Silicosis prevalence and related issues in India: a scoping review.

IF 2.7 4区 医学 Q2 PUBLIC, ENVIRONMENTAL & OCCUPATIONAL HEALTH
Mukti Khetan, Bontha V Babu
{"title":"Silicosis prevalence and related issues in India: a scoping review.","authors":"Mukti Khetan, Bontha V Babu","doi":"10.1186/s12995-024-00445-2","DOIUrl":null,"url":null,"abstract":"<p><strong>Background: </strong>Silicosis remains a major occupational health challenge in India. This review systematically examines the prevalence, risk factors, regional differences, and diagnostic tools specific to India's high-risk industries. Additionally, it assesses policy gaps and offers insights from diverse clinical and qualitative studies, aiming to inform targeted public health interventions and support the development of effective occupational health policies.</p><p><strong>Methods: </strong>For this review, data were extracted for each study, including author, location, design, study aims, sample size and characteristics, participant age, duration of silica exposure, diagnostic criteria, and primary outcomes. As an add-on analysis included, a random-effects meta-analysis was used to estimate the pooled prevalence of silicosis and assess variability among studies. The review also included qualitative analyses on awareness, diagnostic tools (e.g., CC16 protein), and differences in prevalence across various occupational groups and regions within India.</p><p><strong>Results: </strong>The review initially identified 263 articles, narrowed down to 49 eligible studies on silicosis in India after exclusions and quality assessment. Among these, 11 prevalence studies (total sample size: 2072) showed an average silicosis rate of 31.39%. Specific studies reported high rates, including 52% among Rajasthan mine workers and 69.1% among Khambhat agate workers. Additionally, screening tools, like CC16 protein levels, showed promise for early diagnosis, while qualitative studies highlighted gaps in awareness and regulatory practices. Meta-analysis revealed a significant pooled prevalence (25.98%) and marked variability (I<sup>2</sup> = 98.86%), underscoring the need for targeted interventions and worker protections.</p><p><strong>Conclusions: </strong>This review of current knowledge on silicosis in India finds silicosis highly prevalent among workers in mining and stone industries, with gaps in regulatory enforcement and awareness. Biomarkers like CC16 offer the potential for early diagnosis, underscoring the need for preventive measures. Policy recommendations include stricter dust exposure limits, enhanced workers' education, routine screening, and improved access to protective equipment and health monitoring to reduce the risk of silicosis and health disparities in vulnerable occupational groups.</p>","PeriodicalId":48903,"journal":{"name":"Journal of Occupational Medicine and Toxicology","volume":"20 1","pages":"3"},"PeriodicalIF":2.7000,"publicationDate":"2025-01-29","publicationTypes":"Journal Article","fieldsOfStudy":null,"isOpenAccess":false,"openAccessPdf":"https://www.ncbi.nlm.nih.gov/pmc/articles/PMC11776177/pdf/","citationCount":"0","resultStr":null,"platform":"Semanticscholar","paperid":null,"PeriodicalName":"Journal of Occupational Medicine and Toxicology","FirstCategoryId":"3","ListUrlMain":"https://doi.org/10.1186/s12995-024-00445-2","RegionNum":4,"RegionCategory":"医学","ArticlePicture":[],"TitleCN":null,"AbstractTextCN":null,"PMCID":null,"EPubDate":"","PubModel":"","JCR":"Q2","JCRName":"PUBLIC, ENVIRONMENTAL & OCCUPATIONAL HEALTH","Score":null,"Total":0}
引用次数: 0

Abstract

Background: Silicosis remains a major occupational health challenge in India. This review systematically examines the prevalence, risk factors, regional differences, and diagnostic tools specific to India's high-risk industries. Additionally, it assesses policy gaps and offers insights from diverse clinical and qualitative studies, aiming to inform targeted public health interventions and support the development of effective occupational health policies.

Methods: For this review, data were extracted for each study, including author, location, design, study aims, sample size and characteristics, participant age, duration of silica exposure, diagnostic criteria, and primary outcomes. As an add-on analysis included, a random-effects meta-analysis was used to estimate the pooled prevalence of silicosis and assess variability among studies. The review also included qualitative analyses on awareness, diagnostic tools (e.g., CC16 protein), and differences in prevalence across various occupational groups and regions within India.

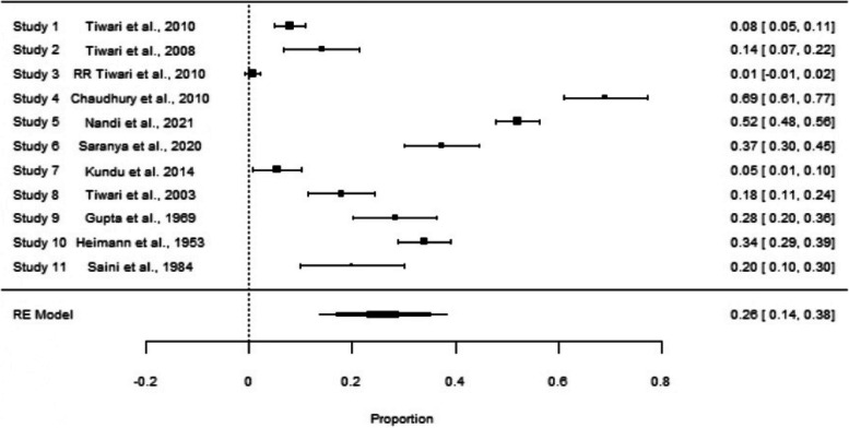
Results: The review initially identified 263 articles, narrowed down to 49 eligible studies on silicosis in India after exclusions and quality assessment. Among these, 11 prevalence studies (total sample size: 2072) showed an average silicosis rate of 31.39%. Specific studies reported high rates, including 52% among Rajasthan mine workers and 69.1% among Khambhat agate workers. Additionally, screening tools, like CC16 protein levels, showed promise for early diagnosis, while qualitative studies highlighted gaps in awareness and regulatory practices. Meta-analysis revealed a significant pooled prevalence (25.98%) and marked variability (I2 = 98.86%), underscoring the need for targeted interventions and worker protections.

Conclusions: This review of current knowledge on silicosis in India finds silicosis highly prevalent among workers in mining and stone industries, with gaps in regulatory enforcement and awareness. Biomarkers like CC16 offer the potential for early diagnosis, underscoring the need for preventive measures. Policy recommendations include stricter dust exposure limits, enhanced workers' education, routine screening, and improved access to protective equipment and health monitoring to reduce the risk of silicosis and health disparities in vulnerable occupational groups.

Abstract Image

Abstract Image

印度矽肺患病率及相关问题:范围审查。
背景:矽肺病在印度仍然是一个主要的职业健康挑战。本综述系统地考察了印度高风险行业的患病率、风险因素、地区差异和诊断工具。此外,它还评估政策差距,并从各种临床和定性研究中提供见解,旨在为有针对性的公共卫生干预提供信息,并支持制定有效的职业卫生政策。方法:本综述提取了每项研究的数据,包括作者、地点、设计、研究目的、样本量和特征、参与者年龄、二氧化硅暴露时间、诊断标准和主要结果。作为附加分析,随机效应荟萃分析用于估计矽肺病的总患病率并评估研究之间的变异性。该审查还包括对意识、诊断工具(例如CC16蛋白)以及印度不同职业群体和地区之间患病率差异的定性分析。结果:审查最初确定了263篇文章,在排除和质量评估后,缩小到49篇符合条件的印度矽肺病研究。其中11项流行病学研究(总样本量2072例)显示矽肺平均发病率为31.39%。具体研究报告了较高的比率,包括拉贾斯坦邦矿工的52%和康巴特玛瑙工人的69.1%。此外,筛查工具,如CC16蛋白水平,显示出早期诊断的希望,而定性研究强调了意识和监管实践方面的差距。荟萃分析显示了显著的总患病率(25.98%)和显著的变异性(I2 = 98.86%),强调了有针对性的干预和工人保护的必要性。结论:本文综述了目前印度矽肺病的知识,发现矽肺病在采矿和石材行业的工人中非常普遍,在监管执法和意识方面存在差距。像CC16这样的生物标志物提供了早期诊断的潜力,强调了预防措施的必要性。政策建议包括更严格的粉尘接触限制,加强工人的教育,常规筛查,改善获得防护设备和健康监测的机会,以减少矽肺病的风险和弱势职业群体的健康差距。
本文章由计算机程序翻译,如有差异,请以英文原文为准。
求助全文
约1分钟内获得全文 求助全文
来源期刊
Journal of Occupational Medicine and Toxicology
Journal of Occupational Medicine and Toxicology PUBLIC, ENVIRONMENTAL & OCCUPATIONAL HEALTH-
CiteScore
6.00
自引率
0.00%
发文量
23
审稿时长
19 weeks
期刊介绍: Aimed at clinicians and researchers, the Journal of Occupational Medicine and Toxicology is a multi-disciplinary, open access journal which publishes original research on the clinical and scientific aspects of occupational and environmental health. With high-quality peer review and quick decision times, we welcome submissions on the diagnosis, prevention, management, and scientific analysis of occupational diseases, injuries, and disability. The journal also covers the promotion of health of workers, their families, and communities, and ranges from rehabilitation to tropical medicine and public health aspects.
×
引用
GB/T 7714-2015
复制
MLA
复制
APA
复制
导出至
BibTeX EndNote RefMan NoteFirst NoteExpress
×
提示
您的信息不完整,为了账户安全,请先补充。
现在去补充
×
提示
您因"违规操作"
具体请查看互助需知
我知道了
×
提示
确定
请完成安全验证×
copy
已复制链接
快去分享给好友吧!
我知道了
右上角分享
点击右上角分享
0
联系我们:info@booksci.cn Book学术提供免费学术资源搜索服务,方便国内外学者检索中英文文献。致力于提供最便捷和优质的服务体验。 Copyright © 2023 布克学术 All rights reserved.
京ICP备2023020795号-1
ghs 京公网安备 11010802042870号
Book学术文献互助
Book学术文献互助群
群 号:604180095
Book学术官方微信