Absence of mating behaviors in the female dogs neonatally treated with estrogen and progesterone.

IF 2.1 4区 农林科学 Q2 AGRICULTURE, DAIRY & ANIMAL SCIENCE
Animal Reproduction Pub Date : 2025-01-20 eCollection Date: 2025-01-01 DOI:10.1590/1984-3143-AR2024-0080
ChanJin Park, Kayla Tando, Sandra Soto-Heras, Sherry Zhou, Po-Ching Lin, CheMyong Ko
{"title":"Absence of mating behaviors in the female dogs neonatally treated with estrogen and progesterone.","authors":"ChanJin Park, Kayla Tando, Sandra Soto-Heras, Sherry Zhou, Po-Ching Lin, CheMyong Ko","doi":"10.1590/1984-3143-AR2024-0080","DOIUrl":null,"url":null,"abstract":"<p><p>This study aimed to develop a non-surgical method to neutralize reproduction in female dogs. Female Beagle puppies, aged 6 days, were treated with pellets designed to release estradiol benzoate (EB; 1.0 mg) and progesterone (P4; 5.0 mg) over approximately 3 weeks. Their estrous cycles were monitored from 6 to 34 months of age by examining their vulvas daily and measuring their serum P4 levels once a month. Vulvar edema and discharge, followed by a serum P4 level above 5 ng/ml, indicated the potential estrus. Each time a dog showed these signs, breeding was attempted by housing with a proven male Beagle. All the treated dogs displayed cyclic progesterone surges with 5 to 6-month-long anestrous intervals. Surprisingly, none exhibited sexual behaviors, and no mating occurred (i.e., no intromission and copulatory tie), resulting in no pups being born. This phenomenon was further explored in laboratory animals. Neonatal female rats were treated with microspheres containing smaller doses of the same steroids (0.3 mg EB + 3.0 mg P4) at 1 or 2 days old. At 3 months old, the rats were ovariectomized, chemically stimulated to exhibit estrus behaviors using a standard protocol and tested for receptivity to proven male rats. Untreated control rats showed normal receptivity (i.e., lordosis) and allowed males to mate. However, rats treated with EB+P4 did not exhibit lordosis or allow mating. These results indicate that the combined use of estrogen and progesterone could be an effective non-surgical method for inhibiting mating behavior and, consequently, neutralizing female dog reproduction.</p>","PeriodicalId":7889,"journal":{"name":"Animal Reproduction","volume":"22 1","pages":"e20240080"},"PeriodicalIF":2.1000,"publicationDate":"2025-01-20","publicationTypes":"Journal Article","fieldsOfStudy":null,"isOpenAccess":false,"openAccessPdf":"https://www.ncbi.nlm.nih.gov/pmc/articles/PMC11758777/pdf/","citationCount":"0","resultStr":null,"platform":"Semanticscholar","paperid":null,"PeriodicalName":"Animal Reproduction","FirstCategoryId":"97","ListUrlMain":"https://doi.org/10.1590/1984-3143-AR2024-0080","RegionNum":4,"RegionCategory":"农林科学","ArticlePicture":[],"TitleCN":null,"AbstractTextCN":null,"PMCID":null,"EPubDate":"2025/1/1 0:00:00","PubModel":"eCollection","JCR":"Q2","JCRName":"AGRICULTURE, DAIRY & ANIMAL SCIENCE","Score":null,"Total":0}
引用次数: 0

Abstract

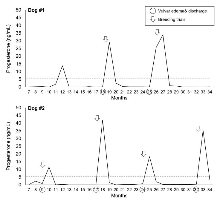
This study aimed to develop a non-surgical method to neutralize reproduction in female dogs. Female Beagle puppies, aged 6 days, were treated with pellets designed to release estradiol benzoate (EB; 1.0 mg) and progesterone (P4; 5.0 mg) over approximately 3 weeks. Their estrous cycles were monitored from 6 to 34 months of age by examining their vulvas daily and measuring their serum P4 levels once a month. Vulvar edema and discharge, followed by a serum P4 level above 5 ng/ml, indicated the potential estrus. Each time a dog showed these signs, breeding was attempted by housing with a proven male Beagle. All the treated dogs displayed cyclic progesterone surges with 5 to 6-month-long anestrous intervals. Surprisingly, none exhibited sexual behaviors, and no mating occurred (i.e., no intromission and copulatory tie), resulting in no pups being born. This phenomenon was further explored in laboratory animals. Neonatal female rats were treated with microspheres containing smaller doses of the same steroids (0.3 mg EB + 3.0 mg P4) at 1 or 2 days old. At 3 months old, the rats were ovariectomized, chemically stimulated to exhibit estrus behaviors using a standard protocol and tested for receptivity to proven male rats. Untreated control rats showed normal receptivity (i.e., lordosis) and allowed males to mate. However, rats treated with EB+P4 did not exhibit lordosis or allow mating. These results indicate that the combined use of estrogen and progesterone could be an effective non-surgical method for inhibiting mating behavior and, consequently, neutralizing female dog reproduction.

Abstract Image

Abstract Image

Abstract Image

雌孕激素对母狗交配行为的影响。
本研究旨在开发一种非手术方法来中和母狗的生殖。6天大的雌性比格犬幼犬接受了设计用于释放雌二醇苯甲酸酯(EB;1.0 mg)和黄体酮(P4;5.0毫克),持续约3周。从6 ~ 34月龄,通过每天检查外阴和每月一次测定血清P4水平来监测它们的发情周期。外阴水肿和分泌物,血清P4高于5 ng/ml提示有可能发情。每当一只狗出现这些迹象,就会尝试与一只经过验证的雄性比格犬交配。所有接受治疗的狗每隔5到6个月出现周期性孕酮激增。令人惊讶的是,没有一只表现出性行为,也没有交配发生(即,没有进入和交配关系),导致没有幼崽出生。这一现象在实验动物中得到了进一步的探索。新生雌性大鼠在1或2天大时使用含有较小剂量相同类固醇的微球(0.3 mg EB + 3.0 mg P4)。在3个月大的时候,大鼠的卵巢被切除,化学刺激表现出发情行为,使用标准方案,并测试对已证实的雄性大鼠的接受性。未经治疗的对照大鼠表现出正常的接受能力(即前凸),并允许雄性交配。然而,用EB+P4处理的大鼠没有表现出前凸或允许交配。这些结果表明,雌激素和黄体酮的联合使用可能是一种有效的非手术方法来抑制交配行为,从而使母狗繁殖。
本文章由计算机程序翻译,如有差异,请以英文原文为准。
求助全文
约1分钟内获得全文 求助全文
来源期刊
Animal Reproduction
Animal Reproduction AGRICULTURE, DAIRY & ANIMAL SCIENCE-
CiteScore
2.30
自引率
11.80%
发文量
49
审稿时长
70 days
期刊介绍: Animal Reproduction (AR) publishes original scientific papers and invited literature reviews, in the form of Basic Research, Biotechnology, Applied Research and Review Articles, with the goal of contributing to a better understanding of phenomena related to animal reproduction. The scope of the journal applies to students, researchers and practitioners in the fields of veterinary, biology and animal science, also being of interest to practitioners of human medicine. Animal Reproduction Journal is the official organ of the Brazilian College of Animal Reproduction in Brazil.
×
引用
GB/T 7714-2015
复制
MLA
复制
APA
复制
导出至
BibTeX EndNote RefMan NoteFirst NoteExpress
×
提示
您的信息不完整,为了账户安全,请先补充。
现在去补充
×
提示
您因"违规操作"
具体请查看互助需知
我知道了
×
提示
确定
请完成安全验证×
copy
已复制链接
快去分享给好友吧!
我知道了
右上角分享
点击右上角分享
0
联系我们:info@booksci.cn Book学术提供免费学术资源搜索服务,方便国内外学者检索中英文文献。致力于提供最便捷和优质的服务体验。 Copyright © 2023 布克学术 All rights reserved.
京ICP备2023020795号-1
ghs 京公网安备 11010802042870号
Book学术文献互助
Book学术文献互助群
群 号:604180095
Book学术官方微信