Associations between injury occurrence and environmental temperatures in the Australian and German professional football leagues.

IF 3.8 Q2 ENVIRONMENTAL SCIENCES
Environmental Epidemiology Pub Date : 2025-01-22 eCollection Date: 2025-02-01 DOI:10.1097/EE9.0000000000000364
Edgar Schwarz, Rob Duffield, Donna Lu, Hugh Fullagar, Karen Aus der Fünten, Sabrina Skorski, Tobias Tröß, Abed Hadji, Tim Meyer
{"title":"Associations between injury occurrence and environmental temperatures in the Australian and German professional football leagues.","authors":"Edgar Schwarz, Rob Duffield, Donna Lu, Hugh Fullagar, Karen Aus der Fünten, Sabrina Skorski, Tobias Tröß, Abed Hadji, Tim Meyer","doi":"10.1097/EE9.0000000000000364","DOIUrl":null,"url":null,"abstract":"<p><p>A cross-sectional analysis was performed to investigate associations between environmental temperatures and injury occurrence in two professional male football (soccer) leagues. Data from seven seasons of the German Bundesliga (2142 matches) and four seasons of the Australian A-League (470 matches) were included. Injuries were collated via media reports for the Bundesliga and via team staff reports in the A-League and comprised injury incidence, mechanisms (contact, noncontact), locations (e.g., ankle, knee, and thigh), and types (e.g., muscle and tendon, joint and ligament). Weather data included ambient air temperature (temperature or T) and wet bulb globe temperature (WBGT), which were collected from online sources retrospectively. Generalized linear mixed models were analyzed to examine associations between temperature or WBGT and injury occurrence for each league, respectively. Additionally, matches were grouped into categories of 5°C temperature steps to compare for injury occurrence. Results showed no relationship existed between either temperature or WBGT and any injury occurrence, mechanisms, locations or types for the Bundesliga (<i>P</i> > 0.10). A trend for an increase in injury occurrence in higher WBGT existed in the A-League (<i>P</i> = 0.05). Comparisons between 5°C temperature categories showed no significant differences for injury occurrence for either temperature or WBGT in either League (<i>P</i> > 0.05). Within the observed temperature ranges (-11.2 to 37.1°C T; -12.2 to 29.6°C WBGT) environmental temperature had no relationship with the rate or type of injury occurrence in professional football. Nevertheless, the number of matches at extreme heat within this study was limited and other factors (e.g., playing intensity, season stage, ground conditions) likely co-influence the relationship with injuries.</p>","PeriodicalId":11713,"journal":{"name":"Environmental Epidemiology","volume":"9 1","pages":"e364"},"PeriodicalIF":3.8000,"publicationDate":"2025-01-22","publicationTypes":"Journal Article","fieldsOfStudy":null,"isOpenAccess":false,"openAccessPdf":"https://www.ncbi.nlm.nih.gov/pmc/articles/PMC11756877/pdf/","citationCount":"0","resultStr":null,"platform":"Semanticscholar","paperid":null,"PeriodicalName":"Environmental Epidemiology","FirstCategoryId":"1085","ListUrlMain":"https://doi.org/10.1097/EE9.0000000000000364","RegionNum":0,"RegionCategory":null,"ArticlePicture":[],"TitleCN":null,"AbstractTextCN":null,"PMCID":null,"EPubDate":"2025/2/1 0:00:00","PubModel":"eCollection","JCR":"Q2","JCRName":"ENVIRONMENTAL SCIENCES","Score":null,"Total":0}
引用次数: 0

Abstract

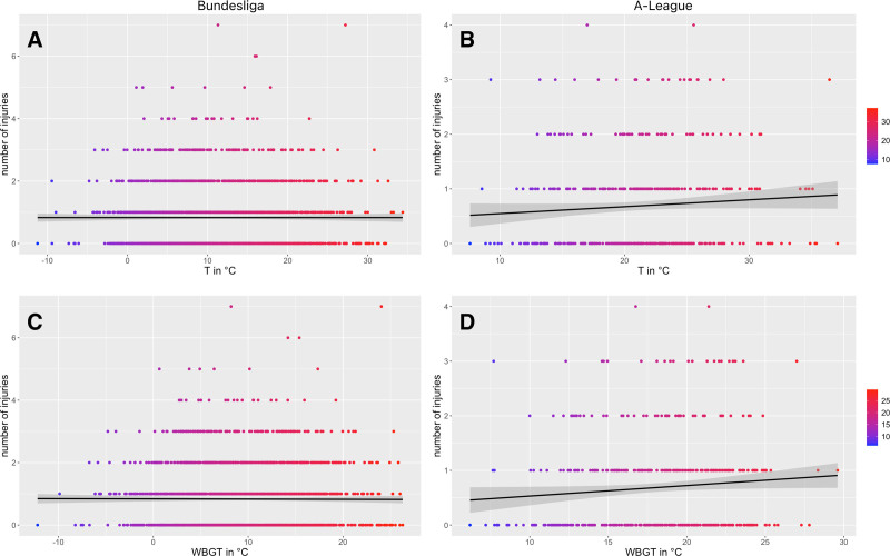
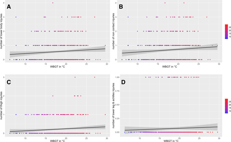
A cross-sectional analysis was performed to investigate associations between environmental temperatures and injury occurrence in two professional male football (soccer) leagues. Data from seven seasons of the German Bundesliga (2142 matches) and four seasons of the Australian A-League (470 matches) were included. Injuries were collated via media reports for the Bundesliga and via team staff reports in the A-League and comprised injury incidence, mechanisms (contact, noncontact), locations (e.g., ankle, knee, and thigh), and types (e.g., muscle and tendon, joint and ligament). Weather data included ambient air temperature (temperature or T) and wet bulb globe temperature (WBGT), which were collected from online sources retrospectively. Generalized linear mixed models were analyzed to examine associations between temperature or WBGT and injury occurrence for each league, respectively. Additionally, matches were grouped into categories of 5°C temperature steps to compare for injury occurrence. Results showed no relationship existed between either temperature or WBGT and any injury occurrence, mechanisms, locations or types for the Bundesliga (P > 0.10). A trend for an increase in injury occurrence in higher WBGT existed in the A-League (P = 0.05). Comparisons between 5°C temperature categories showed no significant differences for injury occurrence for either temperature or WBGT in either League (P > 0.05). Within the observed temperature ranges (-11.2 to 37.1°C T; -12.2 to 29.6°C WBGT) environmental temperature had no relationship with the rate or type of injury occurrence in professional football. Nevertheless, the number of matches at extreme heat within this study was limited and other factors (e.g., playing intensity, season stage, ground conditions) likely co-influence the relationship with injuries.

Abstract Image

Abstract Image

Abstract Image

澳大利亚和德国职业足球联赛中受伤发生与环境温度之间的关系。
横断面分析进行了调查环境温度和伤害发生在两个职业男子足球(足球)联赛之间的关系。数据来自7个赛季的德甲联赛(2142场)和4个赛季的澳大利亚甲联赛(470场)。通过德甲的媒体报道和a联赛的团队工作人员报告对受伤情况进行了整理,包括受伤发生率、机制(接触性、非接触性)、位置(如脚踝、膝盖和大腿)和类型(如肌肉和肌腱、关节和韧带)。天气数据包括从网上回顾性收集的环境空气温度(温度或T)和湿球温度(WBGT)。分析了广义线性混合模型,分别检查了温度或WBGT与每个联赛损伤发生率之间的关系。此外,将比赛分组为5°C的温度步骤,以比较损伤的发生。结果显示,在德甲联赛中,温度和WBGT与任何损伤发生、机制、位置或类型都没有关系(P > 0.10)。在A联赛中,WBGT越高,损伤发生率越高(P = 0.05)。在5°C温度类别之间的比较显示,无论是温度还是WBGT,两种联赛的损伤发生率均无显著差异(P < 0.05)。在观测温度范围内(-11.2至37.1°C T;-12.2 ~ 29.6℃(WBGT)环境温度与职业足球运动员损伤发生率和类型无关。然而,在本研究中,极端高温下的比赛数量有限,其他因素(如比赛强度、赛季阶段、地面条件)可能会共同影响与受伤的关系。
本文章由计算机程序翻译,如有差异,请以英文原文为准。
求助全文
约1分钟内获得全文 求助全文
来源期刊
Environmental Epidemiology
Environmental Epidemiology Medicine-Public Health, Environmental and Occupational Health
CiteScore
5.70
自引率
2.80%
发文量
71
审稿时长
25 weeks
×
引用
GB/T 7714-2015
复制
MLA
复制
APA
复制
导出至
BibTeX EndNote RefMan NoteFirst NoteExpress
×
提示
您的信息不完整,为了账户安全,请先补充。
现在去补充
×
提示
您因"违规操作"
具体请查看互助需知
我知道了
×
提示
确定
请完成安全验证×
copy
已复制链接
快去分享给好友吧!
我知道了
右上角分享
点击右上角分享
0
联系我们:info@booksci.cn Book学术提供免费学术资源搜索服务,方便国内外学者检索中英文文献。致力于提供最便捷和优质的服务体验。 Copyright © 2023 布克学术 All rights reserved.
京ICP备2023020795号-1
ghs 京公网安备 11010802042870号
Book学术文献互助
Book学术文献互助群
群 号:604180095
Book学术官方微信