The relationships between photochemical reflectance index (PRI) and photosynthetic status in radish species differing in salinity tolerance.

IF 2.3 3区 生物学 Q2 PLANT SCIENCES
Journal of Plant Research Pub Date : 2025-03-01 Epub Date: 2025-01-24 DOI:10.1007/s10265-025-01615-x
Elsayed Mohamed, Hajime Tomimatsu, Kouki Hikosaka
{"title":"The relationships between photochemical reflectance index (PRI) and photosynthetic status in radish species differing in salinity tolerance.","authors":"Elsayed Mohamed, Hajime Tomimatsu, Kouki Hikosaka","doi":"10.1007/s10265-025-01615-x","DOIUrl":null,"url":null,"abstract":"<p><p>Since photosynthesis is highly sensitive to salinity stress, remote sensing of photosynthetic status is useful for detecting salinity stress during the selection and breeding of salinity-tolerant plants. To do so, photochemical reflectance index (PRI) is a potential measure to detect conversion of the xanthophyll cycle in photosystem II. Raphanus sativus var. raphanistroides is a wild radish species closely related to domesticated radish, and is distributed throughout the coastal regions of Japan, where it is thought to be salt tolerant. In this study, we raised wild and domesticated radishes under various salt conditions and assessed growth, photosynthetic status, and PRI. When grown at mild salt stress (50 mM NaCl), wild radish leaves showed photosynthetic activity levels comparable to control plants, whereas the photosynthetic activity of domesticated radish was suppressed. This result suggests that wild radishes are more salt-tolerant than domesticated radishes. Although photosynthetic rate and the photochemical quantum yield were significantly correlated with PRI in both species, the PRI resolution was insufficient to distinguish differences in salt tolerance between wild and domesticated radish. Wild radish had a lower maximum quantum yield (Fv/Fm) when grown under moderate salt stress (200 mM NaCl), suggesting chronic photoinhibition. The relationship between non-photochemical quenching (NPQ) and PRI was significant when leaves with chronic photoinhibition were eliminated but this relationship was not significant when they were included. In contrast, the relationship between photosynthesis and PRI was significant regardless of whether leaves displayed chronic photoinhibition or not. We conclude that PRI is useful to detect relatively large reductions in photosynthetic rate under salinity stress, and that care should be taken to evaluate NPQ from PRI.</p>","PeriodicalId":16813,"journal":{"name":"Journal of Plant Research","volume":" ","pages":"231-241"},"PeriodicalIF":2.3000,"publicationDate":"2025-03-01","publicationTypes":"Journal Article","fieldsOfStudy":null,"isOpenAccess":false,"openAccessPdf":"https://www.ncbi.nlm.nih.gov/pmc/articles/PMC11910433/pdf/","citationCount":"0","resultStr":null,"platform":"Semanticscholar","paperid":null,"PeriodicalName":"Journal of Plant Research","FirstCategoryId":"99","ListUrlMain":"https://doi.org/10.1007/s10265-025-01615-x","RegionNum":3,"RegionCategory":"生物学","ArticlePicture":[],"TitleCN":null,"AbstractTextCN":null,"PMCID":null,"EPubDate":"2025/1/24 0:00:00","PubModel":"Epub","JCR":"Q2","JCRName":"PLANT SCIENCES","Score":null,"Total":0}
引用次数: 0

Abstract

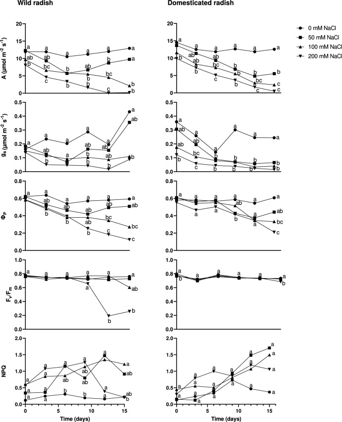
Since photosynthesis is highly sensitive to salinity stress, remote sensing of photosynthetic status is useful for detecting salinity stress during the selection and breeding of salinity-tolerant plants. To do so, photochemical reflectance index (PRI) is a potential measure to detect conversion of the xanthophyll cycle in photosystem II. Raphanus sativus var. raphanistroides is a wild radish species closely related to domesticated radish, and is distributed throughout the coastal regions of Japan, where it is thought to be salt tolerant. In this study, we raised wild and domesticated radishes under various salt conditions and assessed growth, photosynthetic status, and PRI. When grown at mild salt stress (50 mM NaCl), wild radish leaves showed photosynthetic activity levels comparable to control plants, whereas the photosynthetic activity of domesticated radish was suppressed. This result suggests that wild radishes are more salt-tolerant than domesticated radishes. Although photosynthetic rate and the photochemical quantum yield were significantly correlated with PRI in both species, the PRI resolution was insufficient to distinguish differences in salt tolerance between wild and domesticated radish. Wild radish had a lower maximum quantum yield (Fv/Fm) when grown under moderate salt stress (200 mM NaCl), suggesting chronic photoinhibition. The relationship between non-photochemical quenching (NPQ) and PRI was significant when leaves with chronic photoinhibition were eliminated but this relationship was not significant when they were included. In contrast, the relationship between photosynthesis and PRI was significant regardless of whether leaves displayed chronic photoinhibition or not. We conclude that PRI is useful to detect relatively large reductions in photosynthetic rate under salinity stress, and that care should be taken to evaluate NPQ from PRI.

Abstract Image

Abstract Image

Abstract Image

不同耐盐品种萝卜光化学反射指数与光合状态的关系
由于光合作用对盐胁迫高度敏感,因此在耐盐植物的选择和育种过程中,光合作用状态的遥感监测对检测盐胁迫具有重要意义。为此,光化学反射指数(PRI)是检测光系统II中叶黄素循环转化的潜在措施。Raphanus sativus var. raphanistroides是一种与家养萝卜密切相关的野生萝卜,分布在日本的沿海地区,在那里它被认为是耐盐的。在本研究中,我们在不同的盐胁迫条件下饲养野生和驯化萝卜,并评估其生长、光合状态和PRI。在轻度盐胁迫(50 mM NaCl)下生长,野生萝卜叶片的光合活性水平与对照植物相当,而驯化萝卜的光合活性受到抑制。这一结果表明,野生萝卜比驯化萝卜更耐盐。尽管两种萝卜的光合速率和光化学量子产率与PRI显著相关,但PRI分辨率不足以区分野生萝卜和驯化萝卜的耐盐性差异。在中等盐胁迫(200 mM NaCl)下,野生萝卜的最大量子产率(Fv/Fm)较低,可能存在慢性光抑制。非光化学猝灭(NPQ)与PRI在去除慢性光抑制叶片时关系显著,但在加入慢性光抑制叶片时关系不显著。相比之下,无论叶片是否存在慢性光抑制,光合作用与PRI之间的关系都是显著的。我们得出结论,PRI对检测盐度胁迫下光合速率相对较大的降低是有用的,并且应该注意评估PRI的NPQ。
本文章由计算机程序翻译,如有差异,请以英文原文为准。
求助全文
约1分钟内获得全文 求助全文
来源期刊
Journal of Plant Research
Journal of Plant Research 生物-植物科学
CiteScore
5.40
自引率
3.60%
发文量
59
审稿时长
1 months
期刊介绍: The Journal of Plant Research is an international publication that gathers and disseminates fundamental knowledge in all areas of plant sciences. Coverage extends to every corner of the field, including such topics as evolutionary biology, phylogeography, phylogeny, taxonomy, genetics, ecology, morphology, physiology, developmental biology, cell biology, molecular biology, biochemistry, biophysics, bioinformatics, and systems biology. The journal presents full-length research articles that describe original and fundamental findings of significance that contribute to understanding of plants, as well as shorter communications reporting significant new findings, technical notes on new methodology, and invited review articles.
×
引用
GB/T 7714-2015
复制
MLA
复制
APA
复制
导出至
BibTeX EndNote RefMan NoteFirst NoteExpress
×
提示
您的信息不完整,为了账户安全,请先补充。
现在去补充
×
提示
您因"违规操作"
具体请查看互助需知
我知道了
×
提示
确定
请完成安全验证×
copy
已复制链接
快去分享给好友吧!
我知道了
右上角分享
点击右上角分享
0
联系我们:info@booksci.cn Book学术提供免费学术资源搜索服务,方便国内外学者检索中英文文献。致力于提供最便捷和优质的服务体验。 Copyright © 2023 布克学术 All rights reserved.
京ICP备2023020795号-1
ghs 京公网安备 11010802042870号
Book学术文献互助
Book学术文献互助群
群 号:604180095
Book学术官方微信