Drought drives selection for earlier flowering, while pollinators drive selection for larger flowers in annual Brassica rapa.

IF 2.4 3区 生物学 Q2 ECOLOGY
AoB Plants Pub Date : 2025-01-08 eCollection Date: 2025-01-01 DOI:10.1093/aobpla/plae070
Kaushalya Rathnayake, Amy L Parachnowitsch
{"title":"Drought drives selection for earlier flowering, while pollinators drive selection for larger flowers in annual <i>Brassica rapa</i>.","authors":"Kaushalya Rathnayake, Amy L Parachnowitsch","doi":"10.1093/aobpla/plae070","DOIUrl":null,"url":null,"abstract":"<p><p>Drought-induced changes in floral traits can disrupt plant-pollinator interactions, influencing pollination and reproductive success. These phenotypic changes likely also affect natural selection on floral traits, yet phenotypic selection studies manipulating drought remain rare. We studied how drought impacts selection to understand the potential evolutionary consequences of drought on floral traits. We used a factorial experiment with potted plants to manipulate both water availability (well-watered and drought) and pollination (open and supplemented). We examined the treatment effects on traits of <i>Brassica rapa</i> and estimated phenotypic selection and whether it was pollinator-mediated in these two abiotic conditions. Drought affected plant phenotypes, leading to plants with fewer flowers and ultimately lower seed production. Flowering time did not show variation with watering, but we found the strongest effect of drought on selection was for flowering time. There was a selection for flowering faster in drought but not well-watered conditions. Pollinators instead were the agents responsible for selection on flower size, but we did not find strong evidence that drought effected pollinator-mediated selection. There was a stronger selection for larger flowers in drought compared to well-watered plants, and it could be attributed to pollinators however, there was no significant difference between watering treatments. Our results show the effects of drought are not limited to phenotypic responses and may alter evolution in plants by changing phenotypic selection on traits. The connection between phenotypic plasticity and selection may be important to understand as we found the most variable trait (display size) was not under selection while the trait with different selection in drought (flowering time) did not change in response to drought. Our study highlights the importance of manipulating potential agents of selection, especially to understand fully the potential impacts of components of climate change such as drought.</p>","PeriodicalId":48955,"journal":{"name":"AoB Plants","volume":"17 1","pages":"plae070"},"PeriodicalIF":2.4000,"publicationDate":"2025-01-08","publicationTypes":"Journal Article","fieldsOfStudy":null,"isOpenAccess":false,"openAccessPdf":"https://www.ncbi.nlm.nih.gov/pmc/articles/PMC11758195/pdf/","citationCount":"0","resultStr":null,"platform":"Semanticscholar","paperid":null,"PeriodicalName":"AoB Plants","FirstCategoryId":"99","ListUrlMain":"https://doi.org/10.1093/aobpla/plae070","RegionNum":3,"RegionCategory":"生物学","ArticlePicture":[],"TitleCN":null,"AbstractTextCN":null,"PMCID":null,"EPubDate":"2025/1/1 0:00:00","PubModel":"eCollection","JCR":"Q2","JCRName":"ECOLOGY","Score":null,"Total":0}
引用次数: 0

Abstract

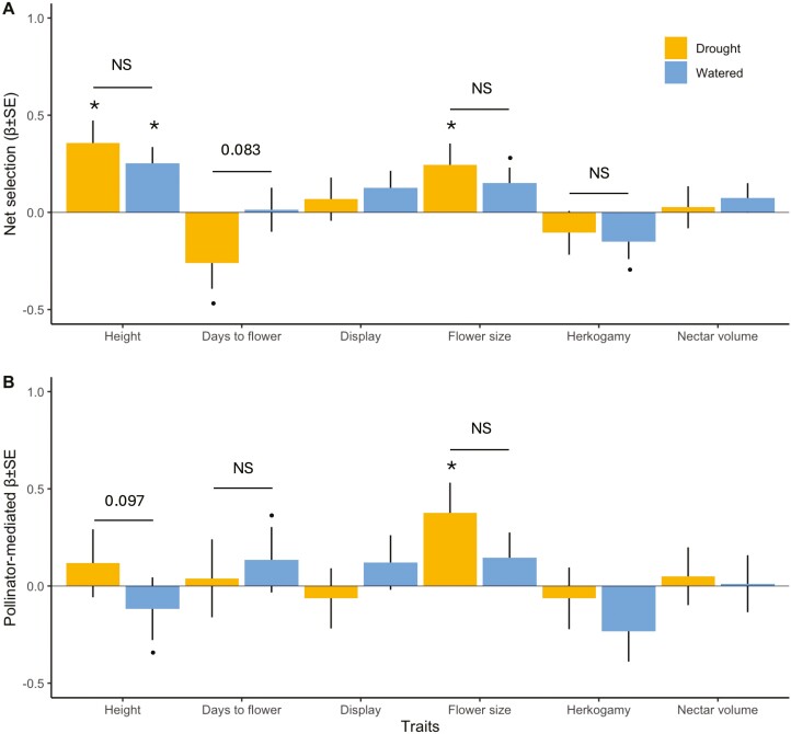
Drought-induced changes in floral traits can disrupt plant-pollinator interactions, influencing pollination and reproductive success. These phenotypic changes likely also affect natural selection on floral traits, yet phenotypic selection studies manipulating drought remain rare. We studied how drought impacts selection to understand the potential evolutionary consequences of drought on floral traits. We used a factorial experiment with potted plants to manipulate both water availability (well-watered and drought) and pollination (open and supplemented). We examined the treatment effects on traits of Brassica rapa and estimated phenotypic selection and whether it was pollinator-mediated in these two abiotic conditions. Drought affected plant phenotypes, leading to plants with fewer flowers and ultimately lower seed production. Flowering time did not show variation with watering, but we found the strongest effect of drought on selection was for flowering time. There was a selection for flowering faster in drought but not well-watered conditions. Pollinators instead were the agents responsible for selection on flower size, but we did not find strong evidence that drought effected pollinator-mediated selection. There was a stronger selection for larger flowers in drought compared to well-watered plants, and it could be attributed to pollinators however, there was no significant difference between watering treatments. Our results show the effects of drought are not limited to phenotypic responses and may alter evolution in plants by changing phenotypic selection on traits. The connection between phenotypic plasticity and selection may be important to understand as we found the most variable trait (display size) was not under selection while the trait with different selection in drought (flowering time) did not change in response to drought. Our study highlights the importance of manipulating potential agents of selection, especially to understand fully the potential impacts of components of climate change such as drought.

Abstract Image

Abstract Image

Abstract Image

在一年生芸苔中,干旱促使选择较早开花,而传粉者促使选择较大的花。
干旱引起的花性状变化会破坏植物与传粉者的相互作用,影响传粉和繁殖的成功。这些表型变化可能也会影响花性状的自然选择,然而,操纵干旱的表型选择研究仍然很少。我们研究了干旱如何影响选择,以了解干旱对花性状的潜在进化后果。我们对盆栽植物进行了析因试验,以控制水分的可用性(丰水和干旱)和授粉(开放和补充)。在这两种非生物条件下,我们研究了处理对油菜性状的影响,并估计了表型选择,以及它是否由传粉媒介介导。干旱影响了植物的表型,导致植物开花减少,最终导致种子产量下降。开花时间不随浇水而变化,但我们发现干旱对开花时间的影响最大。在干旱但不充足的条件下,有一种选择使开花更快。相反,传粉媒介是负责花大小选择的媒介,但我们没有发现强有力的证据表明干旱影响传粉媒介的选择。与丰水植物相比,干旱植物对大花的选择更强,这可能归因于传粉媒介,但不同浇水处理之间没有显著差异。我们的研究结果表明,干旱的影响不仅限于表型反应,而且可能通过改变性状的表型选择来改变植物的进化。表型可塑性和选择之间的联系可能是重要的,因为我们发现最易变的性状(展示大小)没有经过选择,而在干旱条件下不同选择的性状(开花时间)在干旱条件下没有发生变化。我们的研究强调了操纵潜在选择因子的重要性,特别是要充分了解气候变化组成部分(如干旱)的潜在影响。
本文章由计算机程序翻译,如有差异,请以英文原文为准。
求助全文
约1分钟内获得全文 求助全文
来源期刊
AoB Plants
AoB Plants PLANT SCIENCES-
CiteScore
4.80
自引率
0.00%
发文量
54
审稿时长
20 weeks
期刊介绍: AoB PLANTS is an open-access, online journal that has been publishing peer-reviewed articles since 2010, with an emphasis on all aspects of environmental and evolutionary plant biology. Published by Oxford University Press, this journal is dedicated to rapid publication of research articles, reviews, commentaries and short communications. The taxonomic scope of the journal spans the full gamut of vascular and non-vascular plants, as well as other taxa that impact these organisms. AoB PLANTS provides a fast-track pathway for publishing high-quality research in an open-access environment, where papers are available online to anyone, anywhere free of charge.
×
引用
GB/T 7714-2015
复制
MLA
复制
APA
复制
导出至
BibTeX EndNote RefMan NoteFirst NoteExpress
×
提示
您的信息不完整,为了账户安全,请先补充。
现在去补充
×
提示
您因"违规操作"
具体请查看互助需知
我知道了
×
提示
确定
请完成安全验证×
copy
已复制链接
快去分享给好友吧!
我知道了
右上角分享
点击右上角分享
0
联系我们:info@booksci.cn Book学术提供免费学术资源搜索服务,方便国内外学者检索中英文文献。致力于提供最便捷和优质的服务体验。 Copyright © 2023 布克学术 All rights reserved.
京ICP备2023020795号-1
ghs 京公网安备 11010802042870号
Book学术文献互助
Book学术文献互助群
群 号:604180095
Book学术官方微信