Comparison of different surfaces in resuscitation quality using a real-time feedback device: A manikin study.

IF 2.3 Q3 EMERGENCY MEDICINE
Turkish Journal of Emergency Medicine Pub Date : 2025-01-02 eCollection Date: 2025-01-01 DOI:10.4103/tjem.tjem_100_24
Hande Asan, Erdem Çevik, Kemal Yıldırım, Aydın Cenk Güngör, Abdullah İlhan, Dilay Satılmış
{"title":"Comparison of different surfaces in resuscitation quality using a real-time feedback device: A manikin study.","authors":"Hande Asan, Erdem Çevik, Kemal Yıldırım, Aydın Cenk Güngör, Abdullah İlhan, Dilay Satılmış","doi":"10.4103/tjem.tjem_100_24","DOIUrl":null,"url":null,"abstract":"<p><strong>Objectives: </strong>Delivering chest compressions (CCs) at the targeted depth and rate is a crucial aspect of maintaining the quality of cardiopulmonary resuscitation (CPR). Although administering CCs on a firm surface is recommended, it may not always be feasible. This study aimed to determine whether the underlying surface affects CC depth and rate using a real-time feedback device.</p><p><strong>Methods: </strong>An observational study was conducted on a manikin (ResusciAnne; Laerdal). 25 volunteer emergency medicine physicians performed 2 min of continuous CCs without feedback on the floor, emergency department stretcher (EDS), and ambulance stretcher (AS). The following day, all participants performed an additional 2 min of CCs while receiving audiovisual real-time feedback (ZOLL M2 series). Compression depths and rates were measured and recorded in a real-time feedback device.</p><p><strong>Results: </strong>A total of 150 CC intervals were analyzed. The mean values of compression depths and rates on all surfaces are within the targeted range for high-quality CPR, except for the mean depth without feedback on the EDS (mean: 6.37 cm). There were a statistically significant difference, with both AS and EDS were achieved deeper compressions than those on the floor (<i>P</i> < 0.05). When examining the mean compression depths on three different surfaces with feedback, no statistically significant difference was observed. However, CCs performed without feedback on both AS and EDS were statistically significantly deeper than those on the floor. The mean compression rates both on the floor and the AS were statistically significantly faster compared to EDS. When examining the mean compression rates during CCs performed on three different surfaces with feedback, no statistically significant difference was observed but in the without feedback compressions, both on AS and floor were found to be statistically significantly faster than EDS.</p><p><strong>Conclusions: </strong>CC's depth are influenced by the underlying surface. It appears more feasible to minimize surface-related differences while maintaining appropriate targets for depth using real-time feedback devices. The mean compression rate could be kept within the targeted range regardless of the surface.</p>","PeriodicalId":46536,"journal":{"name":"Turkish Journal of Emergency Medicine","volume":"25 1","pages":"17-24"},"PeriodicalIF":2.3000,"publicationDate":"2025-01-02","publicationTypes":"Journal Article","fieldsOfStudy":null,"isOpenAccess":false,"openAccessPdf":"https://www.ncbi.nlm.nih.gov/pmc/articles/PMC11774430/pdf/","citationCount":"0","resultStr":null,"platform":"Semanticscholar","paperid":null,"PeriodicalName":"Turkish Journal of Emergency Medicine","FirstCategoryId":"1085","ListUrlMain":"https://doi.org/10.4103/tjem.tjem_100_24","RegionNum":0,"RegionCategory":null,"ArticlePicture":[],"TitleCN":null,"AbstractTextCN":null,"PMCID":null,"EPubDate":"2025/1/1 0:00:00","PubModel":"eCollection","JCR":"Q3","JCRName":"EMERGENCY MEDICINE","Score":null,"Total":0}
引用次数: 0

Abstract

Objectives: Delivering chest compressions (CCs) at the targeted depth and rate is a crucial aspect of maintaining the quality of cardiopulmonary resuscitation (CPR). Although administering CCs on a firm surface is recommended, it may not always be feasible. This study aimed to determine whether the underlying surface affects CC depth and rate using a real-time feedback device.

Methods: An observational study was conducted on a manikin (ResusciAnne; Laerdal). 25 volunteer emergency medicine physicians performed 2 min of continuous CCs without feedback on the floor, emergency department stretcher (EDS), and ambulance stretcher (AS). The following day, all participants performed an additional 2 min of CCs while receiving audiovisual real-time feedback (ZOLL M2 series). Compression depths and rates were measured and recorded in a real-time feedback device.

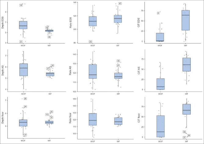
Results: A total of 150 CC intervals were analyzed. The mean values of compression depths and rates on all surfaces are within the targeted range for high-quality CPR, except for the mean depth without feedback on the EDS (mean: 6.37 cm). There were a statistically significant difference, with both AS and EDS were achieved deeper compressions than those on the floor (P < 0.05). When examining the mean compression depths on three different surfaces with feedback, no statistically significant difference was observed. However, CCs performed without feedback on both AS and EDS were statistically significantly deeper than those on the floor. The mean compression rates both on the floor and the AS were statistically significantly faster compared to EDS. When examining the mean compression rates during CCs performed on three different surfaces with feedback, no statistically significant difference was observed but in the without feedback compressions, both on AS and floor were found to be statistically significantly faster than EDS.

Conclusions: CC's depth are influenced by the underlying surface. It appears more feasible to minimize surface-related differences while maintaining appropriate targets for depth using real-time feedback devices. The mean compression rate could be kept within the targeted range regardless of the surface.

Abstract Image

使用实时反馈装置的不同表面在复苏质量上的比较:一项人体研究。
目的:以目标深度和速率进行胸部按压(CCs)是维持心肺复苏(CPR)质量的关键方面。虽然建议在坚硬的表面施用CCs,但这并不总是可行的。本研究旨在利用实时反馈装置确定下垫面是否会影响CC深度和速率。方法:对人体模型(ResusciAnne;Laerdal)。25名志愿急诊医师在地板、急诊科担架(EDS)和救护车担架(AS)上连续进行2分钟无反馈的CCs。第二天,所有参与者在接受视听实时反馈(ZOLL M2系列)的同时进行额外的2分钟CCs。在实时反馈装置中测量和记录压缩深度和速率。结果:共分析了150个CC区间。所有表面的压缩深度和速率平均值都在高质量CPR的目标范围内,除了没有EDS反馈的平均深度(平均值:6.37 cm)。AS组和EDS组均比地板组压迫更深,差异有统计学意义(P < 0.05)。用反馈法检测三种不同表面的平均压缩深度时,没有观察到统计学上的显著差异。然而,在没有反馈的情况下,在AS和EDS上进行的CCs比在地板上进行的CCs更深。与EDS相比,地板和AS的平均压缩率在统计学上显著提高。当检查在三种不同的有反馈的表面上进行压缩时的平均压缩率时,没有观察到统计学上的显着差异,但在没有反馈的压缩中,AS和地板上的压缩率在统计学上都比EDS快。结论:CC的深度受下垫面影响。在使用实时反馈设备保持适当深度目标的同时,最小化与地面相关的差异似乎更为可行。无论表面如何,平均压缩率都可以保持在目标范围内。
本文章由计算机程序翻译,如有差异,请以英文原文为准。
求助全文
约1分钟内获得全文 求助全文
来源期刊
CiteScore
1.70
自引率
0.00%
发文量
30
审稿时长
22 weeks
期刊介绍: The Turkish Journal of Emergency Medicine (Turk J Emerg Med) is an International, peer-reviewed, open-access journal that publishes clinical and experimental trials, case reports, invited reviews, case images, letters to the Editor, and interesting research conducted in all fields of Emergency Medicine. The Journal is the official scientific publication of the Emergency Medicine Association of Turkey (EMAT) and is printed four times a year, in January, April, July and October. The language of the journal is English. The Journal is based on independent and unbiased double-blinded peer-reviewed principles. Only unpublished papers that are not under review for publication elsewhere can be submitted. The authors are responsible for the scientific content of the material to be published. The Turkish Journal of Emergency Medicine reserves the right to request any research materials on which the paper is based. The Editorial Board of the Turkish Journal of Emergency Medicine and the Publisher adheres to the principles of the International Council of Medical Journal Editors, the World Association of Medical Editors, the Council of Science Editors, the Committee on Publication Ethics, the US National Library of Medicine, the US Office of Research Integrity, the European Association of Science Editors, and the International Society of Managing and Technical Editors.
×
引用
GB/T 7714-2015
复制
MLA
复制
APA
复制
导出至
BibTeX EndNote RefMan NoteFirst NoteExpress
×
提示
您的信息不完整,为了账户安全,请先补充。
现在去补充
×
提示
您因"违规操作"
具体请查看互助需知
我知道了
×
提示
确定
请完成安全验证×
copy
已复制链接
快去分享给好友吧!
我知道了
右上角分享
点击右上角分享
0
联系我们:info@booksci.cn Book学术提供免费学术资源搜索服务,方便国内外学者检索中英文文献。致力于提供最便捷和优质的服务体验。 Copyright © 2023 布克学术 All rights reserved.
京ICP备2023020795号-1
ghs 京公网安备 11010802042870号
Book学术文献互助
Book学术文献互助群
群 号:604180095
Book学术官方微信