Comparison of immune responses to respiratory syncytial virus in infancy, childhood, and adulthood using an in vitro model of human respiratory infection.

Q3 Medicine
Christiana Smith, Kaili Curtis, Adrianne Bonham, Shea Boyer, Laurel Lenz, Adriana Weinberg
{"title":"Comparison of immune responses to respiratory syncytial virus in infancy, childhood, and adulthood using an in vitro model of human respiratory infection.","authors":"Christiana Smith, Kaili Curtis, Adrianne Bonham, Shea Boyer, Laurel Lenz, Adriana Weinberg","doi":"10.1093/immhor/vlae010","DOIUrl":null,"url":null,"abstract":"<p><p>Respiratory syncytial virus (RSV) is a major contributor to morbidity and mortality in infants. We developed an in vitro model of human respiratory infection to study cellular immune responses to RSV in infants, children, and adults. The model includes human lung epithelial A549 cells or human fetal lung fibroblasts infected with a clinical strain of RSV at a multiplicity of infection of 0.3, cocultured with human cord blood mononuclear cells (CBMCs) or peripheral blood mononuclear cells (PBMCs). Mononuclear cells were collected at multiple ages ranging from birth to adulthood. After 20 h of incubation, flow cytometry was used to measure CBMC/PBMC responses to RSV. A549s were more permissive to RSV and when infected produced more CCL5, CCL11, and CXCL9; less CSF-3, CXCL10, interleukin (IL)-1α, IL-1RA, and IL-6; and similar CCL2, CCL3, CCL4, CCL7, CXCL1, CXCL11, IL-1β, IL-7, IL-8, and tumor necrosis factor α compared with fibroblasts; A594s were used for subsequent experiments. CBMCs/PBMCs upregulated multiple markers of activation, maturation, and degranulation upon exposure to RSV-infected A549s. Interferon γ expression in natural killer, CD4, and CD8 cells and CD107a expression in natural killer cells showed a gradual increase from infancy to adulthood. IL-12 expression in dendritic cells and monocytes was highest in adult PBMCs. Our in vitro model of human RSV infection recapitulated the expected bias away from T helper 1 and effector responses to RSV infection in infancy and revealed changes in innate and adaptive RSV-specific cellular immune responses over time.</p>","PeriodicalId":94037,"journal":{"name":"ImmunoHorizons","volume":"9 2","pages":""},"PeriodicalIF":0.0000,"publicationDate":"2025-01-24","publicationTypes":"Journal Article","fieldsOfStudy":null,"isOpenAccess":false,"openAccessPdf":"https://www.ncbi.nlm.nih.gov/pmc/articles/PMC11841974/pdf/","citationCount":"0","resultStr":null,"platform":"Semanticscholar","paperid":null,"PeriodicalName":"ImmunoHorizons","FirstCategoryId":"1085","ListUrlMain":"https://doi.org/10.1093/immhor/vlae010","RegionNum":0,"RegionCategory":null,"ArticlePicture":[],"TitleCN":null,"AbstractTextCN":null,"PMCID":null,"EPubDate":"","PubModel":"","JCR":"Q3","JCRName":"Medicine","Score":null,"Total":0}
引用次数: 0

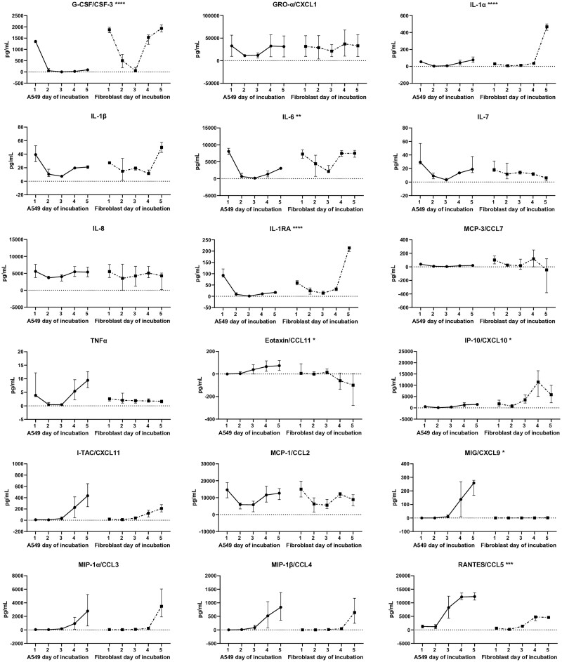
Abstract

Respiratory syncytial virus (RSV) is a major contributor to morbidity and mortality in infants. We developed an in vitro model of human respiratory infection to study cellular immune responses to RSV in infants, children, and adults. The model includes human lung epithelial A549 cells or human fetal lung fibroblasts infected with a clinical strain of RSV at a multiplicity of infection of 0.3, cocultured with human cord blood mononuclear cells (CBMCs) or peripheral blood mononuclear cells (PBMCs). Mononuclear cells were collected at multiple ages ranging from birth to adulthood. After 20 h of incubation, flow cytometry was used to measure CBMC/PBMC responses to RSV. A549s were more permissive to RSV and when infected produced more CCL5, CCL11, and CXCL9; less CSF-3, CXCL10, interleukin (IL)-1α, IL-1RA, and IL-6; and similar CCL2, CCL3, CCL4, CCL7, CXCL1, CXCL11, IL-1β, IL-7, IL-8, and tumor necrosis factor α compared with fibroblasts; A594s were used for subsequent experiments. CBMCs/PBMCs upregulated multiple markers of activation, maturation, and degranulation upon exposure to RSV-infected A549s. Interferon γ expression in natural killer, CD4, and CD8 cells and CD107a expression in natural killer cells showed a gradual increase from infancy to adulthood. IL-12 expression in dendritic cells and monocytes was highest in adult PBMCs. Our in vitro model of human RSV infection recapitulated the expected bias away from T helper 1 and effector responses to RSV infection in infancy and revealed changes in innate and adaptive RSV-specific cellular immune responses over time.

Abstract Image

Abstract Image

Abstract Image

利用人呼吸道感染的体外模型比较婴儿、儿童和成人对呼吸道合胞病毒的免疫反应
呼吸道合胞病毒(RSV)是婴儿发病和死亡的主要原因。我们建立了人类呼吸道感染的体外模型,研究婴儿、儿童和成人对呼吸道合胞病毒的细胞免疫反应。该模型包括感染RSV临床菌株的人肺上皮A549细胞或人胎儿肺成纤维细胞,感染倍数为0.3,与人脐带血单个核细胞(CBMCs)或外周血单个核细胞(PBMCs)共培养。在从出生到成年的多个年龄段收集单个核细胞。培养20 h后,用流式细胞术检测CBMC/PBMC对RSV的反应。A549s对RSV的容忍度更高,感染后产生更多的CCL5、CCL11和CXCL9;减少CSF-3、CXCL10、白细胞介素(IL)-1α、IL- 1ra和IL-6;相似的CCL2、CCL3、CCL4、CCL7、CXCL1、CXCL11、IL-1β、IL-7、IL-8、肿瘤坏死因子α与成纤维细胞比较;后续实验采用a594。暴露于rsv感染的A549s后,cbmc / pbmc上调了激活、成熟和脱颗粒的多个标记。干扰素γ在自然杀伤细胞、CD4细胞和CD8细胞中的表达以及CD107a在自然杀伤细胞中的表达从婴儿期到成年期逐渐增加。IL-12在树突状细胞和单核细胞中的表达在成年pbmc中最高。我们的体外人类RSV感染模型重现了婴儿时期对RSV感染的T辅助性1和效应性反应的预期偏差,并揭示了先天和适应性RSV特异性细胞免疫反应随时间的变化。
本文章由计算机程序翻译,如有差异,请以英文原文为准。
求助全文
约1分钟内获得全文 求助全文
来源期刊
CiteScore
3.70
自引率
0.00%
发文量
0
审稿时长
4 weeks
×
引用
GB/T 7714-2015
复制
MLA
复制
APA
复制
导出至
BibTeX EndNote RefMan NoteFirst NoteExpress
×
提示
您的信息不完整,为了账户安全,请先补充。
现在去补充
×
提示
您因"违规操作"
具体请查看互助需知
我知道了
×
提示
确定
请完成安全验证×
copy
已复制链接
快去分享给好友吧!
我知道了
右上角分享
点击右上角分享
0
联系我们:info@booksci.cn Book学术提供免费学术资源搜索服务,方便国内外学者检索中英文文献。致力于提供最便捷和优质的服务体验。 Copyright © 2023 布克学术 All rights reserved.
京ICP备2023020795号-1
ghs 京公网安备 11010802042870号
Book学术文献互助
Book学术文献互助群
群 号:604180095
Book学术官方微信