Pediatric simple triage score: A simplified approach for triaging pediatric patients with fever in the emergency department.

IF 2.3 Q3 EMERGENCY MEDICINE
Turkish Journal of Emergency Medicine Pub Date : 2025-01-02 eCollection Date: 2025-01-01 DOI:10.4103/tjem.tjem_101_24
Arshad Ali Vadakkeveedan, Venugopalan Poovathumparambil, Rohan Thomas Senapathy, Ijas Muhammed Shaji, Ridha Padiyath, Ajith Kumar Jayachandran, Roshan P Kunheenkutty, Nadeer Savad
{"title":"Pediatric simple triage score: A simplified approach for triaging pediatric patients with fever in the emergency department.","authors":"Arshad Ali Vadakkeveedan, Venugopalan Poovathumparambil, Rohan Thomas Senapathy, Ijas Muhammed Shaji, Ridha Padiyath, Ajith Kumar Jayachandran, Roshan P Kunheenkutty, Nadeer Savad","doi":"10.4103/tjem.tjem_101_24","DOIUrl":null,"url":null,"abstract":"<p><strong>Introduction: </strong>The initial 24-h period following admission to a hospital holds profound significance for pediatric patients, representing a critical window where proactive interventions can substantially influence outcomes. We devised a simple triage system, pediatric simple triage score (PSTS), to see whether rapid triage of sick pediatric patients with fever can be done using the new triage system in the emergency department (ED) to predict hospital admission.</p><p><strong>Methods: </strong>This was a prospective observational study, conducted at the department of emergency medicine of a tertiary care teaching hospital in southern India. A prospective cohort of children presenting to the ED underwent assessment for temperature, oxygen saturation (SpO2), pulse rate, respiratory rate, sensorium, and hydration status. Sensorium was evaluated based on criteria such as poor cry, poor feeding, or decreased activity, while hydration status was assessed using indicators such as decreased urine output, dry mucous membranes, or reduced skin turgor. Subsequently, participants were triaged according to the National Institute for Health and Care Excellence (NICE) guidelines. We then monitored the admission outcomes, whether they were admitted to the intensive care unit (ICU), the ward, or discharged, based on clinical decisions made by the pediatric consultant.</p><p><strong>Results: </strong>In this study involving 350 participants, the mean age was found to be 2.72 years (standard deviation [SD] ±1.78), with a range from 29 days to 5 years. The study population consisted of 60.86% males with a total of 213 patients. Examining vital signs, the mean heart rate was 135.07 beats/min (SD ± 21.58), with a range of 82-200 beats/min. The mean temperature was 37.57°C (SD ± 0.52), with values ranging from 36.80°C to 39.20°C. The mean respiratory rate was 36.28 breaths/min (SD ± 14.06), varying from 20 to 90 breaths/min. SpO2 averaged at 96.31% (SD ± 3.64), with values ranging between 70% and 100%. Abnormal sensorium was observed in 10.86% of the participants, while seizures were reported in 2.57%. Dehydration was present in 3.71% of the study population. Among the study participants, 24.57% were admitted to the ICU, 30.57% to the ward, and 44.86% were treated as outpatients. According to PSTS, 192 (54.86%) participants were triaged to green, 119 (34%) participants to yellow, and 39 (11.14%) participants to red. The PSTS demonstrated a sensitivity of 59.59% and a specificity of 72.61% in predicting hospital admission. The NICE triage system had a sensitivity of 80.31%, in predicting the admission (either ward/ICU), with a specificity of 72.61%.</p><p><strong>Conclusion: </strong>The PSTS demonstrated fair agreement with the NICE; it exhibited lower sensitivity and positive predictive value. However, the simplicity of the new system renders it potentially useful, especially in resource-limited settings.</p>","PeriodicalId":46536,"journal":{"name":"Turkish Journal of Emergency Medicine","volume":"25 1","pages":"25-31"},"PeriodicalIF":2.3000,"publicationDate":"2025-01-02","publicationTypes":"Journal Article","fieldsOfStudy":null,"isOpenAccess":false,"openAccessPdf":"https://www.ncbi.nlm.nih.gov/pmc/articles/PMC11774433/pdf/","citationCount":"0","resultStr":null,"platform":"Semanticscholar","paperid":null,"PeriodicalName":"Turkish Journal of Emergency Medicine","FirstCategoryId":"1085","ListUrlMain":"https://doi.org/10.4103/tjem.tjem_101_24","RegionNum":0,"RegionCategory":null,"ArticlePicture":[],"TitleCN":null,"AbstractTextCN":null,"PMCID":null,"EPubDate":"2025/1/1 0:00:00","PubModel":"eCollection","JCR":"Q3","JCRName":"EMERGENCY MEDICINE","Score":null,"Total":0}
引用次数: 0

Abstract

Introduction: The initial 24-h period following admission to a hospital holds profound significance for pediatric patients, representing a critical window where proactive interventions can substantially influence outcomes. We devised a simple triage system, pediatric simple triage score (PSTS), to see whether rapid triage of sick pediatric patients with fever can be done using the new triage system in the emergency department (ED) to predict hospital admission.

Methods: This was a prospective observational study, conducted at the department of emergency medicine of a tertiary care teaching hospital in southern India. A prospective cohort of children presenting to the ED underwent assessment for temperature, oxygen saturation (SpO2), pulse rate, respiratory rate, sensorium, and hydration status. Sensorium was evaluated based on criteria such as poor cry, poor feeding, or decreased activity, while hydration status was assessed using indicators such as decreased urine output, dry mucous membranes, or reduced skin turgor. Subsequently, participants were triaged according to the National Institute for Health and Care Excellence (NICE) guidelines. We then monitored the admission outcomes, whether they were admitted to the intensive care unit (ICU), the ward, or discharged, based on clinical decisions made by the pediatric consultant.

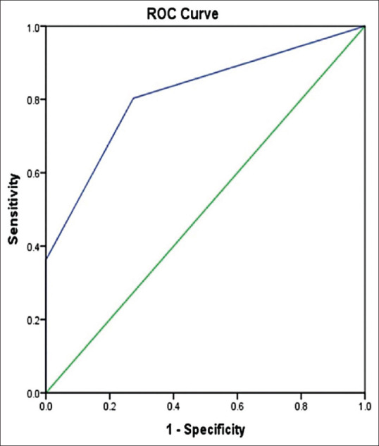
Results: In this study involving 350 participants, the mean age was found to be 2.72 years (standard deviation [SD] ±1.78), with a range from 29 days to 5 years. The study population consisted of 60.86% males with a total of 213 patients. Examining vital signs, the mean heart rate was 135.07 beats/min (SD ± 21.58), with a range of 82-200 beats/min. The mean temperature was 37.57°C (SD ± 0.52), with values ranging from 36.80°C to 39.20°C. The mean respiratory rate was 36.28 breaths/min (SD ± 14.06), varying from 20 to 90 breaths/min. SpO2 averaged at 96.31% (SD ± 3.64), with values ranging between 70% and 100%. Abnormal sensorium was observed in 10.86% of the participants, while seizures were reported in 2.57%. Dehydration was present in 3.71% of the study population. Among the study participants, 24.57% were admitted to the ICU, 30.57% to the ward, and 44.86% were treated as outpatients. According to PSTS, 192 (54.86%) participants were triaged to green, 119 (34%) participants to yellow, and 39 (11.14%) participants to red. The PSTS demonstrated a sensitivity of 59.59% and a specificity of 72.61% in predicting hospital admission. The NICE triage system had a sensitivity of 80.31%, in predicting the admission (either ward/ICU), with a specificity of 72.61%.

Conclusion: The PSTS demonstrated fair agreement with the NICE; it exhibited lower sensitivity and positive predictive value. However, the simplicity of the new system renders it potentially useful, especially in resource-limited settings.

Abstract Image

Abstract Image

儿科简单分诊评分:在急诊科对儿科发烧患者进行分诊的一种简化方法。
入院后的最初24小时对儿科患者具有深远的意义,是一个关键的窗口期,在这个窗口期,积极的干预措施可以实质性地影响结果。我们设计了一个简单的分诊系统,儿科简单分诊评分(PSTS),看看是否可以在急诊科(ED)使用新的分诊系统对发烧的儿科患者进行快速分诊,以预测住院情况。方法:这是一项前瞻性观察研究,在印度南部一家三级护理教学医院的急诊科进行。一个前瞻性队列的儿童在急诊科接受了体温、血氧饱和度(SpO2)、脉搏率、呼吸率、感觉和水合状态的评估。根据诸如哭闹、进食不良或活动减少等标准来评估感觉,而通过诸如尿量减少、粘膜干燥或皮肤肿胀减少等指标来评估水合状态。随后,参与者根据国家健康与护理卓越研究所(NICE)指南进行分类。然后,我们根据儿科会诊医生的临床决定,监测入院结果,无论他们是住进重症监护室(ICU)、病房还是出院。结果:在这项涉及350名参与者的研究中,发现平均年龄为2.72岁(标准差[SD]±1.78),范围从29天到5岁。研究人群中男性占60.86%,共213例患者。检查生命体征,平均心率为135.07次/分(SD±21.58),范围为82 ~ 200次/分。平均温度为37.57°C (SD±0.52),范围为36.80 ~ 39.20°C。平均呼吸频率36.28次/min (SD±14.06),变化范围为20 ~ 90次/min。SpO2平均值为96.31% (SD±3.64),取值范围为70% ~ 100%。10.86%的受试者感觉异常,2.57%的受试者癫痫发作。3.71%的研究人群出现脱水。在研究参与者中,有24.57%的人住进ICU, 30.57%的人住进病房,44.86%的人住进门诊。根据PSTS, 192名(54.86%)参与者被分类为绿色,119名(34%)参与者被分类为黄色,39名(11.14%)参与者被分类为红色。PSTS预测住院的敏感性为59.59%,特异性为72.61%。NICE分诊系统预测住院(病房/ICU)的敏感性为80.31%,特异性为72.61%。结论:PSTS与NICE具有较好的一致性;其敏感性较低,具有阳性预测值。但是,新系统的简单性使其具有潜在的用途,特别是在资源有限的情况下。
本文章由计算机程序翻译,如有差异,请以英文原文为准。
求助全文
约1分钟内获得全文 求助全文
来源期刊
CiteScore
1.70
自引率
0.00%
发文量
30
审稿时长
22 weeks
期刊介绍: The Turkish Journal of Emergency Medicine (Turk J Emerg Med) is an International, peer-reviewed, open-access journal that publishes clinical and experimental trials, case reports, invited reviews, case images, letters to the Editor, and interesting research conducted in all fields of Emergency Medicine. The Journal is the official scientific publication of the Emergency Medicine Association of Turkey (EMAT) and is printed four times a year, in January, April, July and October. The language of the journal is English. The Journal is based on independent and unbiased double-blinded peer-reviewed principles. Only unpublished papers that are not under review for publication elsewhere can be submitted. The authors are responsible for the scientific content of the material to be published. The Turkish Journal of Emergency Medicine reserves the right to request any research materials on which the paper is based. The Editorial Board of the Turkish Journal of Emergency Medicine and the Publisher adheres to the principles of the International Council of Medical Journal Editors, the World Association of Medical Editors, the Council of Science Editors, the Committee on Publication Ethics, the US National Library of Medicine, the US Office of Research Integrity, the European Association of Science Editors, and the International Society of Managing and Technical Editors.
×
引用
GB/T 7714-2015
复制
MLA
复制
APA
复制
导出至
BibTeX EndNote RefMan NoteFirst NoteExpress
×
提示
您的信息不完整,为了账户安全,请先补充。
现在去补充
×
提示
您因"违规操作"
具体请查看互助需知
我知道了
×
提示
确定
请完成安全验证×
copy
已复制链接
快去分享给好友吧!
我知道了
右上角分享
点击右上角分享
0
联系我们:info@booksci.cn Book学术提供免费学术资源搜索服务,方便国内外学者检索中英文文献。致力于提供最便捷和优质的服务体验。 Copyright © 2023 布克学术 All rights reserved.
京ICP备2023020795号-1
ghs 京公网安备 11010802042870号
Book学术文献互助
Book学术文献互助群
群 号:604180095
Book学术官方微信