The Startle Response and Prepulse Inhibition in Psychosis and Violence: A Combined Electromyography and Electroencephalography Study.

IF 2
Schizophrenia bulletin open Pub Date : 2024-12-28 eCollection Date: 2025-01-01 DOI:10.1093/schizbullopen/sgae031
Nina Bang, Johanne H Pettersen, Merete Berg Nesset, Kirsten Rasmussen, Hilde Dahl, Natalia Tesli, Christina Bell, Anja Vaskinn, Thomas Fischer-Vieler, Christine Friestad, Ole A Andreassen, Erik G Jönsson, Torbjørn Elvsåshagen, Unn K Haukvik, Torgeir Moberget
{"title":"The Startle Response and Prepulse Inhibition in Psychosis and Violence: A Combined Electromyography and Electroencephalography Study.","authors":"Nina Bang, Johanne H Pettersen, Merete Berg Nesset, Kirsten Rasmussen, Hilde Dahl, Natalia Tesli, Christina Bell, Anja Vaskinn, Thomas Fischer-Vieler, Christine Friestad, Ole A Andreassen, Erik G Jönsson, Torbjørn Elvsåshagen, Unn K Haukvik, Torgeir Moberget","doi":"10.1093/schizbullopen/sgae031","DOIUrl":null,"url":null,"abstract":"<p><p>There is a pressing need for biomarkers of violent behavior risk in psychosis. Previous research indicates that electrophysiological measures of automatic defensive reactions may have potential. The purpose of this study was to investigate associations between violent behavior in individuals with and without psychosis and electromyography (EMG) and electroencephalography (EEG) responses to startling auditory stimuli. Electromyography and EEG were recorded during an auditory startle paradigm from healthy controls (HC, <i>n</i> = 211), individuals with psychosis and a history of violent behavior (violent-PSY, <i>n</i> = 18), individuals with psychosis without a history of violence (nonviolent-PSY, <i>n</i> = 32), and individuals with a history of violence without psychosis (violent non-PSY, <i>n</i> = 22). We estimated the auditory startle response (ASR) and prepulse inhibition (PPI) using EMG (ie, EMG<sub>ASR</sub> and EMG<sub>PPI</sub>) and the auditory-evoked potential (ie, AEP<sub>ASR</sub> and AEP<sub>PPI</sub>) of the EEG. There were no significant effects of group on the EMG<sub>ASR</sub> (<i>P</i> = .10) or the 30-, 60-, and 120-ms prepulse + pulse EMG<sub>PPI</sub> amplitudes (<i>P</i> = .11, <i>P</i> = .19, and <i>P</i> = .50, respectively). The N1 amplitude of the AEP<sub>ASR</sub> was reduced in the violent-PSY group (<i>P</i> < .001) and the nonviolent-PSY group (<i>P</i> = .015) compared with HC. The P2 amplitude of the AEP<sub>ASR</sub> was reduced in violent-PSY relative to nonviolent-PSY (<i>P</i> = .003), violent non-PSY (<i>P</i> = .016), and HC (<i>P</i> < .001). Together, these results show that EEG-based neural responses to startling auditory stimuli are promising biomarkers of violence risk in psychosis.</p>","PeriodicalId":94380,"journal":{"name":"Schizophrenia bulletin open","volume":"6 1","pages":"sgae031"},"PeriodicalIF":2.0000,"publicationDate":"2024-12-28","publicationTypes":"Journal Article","fieldsOfStudy":null,"isOpenAccess":false,"openAccessPdf":"https://www.ncbi.nlm.nih.gov/pmc/articles/PMC11773366/pdf/","citationCount":"0","resultStr":null,"platform":"Semanticscholar","paperid":null,"PeriodicalName":"Schizophrenia bulletin open","FirstCategoryId":"1085","ListUrlMain":"https://doi.org/10.1093/schizbullopen/sgae031","RegionNum":0,"RegionCategory":null,"ArticlePicture":[],"TitleCN":null,"AbstractTextCN":null,"PMCID":null,"EPubDate":"2025/1/1 0:00:00","PubModel":"eCollection","JCR":"","JCRName":"","Score":null,"Total":0}
引用次数: 0

Abstract

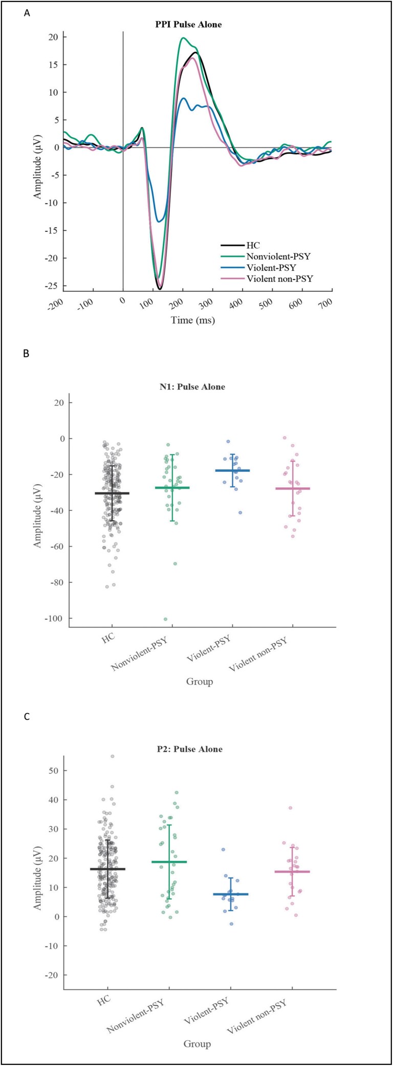
There is a pressing need for biomarkers of violent behavior risk in psychosis. Previous research indicates that electrophysiological measures of automatic defensive reactions may have potential. The purpose of this study was to investigate associations between violent behavior in individuals with and without psychosis and electromyography (EMG) and electroencephalography (EEG) responses to startling auditory stimuli. Electromyography and EEG were recorded during an auditory startle paradigm from healthy controls (HC, n = 211), individuals with psychosis and a history of violent behavior (violent-PSY, n = 18), individuals with psychosis without a history of violence (nonviolent-PSY, n = 32), and individuals with a history of violence without psychosis (violent non-PSY, n = 22). We estimated the auditory startle response (ASR) and prepulse inhibition (PPI) using EMG (ie, EMGASR and EMGPPI) and the auditory-evoked potential (ie, AEPASR and AEPPPI) of the EEG. There were no significant effects of group on the EMGASR (P = .10) or the 30-, 60-, and 120-ms prepulse + pulse EMGPPI amplitudes (P = .11, P = .19, and P = .50, respectively). The N1 amplitude of the AEPASR was reduced in the violent-PSY group (P < .001) and the nonviolent-PSY group (P = .015) compared with HC. The P2 amplitude of the AEPASR was reduced in violent-PSY relative to nonviolent-PSY (P = .003), violent non-PSY (P = .016), and HC (P < .001). Together, these results show that EEG-based neural responses to startling auditory stimuli are promising biomarkers of violence risk in psychosis.

Abstract Image

Abstract Image

精神病和暴力的惊吓反应和脉冲前抑制:肌电和脑电图联合研究。
迫切需要对精神病患者的暴力行为风险进行生物标记。以往的研究表明,自动防御反应的电生理测量可能具有潜在的应用价值。本研究的目的是调查有精神病和无精神病个体的暴力行为与肌电和脑电图(EEG)对惊人听觉刺激的反应之间的关系。在听觉惊吓范式下记录健康对照(HC, n = 211)、精神病患者和暴力行为史(暴力- psy, n = 18)、精神病患者无暴力史(非暴力- psy, n = 32)和有暴力史但无精神病患者(暴力-非psy, n = 22)的肌电图和脑电图。我们利用肌电图(EMGASR和EMGPPI)和脑电听觉诱发电位(AEPASR和apppi)估计了听惊反应(ASR)和脉冲前抑制(PPI)。两组对EMGASR (P = 0.10)和脉冲前30、60和120 ms +脉冲EMGPPI振幅(P = 0.10)无显著影响。11、p =。19, P =。分别为50)。与HC相比,暴力- psy组AEPASR N1振幅降低(P P = 0.015)。暴力- psy患者AEPASR的P2振幅相对于非暴力- psy患者(P = 0.003)、暴力-非- psy患者(P = 0.016)和HC患者(P = 0.016)均降低
本文章由计算机程序翻译,如有差异,请以英文原文为准。
求助全文
约1分钟内获得全文 求助全文
来源期刊
CiteScore
2.90
自引率
0.00%
发文量
0
×
引用
GB/T 7714-2015
复制
MLA
复制
APA
复制
导出至
BibTeX EndNote RefMan NoteFirst NoteExpress
×
提示
您的信息不完整,为了账户安全,请先补充。
现在去补充
×
提示
您因"违规操作"
具体请查看互助需知
我知道了
×
提示
确定
请完成安全验证×
copy
已复制链接
快去分享给好友吧!
我知道了
右上角分享
点击右上角分享
0
联系我们:info@booksci.cn Book学术提供免费学术资源搜索服务,方便国内外学者检索中英文文献。致力于提供最便捷和优质的服务体验。 Copyright © 2023 布克学术 All rights reserved.
京ICP备2023020795号-1
ghs 京公网安备 11010802042870号
Book学术文献互助
Book学术文献互助群
群 号:604180095
Book学术官方微信