理和应用。
本文章由计算机程序翻译,如有差异,请以英文原文为准。
求助全文
约1分钟内获得全文 求助全文
来源期刊
Mycotoxin Research
Mycotoxin Research MYCOLOGYTOXICOLOGY-TOXICOLOGY
CiteScore
6.40
自引率
6.70%
发文量
29
期刊介绍: Mycotoxin Research, the official publication of the Society for Mycotoxin Research, is a peer-reviewed, scientific journal dealing with all aspects related to toxic fungal metabolites. The journal publishes original research articles and reviews in all areas dealing with mycotoxins. As an interdisciplinary platform, Mycotoxin Research welcomes submission of scientific contributions in the following research fields: - Ecology and genetics of mycotoxin formation - Mode of action of mycotoxins, metabolism and toxicology - Agricultural production and mycotoxins - Human and animal health aspects, including exposure studies and risk assessment - Food and feed safety, including occurrence, prevention, regulatory aspects, and control of mycotoxins - Environmental safety and technology-related aspects of mycotoxins - Chemistry, synthesis and analysis.
×
引用
GB/T 7714-2015
复制
MLA
复制
APA
复制
导出至
BibTeX EndNote RefMan NoteFirst NoteExpress
×
提示
您的信息不完整,为了账户安全,请先补充。
现在去补充
×
提示
您因"违规操作"
具体请查看互助需知
我知道了
×
提示
确定
请完成安全验证×
copy
已复制链接
快去分享给好友吧!
我知道了
右上角分享
点击右上角分享
0
联系我们:info@booksci.cn Book学术提供免费学术资源搜索服务,方便国内外学者检索中英文文献。致力于提供最便捷和优质的服务体验。 Copyright © 2023 布克学术 All rights reserved.
京ICP备2023020795号-1
ghs 京公网安备 11010802042870号
Book学术文献互助
Book学术文献互助群
群 号:604180095
Book学术官方微信