Psychiatrists' Attitude Towards Smoking Cessation Support (PATSS): Exploring Psychometric Properties of the Measurement Tool.

IF 2.9 4区 医学 Q2 PSYCHIATRY
Psychiatric Quarterly Pub Date : 2025-03-01 Epub Date: 2025-01-30 DOI:10.1007/s11126-025-10116-y
Parul Parul, Bindu Joseph, Sunil Datta, Muhammad Aziz Rahman
{"title":"Psychiatrists' Attitude Towards Smoking Cessation Support (PATSS): Exploring Psychometric Properties of the Measurement Tool.","authors":"Parul Parul, Bindu Joseph, Sunil Datta, Muhammad Aziz Rahman","doi":"10.1007/s11126-025-10116-y","DOIUrl":null,"url":null,"abstract":"<p><p>The attitude of psychiatrists plays a crucial role in screening and supporting smoking cessation, especially with people with serious mental illness (SMI). The development of an attitude scale can improve the success of quitting among people with SMI. This study aimed to develop and test the psychometric properties of psychiatrists' attitudes toward smoking cessation support (PATSS). Based on the literature review, the attitude scale, which comprised 15 items, was developed and tested with 289 psychiatrists. The tool's psychometric properties were tested by examining item performance, content and construct validity (by exploratory factor analysis (EFA), confirmatory factor analysis (CFA), and reliability. The content validity was demonstrated by content validity ratio (CVR) (0.80) and item content validity index (ICVI) (0.88). Both EFA and CFA identified four factors: Priority and Time Commitment, Recovery Impact and Training, Social Support and Patient Factors, and Coping Mechanisms and Rights. A Cronbach alpha of (0.81) demonstrated high internal consistency. PATSS was found to be a valid and reliable tool to assess the attitude of psychiatrists towards smoking cessation support provided to people with SMI.</p>","PeriodicalId":20658,"journal":{"name":"Psychiatric Quarterly","volume":" ","pages":"213-226"},"PeriodicalIF":2.9000,"publicationDate":"2025-03-01","publicationTypes":"Journal Article","fieldsOfStudy":null,"isOpenAccess":false,"openAccessPdf":"https://www.ncbi.nlm.nih.gov/pmc/articles/PMC11929625/pdf/","citationCount":"0","resultStr":null,"platform":"Semanticscholar","paperid":null,"PeriodicalName":"Psychiatric Quarterly","FirstCategoryId":"3","ListUrlMain":"https://doi.org/10.1007/s11126-025-10116-y","RegionNum":4,"RegionCategory":"医学","ArticlePicture":[],"TitleCN":null,"AbstractTextCN":null,"PMCID":null,"EPubDate":"2025/1/30 0:00:00","PubModel":"Epub","JCR":"Q2","JCRName":"PSYCHIATRY","Score":null,"Total":0}
引用次数: 0

Abstract

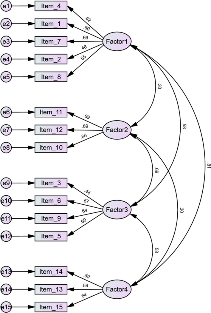
The attitude of psychiatrists plays a crucial role in screening and supporting smoking cessation, especially with people with serious mental illness (SMI). The development of an attitude scale can improve the success of quitting among people with SMI. This study aimed to develop and test the psychometric properties of psychiatrists' attitudes toward smoking cessation support (PATSS). Based on the literature review, the attitude scale, which comprised 15 items, was developed and tested with 289 psychiatrists. The tool's psychometric properties were tested by examining item performance, content and construct validity (by exploratory factor analysis (EFA), confirmatory factor analysis (CFA), and reliability. The content validity was demonstrated by content validity ratio (CVR) (0.80) and item content validity index (ICVI) (0.88). Both EFA and CFA identified four factors: Priority and Time Commitment, Recovery Impact and Training, Social Support and Patient Factors, and Coping Mechanisms and Rights. A Cronbach alpha of (0.81) demonstrated high internal consistency. PATSS was found to be a valid and reliable tool to assess the attitude of psychiatrists towards smoking cessation support provided to people with SMI.

Abstract Image

Abstract Image

精神科医生对戒烟支持(PATSS)的态度:探索测量工具的心理测量特性。
精神科医生的态度在筛查和支持戒烟方面起着至关重要的作用,特别是对于患有严重精神疾病(SMI)的人。态度量表的开发可以提高重度精神障碍患者戒烟的成功率。本研究旨在开发和测试精神科医生对戒烟支持(PATSS)态度的心理测量特性。在文献回顾的基础上,由15个项目组成的态度量表被开发出来,并由289名精神科医生进行了测试。通过考察项目性能、内容和结构效度(探索性因子分析(EFA)、验证性因子分析(CFA)和信度)来检验工具的心理测量特性。以内容效度比(CVR)为0.80,项目内容效度指数(ICVI)为0.88来验证内容效度。EFA和CFA都确定了四个因素:优先级和时间承诺,康复影响和培训,社会支持和患者因素,以及应对机制和权利。Cronbach alpha(0.81)表明内部一致性高。PATSS被发现是评估精神科医生对重度精神分裂症患者戒烟支持态度的有效和可靠的工具。
本文章由计算机程序翻译,如有差异,请以英文原文为准。
求助全文
约1分钟内获得全文 求助全文
来源期刊
Psychiatric Quarterly
Psychiatric Quarterly PSYCHIATRY-
CiteScore
8.10
自引率
0.00%
发文量
40
期刊介绍: Psychiatric Quarterly publishes original research, theoretical papers, and review articles on the assessment, treatment, and rehabilitation of persons with psychiatric disabilities, with emphasis on care provided in public, community, and private institutional settings such as hospitals, schools, and correctional facilities. Qualitative and quantitative studies concerning the social, clinical, administrative, legal, political, and ethical aspects of mental health care fall within the scope of the journal. Content areas include, but are not limited to, evidence-based practice in prevention, diagnosis, and management of psychiatric disorders; interface of psychiatry with primary and specialty medicine; disparities of access and outcomes in health care service delivery; and socio-cultural and cross-cultural aspects of mental health and wellness, including mental health literacy. 5 Year Impact Factor: 1.023 (2007) Section ''Psychiatry'': Rank 70 out of 82
×
引用
GB/T 7714-2015
复制
MLA
复制
APA
复制
导出至
BibTeX EndNote RefMan NoteFirst NoteExpress
×
提示
您的信息不完整,为了账户安全,请先补充。
现在去补充
×
提示
您因"违规操作"
具体请查看互助需知
我知道了
×
提示
确定
请完成安全验证×
copy
已复制链接
快去分享给好友吧!
我知道了
右上角分享
点击右上角分享
0
联系我们:info@booksci.cn Book学术提供免费学术资源搜索服务,方便国内外学者检索中英文文献。致力于提供最便捷和优质的服务体验。 Copyright © 2023 布克学术 All rights reserved.
京ICP备2023020795号-1
ghs 京公网安备 11010802042870号
Book学术文献互助
Book学术文献互助群
群 号:604180095
Book学术官方微信