Trends in the Age-Adjusted Incidence of Head and Neck Cancer in South Korea Over the Past 20 Years.

IF 3.4 3区 医学 Q1 OTORHINOLARYNGOLOGY
Jae Hoon Cho, Jeffrey D Suh, Young Chang Lim
{"title":"Trends in the Age-Adjusted Incidence of Head and Neck Cancer in South Korea Over the Past 20 Years.","authors":"Jae Hoon Cho, Jeffrey D Suh, Young Chang Lim","doi":"10.21053/ceo.2024.00346","DOIUrl":null,"url":null,"abstract":"<p><strong>Objectives: </strong>This study aimed to calculate the age-adjusted incidence rate of head and neck cancer (HNC) in South Korea from 1999 to 2020 and to analyze HNC incidence trends while excluding the effects of population aging.</p><p><strong>Methods: </strong>Data were obtained from the Cancer Registration Statistics Program. All 12 types of HNCs were analyzed. Crude incidence rates and the number of new cases from 1999 to 2020 were presented by sex and age group. Age-adjusted incidence rates were calculated using the World Standard Population (World Health Organization [WHO] 2000-2025), and trends were assessed.</p><p><strong>Results: </strong>Although the crude incidence rates of all HNCs increased steadily from 1999 to 2020, the absolute values remained low in most cases, at less than 2 per 100,000. The male-to-female ratio was 1 or higher for all HNCs except thyroid cancer, and 10 or higher for laryngeal and hypopharyngeal cancers. Age-adjusted incidence trends showed a gradual increase for tongue cancer, tonsil cancer, major salivary gland cancer, and thyroid cancer, a decrease for laryngeal cancer, and no significant change for the remaining HNCs.</p><p><strong>Conclusion: </strong>Excluding the effects of population aging, tongue cancer, tonsil cancer, major salivary gland cancer, and thyroid cancer have increased in South Korea over the past 20 years, while laryngeal cancer has decreased.</p>","PeriodicalId":10318,"journal":{"name":"Clinical and Experimental Otorhinolaryngology","volume":" ","pages":"180-187"},"PeriodicalIF":3.4000,"publicationDate":"2025-05-01","publicationTypes":"Journal Article","fieldsOfStudy":null,"isOpenAccess":false,"openAccessPdf":"https://www.ncbi.nlm.nih.gov/pmc/articles/PMC12146604/pdf/","citationCount":"0","resultStr":null,"platform":"Semanticscholar","paperid":null,"PeriodicalName":"Clinical and Experimental Otorhinolaryngology","FirstCategoryId":"3","ListUrlMain":"https://doi.org/10.21053/ceo.2024.00346","RegionNum":3,"RegionCategory":"医学","ArticlePicture":[],"TitleCN":null,"AbstractTextCN":null,"PMCID":null,"EPubDate":"2025/1/24 0:00:00","PubModel":"Epub","JCR":"Q1","JCRName":"OTORHINOLARYNGOLOGY","Score":null,"Total":0}
引用次数: 0

Abstract

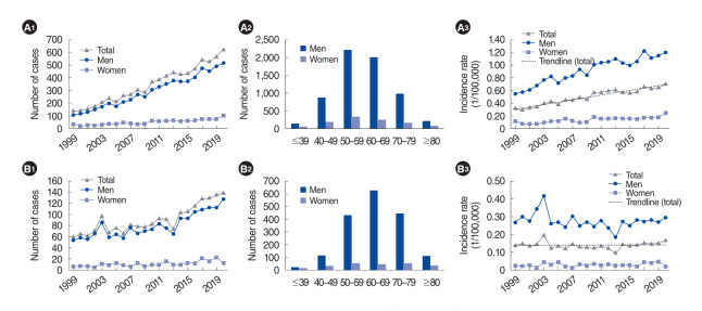
Objectives: This study aimed to calculate the age-adjusted incidence rate of head and neck cancer (HNC) in South Korea from 1999 to 2020 and to analyze HNC incidence trends while excluding the effects of population aging.

Methods: Data were obtained from the Cancer Registration Statistics Program. All 12 types of HNCs were analyzed. Crude incidence rates and the number of new cases from 1999 to 2020 were presented by sex and age group. Age-adjusted incidence rates were calculated using the World Standard Population (World Health Organization [WHO] 2000-2025), and trends were assessed.

Results: Although the crude incidence rates of all HNCs increased steadily from 1999 to 2020, the absolute values remained low in most cases, at less than 2 per 100,000. The male-to-female ratio was 1 or higher for all HNCs except thyroid cancer, and 10 or higher for laryngeal and hypopharyngeal cancers. Age-adjusted incidence trends showed a gradual increase for tongue cancer, tonsil cancer, major salivary gland cancer, and thyroid cancer, a decrease for laryngeal cancer, and no significant change for the remaining HNCs.

Conclusion: Excluding the effects of population aging, tongue cancer, tonsil cancer, major salivary gland cancer, and thyroid cancer have increased in South Korea over the past 20 years, while laryngeal cancer has decreased.

Abstract Image

Abstract Image

Abstract Image

过去20年韩国头颈癌年龄调整发病率趋势
目的:计算1999年至2020年韩国头颈癌(HNC)的年龄调整发病率,探讨排除人口老龄化影响的HNC发病率趋势。方法:数据来自癌症登记统计程序。对所有12种HNCs进行分析。对于每种HNC类型,1999-2020年期间的粗发病率和新病例数按性别和年龄组分列。根据世界标准人口(WHO 2000-2025)计算年龄调整后的发病率,并测量其趋势。结果:1999 ~ 2020年,所有HNCs的粗发病率呈稳步上升趋势,但多数病例的绝对值很低,小于2/10万。除甲状腺癌外,所有HNCs的男女比例为1或更高,喉癌和下咽癌的男女比例为10或更高。舌癌、扁桃体癌、大涎腺癌和甲状腺癌的年龄调整后发病率呈逐渐上升趋势,喉癌呈下降趋势,其余HNCs的年龄调整后发病率无明显变化。结论:排除人口老龄化影响,韩国HNCs中舌癌、扁桃体癌、大涎腺癌、甲状腺癌在近20年呈上升趋势,喉癌呈下降趋势。
本文章由计算机程序翻译,如有差异,请以英文原文为准。
求助全文
约1分钟内获得全文 求助全文
来源期刊
CiteScore
4.90
自引率
6.70%
发文量
49
审稿时长
6-12 weeks
期刊介绍: Clinical and Experimental Otorhinolaryngology (Clin Exp Otorhinolaryngol, CEO) is an international peer-reviewed journal on recent developments in diagnosis and treatment of otorhinolaryngology-head and neck surgery and dedicated to the advancement of patient care in ear, nose, throat, head, and neck disorders. This journal publishes original articles relating to both clinical and basic researches, reviews, and clinical trials, encompassing the whole topics of otorhinolaryngology-head and neck surgery. CEO was first issued in 2008 and this journal is published in English four times (the last day of February, May, August, and November) per year by the Korean Society of Otorhinolaryngology-Head and Neck Surgery. The Journal aims at publishing evidence-based, scientifically written articles from different disciplines of otorhinolaryngology field. The readership contains clinical/basic research into current practice in otorhinolaryngology, audiology, speech pathology, head and neck oncology, plastic and reconstructive surgery. The readers are otolaryngologists, head and neck surgeons and oncologists, audiologists, and speech pathologists.
×
引用
GB/T 7714-2015
复制
MLA
复制
APA
复制
导出至
BibTeX EndNote RefMan NoteFirst NoteExpress
×
提示
您的信息不完整,为了账户安全,请先补充。
现在去补充
×
提示
您因"违规操作"
具体请查看互助需知
我知道了
×
提示
确定
请完成安全验证×
copy
已复制链接
快去分享给好友吧!
我知道了
右上角分享
点击右上角分享
0
联系我们:info@booksci.cn Book学术提供免费学术资源搜索服务,方便国内外学者检索中英文文献。致力于提供最便捷和优质的服务体验。 Copyright © 2023 布克学术 All rights reserved.
京ICP备2023020795号-1
ghs 京公网安备 11010802042870号
Book学术文献互助
Book学术文献互助群
群 号:604180095
Book学术官方微信