Frailty and outcomes in adults undergoing systemic anticancer treatment: a systematic review and meta-analysis.

IF 7.2 1区 医学 Q1 ONCOLOGY
Jessica Pearce, Sally Martin, Sophie Heritage, Emma G Khoury, Joanna Kucharczak, Thitikorn Nuamek, David A Cairns, Galina Velikova, Suzanne H Richards, Andrew Clegg, Alexandra Gilbert
{"title":"Frailty and outcomes in adults undergoing systemic anticancer treatment: a systematic review and meta-analysis.","authors":"Jessica Pearce, Sally Martin, Sophie Heritage, Emma G Khoury, Joanna Kucharczak, Thitikorn Nuamek, David A Cairns, Galina Velikova, Suzanne H Richards, Andrew Clegg, Alexandra Gilbert","doi":"10.1093/jnci/djaf017","DOIUrl":null,"url":null,"abstract":"<p><strong>Background: </strong>It is increasingly recognized that frailty should be assessed and considered in treatment decision making in patients with cancer. This review and meta-analysis synthesizes existing evidence evaluating the association between baseline frailty and systemic anticancer treatment outcomes in adults with cancer.</p><p><strong>Methods: </strong>Five databases were systematically searched from database inception to January 2023 to identify prognostic factor studies (cohort or case-control design) reporting the associations between validated frailty assessments (pretreatment) and follow-up outcomes in adults with solid-organ malignancy undergoing systemic anticancer treatment. Risk of bias was assessed via Quality of Prognosis Studies in Systematic Reviews tool. Where appropriate, associations between frailty and outcomes (survival, toxicity, treatment tolerance, functional decline/quality of life, and hospitalization) were synthesized in meta-analysis and presented as forest plots.</p><p><strong>Results: </strong>A total of 58 studies met inclusion criteria. They were undertaken in a range of tumor sites and mainly in older patients and advanced and/or palliative disease settings. Most had low or moderate risk of bias. Nine frailty assessment tools were evaluated. Four outcomes were synthesized in meta-analysis, which demonstrated the prognostic value of 2 tools: Geriatric-8 (survival, treatment tolerance, hospitalization) and Vulnerable Elders Survey-13 (survival, toxicity, treatment tolerance). Overall pooled estimates indicate that frailty conveys an increased risk of mortality (hazard ratio [HR] = 1.68, 95% confidence interval [CI] = 1.41 to 2.00), toxicity (odds ratio [OR] 1.83, 95% CI = 1.24 to 2.68), treatment intolerance (OR = 1.68, 95% CI = 1.32 to 2.12), and hospitalization (OR = 1.94, 95% CI = 1.32 to 2.83).</p><p><strong>Conclusion: </strong>Simple, brief frailty assessments including Geriatric-8 and Vulnerable Elders Survey-13 are prognostic for a range of important outcomes in patients undergoing systemic anticancer treatment. Risk estimates should be used to support shared decision making.</p>","PeriodicalId":14809,"journal":{"name":"JNCI Journal of the National Cancer Institute","volume":" ","pages":"1316-1339"},"PeriodicalIF":7.2000,"publicationDate":"2025-07-01","publicationTypes":"Journal Article","fieldsOfStudy":null,"isOpenAccess":false,"openAccessPdf":"https://www.ncbi.nlm.nih.gov/pmc/articles/PMC12232047/pdf/","citationCount":"0","resultStr":null,"platform":"Semanticscholar","paperid":null,"PeriodicalName":"JNCI Journal of the National Cancer Institute","FirstCategoryId":"3","ListUrlMain":"https://doi.org/10.1093/jnci/djaf017","RegionNum":1,"RegionCategory":"医学","ArticlePicture":[],"TitleCN":null,"AbstractTextCN":null,"PMCID":null,"EPubDate":"","PubModel":"","JCR":"Q1","JCRName":"ONCOLOGY","Score":null,"Total":0}
引用次数: 0

Abstract

Background: It is increasingly recognized that frailty should be assessed and considered in treatment decision making in patients with cancer. This review and meta-analysis synthesizes existing evidence evaluating the association between baseline frailty and systemic anticancer treatment outcomes in adults with cancer.

Methods: Five databases were systematically searched from database inception to January 2023 to identify prognostic factor studies (cohort or case-control design) reporting the associations between validated frailty assessments (pretreatment) and follow-up outcomes in adults with solid-organ malignancy undergoing systemic anticancer treatment. Risk of bias was assessed via Quality of Prognosis Studies in Systematic Reviews tool. Where appropriate, associations between frailty and outcomes (survival, toxicity, treatment tolerance, functional decline/quality of life, and hospitalization) were synthesized in meta-analysis and presented as forest plots.

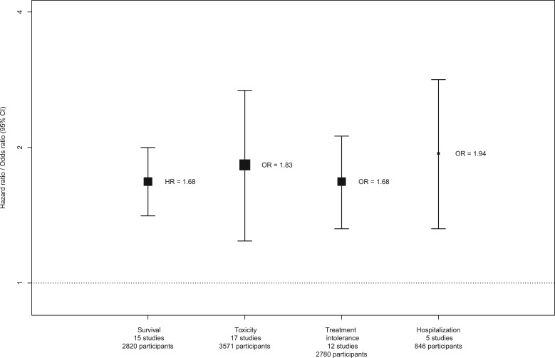
Results: A total of 58 studies met inclusion criteria. They were undertaken in a range of tumor sites and mainly in older patients and advanced and/or palliative disease settings. Most had low or moderate risk of bias. Nine frailty assessment tools were evaluated. Four outcomes were synthesized in meta-analysis, which demonstrated the prognostic value of 2 tools: Geriatric-8 (survival, treatment tolerance, hospitalization) and Vulnerable Elders Survey-13 (survival, toxicity, treatment tolerance). Overall pooled estimates indicate that frailty conveys an increased risk of mortality (hazard ratio [HR] = 1.68, 95% confidence interval [CI] = 1.41 to 2.00), toxicity (odds ratio [OR] 1.83, 95% CI = 1.24 to 2.68), treatment intolerance (OR = 1.68, 95% CI = 1.32 to 2.12), and hospitalization (OR = 1.94, 95% CI = 1.32 to 2.83).

Conclusion: Simple, brief frailty assessments including Geriatric-8 and Vulnerable Elders Survey-13 are prognostic for a range of important outcomes in patients undergoing systemic anticancer treatment. Risk estimates should be used to support shared decision making.

Abstract Image

Abstract Image

Abstract Image

接受系统性抗癌治疗的成年人的虚弱和结果:一项系统回顾和荟萃分析。
背景:越来越多的人认识到,在癌症患者的治疗决策中应该评估和考虑虚弱。本综述和荟萃分析综合了现有的证据,评估了基线虚弱与成人癌症患者全身抗癌治疗(SACT)结果之间的关系。方法:系统检索5个数据库,从数据库建立到2023年1月,以确定预后因素研究(队列/病例对照设计),报告经验证的衰弱评估(治疗前)与接受SACT的实体器官恶性肿瘤成人随访结果之间的关联。通过预后质量研究系统评价工具评估偏倚风险(RoB)。在适当的情况下,在荟萃分析中综合虚弱和结果(生存、毒性、治疗耐受性、功能下降/生活质量和住院)之间的关联,并以森林图表示。结果:58项研究符合纳入标准。它们在一系列肿瘤部位进行,主要在老年患者和晚期疾病/姑息治疗环境中进行。大多数是低/中度的RoB。对9种脆弱性评价工具进行评价。在荟萃分析中综合了四个结果,证明了两个工具的预后价值:Geriatric-8 (G8);生存、治疗耐受性、住院)和脆弱老年人调查-13 (VES13;生存、毒性、治疗耐受性)。总体汇总估计表明,虚弱会增加死亡率(危险比(HR) 1.68, 95%可信区间1.41-2.00)、毒性(优势比(OR) 1.83, 1.24-2.68)、治疗不耐受(OR 1.68, 1.32-2.12)和住院(OR 1.94, 1.32-2.83)的风险。结论:简单、简短的虚弱评估包括G8和VES13是SACT患者一系列重要预后的预后指标。风险评估应该用于支持共同决策。
本文章由计算机程序翻译,如有差异,请以英文原文为准。
求助全文
约1分钟内获得全文 求助全文
来源期刊
CiteScore
17.00
自引率
2.90%
发文量
203
审稿时长
4-8 weeks
期刊介绍: The Journal of the National Cancer Institute is a reputable publication that undergoes a peer-review process. It is available in both print (ISSN: 0027-8874) and online (ISSN: 1460-2105) formats, with 12 issues released annually. The journal's primary aim is to disseminate innovative and important discoveries in the field of cancer research, with specific emphasis on clinical, epidemiologic, behavioral, and health outcomes studies. Authors are encouraged to submit reviews, minireviews, and commentaries. The journal ensures that submitted manuscripts undergo a rigorous and expedited review to publish scientifically and medically significant findings in a timely manner.
×
引用
GB/T 7714-2015
复制
MLA
复制
APA
复制
导出至
BibTeX EndNote RefMan NoteFirst NoteExpress
×
提示
您的信息不完整,为了账户安全,请先补充。
现在去补充
×
提示
您因"违规操作"
具体请查看互助需知
我知道了
×
提示
确定
请完成安全验证×
copy
已复制链接
快去分享给好友吧!
我知道了
右上角分享
点击右上角分享
0
联系我们:info@booksci.cn Book学术提供免费学术资源搜索服务,方便国内外学者检索中英文文献。致力于提供最便捷和优质的服务体验。 Copyright © 2023 布克学术 All rights reserved.
京ICP备2023020795号-1
ghs 京公网安备 11010802042870号
Book学术文献互助
Book学术文献互助群
群 号:604180095
Book学术官方微信