Ultrasound tissue characterization and function of Achilles tendon in psoriatic arthritis patients: a cross-sectional study.

IF 3.4 3区 医学 Q1 REHABILITATION
Chiara Busso, Simone Parisi, Marta Andrighetti, Maria C Ditto, Giuseppe Massazza, Enrico Fusaro, Marco A Minetto
{"title":"Ultrasound tissue characterization and function of Achilles tendon in psoriatic arthritis patients: a cross-sectional study.","authors":"Chiara Busso, Simone Parisi, Marta Andrighetti, Maria C Ditto, Giuseppe Massazza, Enrico Fusaro, Marco A Minetto","doi":"10.23736/S1973-9087.24.08581-2","DOIUrl":null,"url":null,"abstract":"<p><strong>Background: </strong>The Achilles tendon is one of the most frequent sites of tendinopathy in both healthy and pathological subjects. An innovative approach for the quantitative assessment of the Achilles tendon structure, named Ultrasound Tissue Characterization (UTC), has recently been developed. However, no previous study performed the UTC-based assessment of the tendon structure in rheumatologic patients affected by insertional Achilles tendinopathy.</p><p><strong>Aim: </strong>To characterize the Achilles tendon structure and function in psoriatic arthritis patients with symptomatic insertional tendinopathy.</p><p><strong>Design: </strong>Cross-sectional study.</p><p><strong>Setting: </strong>University laboratory.</p><p><strong>Population: </strong>Psoriatic arthritis patients (N.=17).</p><p><strong>Methods: </strong>Anthropometric measurements, administration of outcome and pain questionnaires, and tendon function and structure assessments were performed in a single experimental session.</p><p><strong>Results: </strong>Pain intensity and interference and the perceived tendinopathy-related disability were moderate-severe. A relevant impairment of the strength (for both lower limbs) and walking performance was observed in all patients. In fact, the plantarflexion strength values (median values for the two sides: 10.0 and 11.5 kg) and fast walking speed (median value: 1.7 m/s) were lower than the normative values for healthy controls, respectively, in all patients for the strength values and in 14 out of 17 patients for the walking speed. The conventional ultrasound (i.e., the quantification of tendon thickness and the qualitative assessments of tendon structure and neovascularization) showed greater changes in the symptomatic (or more symptomatic) side compared with the asymptomatic (or less symptomatic) side of the insertional region of the Achilles tendon. The UTC imaging showed comparable impairment of the tendon structure between the symptomatic (or more symptomatic) side and the asymptomatic (or less symptomatic) side of the insertional region of the Achilles tendon (i.e., reduced echo-type I percentages in both tendons of all patients).</p><p><strong>Conclusions: </strong>Psoriatic arthritis patients with symptomatic insertional Achilles tendinopathy present moderate-severe pain and perceived disability, physical function impairments, and bilateral deterioration of the tendon structure (also in case of unilateral symptoms) that can be documented through the UTC analysis.</p><p><strong>Clinical rehabilitation impact: </strong>The evaluation of the insertional Achilles tendinopathy through UTC imaging can be useful for the diagnostic and prognostic assessment of psoriatic arthritis patients in combination with the assessments of pain, disability, and functional performance.</p>","PeriodicalId":12044,"journal":{"name":"European journal of physical and rehabilitation medicine","volume":" ","pages":"109-118"},"PeriodicalIF":3.4000,"publicationDate":"2025-02-01","publicationTypes":"Journal Article","fieldsOfStudy":null,"isOpenAccess":false,"openAccessPdf":"https://www.ncbi.nlm.nih.gov/pmc/articles/PMC11922164/pdf/","citationCount":"0","resultStr":null,"platform":"Semanticscholar","paperid":null,"PeriodicalName":"European journal of physical and rehabilitation medicine","FirstCategoryId":"3","ListUrlMain":"https://doi.org/10.23736/S1973-9087.24.08581-2","RegionNum":3,"RegionCategory":"医学","ArticlePicture":[],"TitleCN":null,"AbstractTextCN":null,"PMCID":null,"EPubDate":"2025/1/27 0:00:00","PubModel":"Epub","JCR":"Q1","JCRName":"REHABILITATION","Score":null,"Total":0}
引用次数: 0

Abstract

Background: The Achilles tendon is one of the most frequent sites of tendinopathy in both healthy and pathological subjects. An innovative approach for the quantitative assessment of the Achilles tendon structure, named Ultrasound Tissue Characterization (UTC), has recently been developed. However, no previous study performed the UTC-based assessment of the tendon structure in rheumatologic patients affected by insertional Achilles tendinopathy.

Aim: To characterize the Achilles tendon structure and function in psoriatic arthritis patients with symptomatic insertional tendinopathy.

Design: Cross-sectional study.

Setting: University laboratory.

Population: Psoriatic arthritis patients (N.=17).

Methods: Anthropometric measurements, administration of outcome and pain questionnaires, and tendon function and structure assessments were performed in a single experimental session.

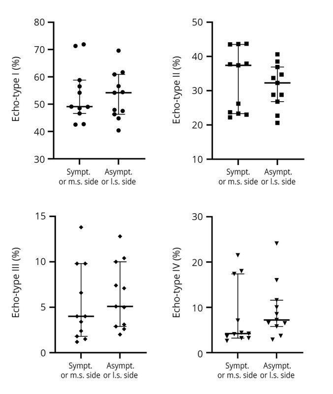
Results: Pain intensity and interference and the perceived tendinopathy-related disability were moderate-severe. A relevant impairment of the strength (for both lower limbs) and walking performance was observed in all patients. In fact, the plantarflexion strength values (median values for the two sides: 10.0 and 11.5 kg) and fast walking speed (median value: 1.7 m/s) were lower than the normative values for healthy controls, respectively, in all patients for the strength values and in 14 out of 17 patients for the walking speed. The conventional ultrasound (i.e., the quantification of tendon thickness and the qualitative assessments of tendon structure and neovascularization) showed greater changes in the symptomatic (or more symptomatic) side compared with the asymptomatic (or less symptomatic) side of the insertional region of the Achilles tendon. The UTC imaging showed comparable impairment of the tendon structure between the symptomatic (or more symptomatic) side and the asymptomatic (or less symptomatic) side of the insertional region of the Achilles tendon (i.e., reduced echo-type I percentages in both tendons of all patients).

Conclusions: Psoriatic arthritis patients with symptomatic insertional Achilles tendinopathy present moderate-severe pain and perceived disability, physical function impairments, and bilateral deterioration of the tendon structure (also in case of unilateral symptoms) that can be documented through the UTC analysis.

Clinical rehabilitation impact: The evaluation of the insertional Achilles tendinopathy through UTC imaging can be useful for the diagnostic and prognostic assessment of psoriatic arthritis patients in combination with the assessments of pain, disability, and functional performance.

Abstract Image

Abstract Image

Abstract Image

银屑病关节炎患者跟腱的超声组织特征和功能:一项横断面研究。
背景:跟腱是健康和病理受试者中最常见的肌腱病变部位之一。最近开发了一种用于定量评估跟腱结构的创新方法,称为超声组织表征(UTC)。然而,之前没有研究对插入性跟腱病影响的风湿病患者的肌腱结构进行基于utc的评估。目的:探讨银屑病关节炎伴症状性插入性肌腱病变患者跟腱的结构和功能。设计:横断面研究。环境:大学实验室。人群:银屑病关节炎患者(17例)。方法:在一次实验中进行人体测量,结果和疼痛问卷调查,以及肌腱功能和结构评估。结果:疼痛强度、干扰程度和感知肌腱病变相关残疾为中重度。在所有患者中均观察到力量(双下肢)和行走能力的相关损伤。事实上,所有患者的跖屈强度值(两侧的中位数:10.0和11.5 kg)和快速步行速度(中位数:1.7 m/s)分别低于健康对照的正常值,17例患者中有14例患者的步行速度低于正常值。常规超声检查(即对跟腱厚度的量化和对跟腱结构及新生血管的定性评估)显示跟腱插入区有症状(或较有症状)侧比无症状(或较无症状)侧变化更大。UTC成像显示跟腱插入区有症状(或更有症状)侧和无症状(或症状较少)侧的跟腱结构损伤相当(即所有患者双侧跟腱I型回声百分比降低)。结论:伴有症状性插入性跟腱病的银屑病关节炎患者表现为中重度疼痛和感知残疾、身体功能障碍和双侧肌腱结构恶化(也包括单侧症状),这些可以通过UTC分析记录下来。临床康复影响:通过UTC成像评估插入性跟腱病变,结合疼痛、残疾和功能表现评估,可用于银屑病关节炎患者的诊断和预后评估。
本文章由计算机程序翻译,如有差异,请以英文原文为准。
求助全文
约1分钟内获得全文 求助全文
来源期刊
CiteScore
8.50
自引率
4.40%
发文量
162
审稿时长
6-12 weeks
期刊介绍: The European Journal of Physical and Rehabilitation Medicine publishes papers of clinical interest in physical and rehabilitation medicine.
×
引用
GB/T 7714-2015
复制
MLA
复制
APA
复制
导出至
BibTeX EndNote RefMan NoteFirst NoteExpress
×
提示
您的信息不完整,为了账户安全,请先补充。
现在去补充
×
提示
您因"违规操作"
具体请查看互助需知
我知道了
×
提示
确定
请完成安全验证×
copy
已复制链接
快去分享给好友吧!
我知道了
右上角分享
点击右上角分享
0
联系我们:info@booksci.cn Book学术提供免费学术资源搜索服务,方便国内外学者检索中英文文献。致力于提供最便捷和优质的服务体验。 Copyright © 2023 布克学术 All rights reserved.
京ICP备2023020795号-1
ghs 京公网安备 11010802042870号
Book学术文献互助
Book学术文献互助群
群 号:604180095
Book学术官方微信