Asthma-related deaths in Brazil: data from an ecological study.

IF 3 4区 医学 Q2 RESPIRATORY SYSTEM
Jornal Brasileiro De Pneumologia Pub Date : 2025-01-20 eCollection Date: 2025-01-01 DOI:10.36416/1806-3756/e20240296
Amanda da Rocha Oliveira Cardoso, Anna Carolina Galvão Ferreira, Marcelo Fouad Rabahi
{"title":"Asthma-related deaths in Brazil: data from an ecological study.","authors":"Amanda da Rocha Oliveira Cardoso, Anna Carolina Galvão Ferreira, Marcelo Fouad Rabahi","doi":"10.36416/1806-3756/e20240296","DOIUrl":null,"url":null,"abstract":"<p><strong>Objective: </strong>The aim of this study was to present epidemiological data on hospitalizations and deaths related to asthma in Brazil over the past 11 years.</p><p><strong>Methods: </strong>An ecological study was conducted on asthma-related hospitalizations and mortality in Brazil from 2013 to 2023, using data extracted from the Department of Informatics of the Brazilian Unified Health System and the Mortality Information System.</p><p><strong>Results: </strong>Asthma-related deaths showed an increasing trend during the analyzed period. A surge in deaths was observed in 2022 compared to 2014 (difference between means = 56.08 ± 19.7; 95% CI = 15.2-96.9). The mean number of deaths was higher among females, with their rate remaining stable, while the rate for males increased. Individuals aged >60 years accounted for approximately 65% of all asthma-related deaths from 2013 to 2023, with a strong direct correlation observed between age and the number of deaths, regardless of sex. During the same period, the total number of asthma-related hospitalizations in Brazil showed a declining trend, decreasing from 134,322 in 2013 to 87,707 in 2023.</p><p><strong>Conclusion: </strong>Over the past 11 years, asthma-related deaths have increased in Brazil, with the majority occurring among females. Older individuals accounted for most asthma-related deaths, and a positive correlation was observed between age and the number of deaths.</p>","PeriodicalId":14845,"journal":{"name":"Jornal Brasileiro De Pneumologia","volume":"50 6","pages":"e20240296"},"PeriodicalIF":3.0000,"publicationDate":"2025-01-20","publicationTypes":"Journal Article","fieldsOfStudy":null,"isOpenAccess":false,"openAccessPdf":"https://www.ncbi.nlm.nih.gov/pmc/articles/PMC11796392/pdf/","citationCount":"0","resultStr":null,"platform":"Semanticscholar","paperid":null,"PeriodicalName":"Jornal Brasileiro De Pneumologia","FirstCategoryId":"3","ListUrlMain":"https://doi.org/10.36416/1806-3756/e20240296","RegionNum":4,"RegionCategory":"医学","ArticlePicture":[],"TitleCN":null,"AbstractTextCN":null,"PMCID":null,"EPubDate":"2025/1/1 0:00:00","PubModel":"eCollection","JCR":"Q2","JCRName":"RESPIRATORY SYSTEM","Score":null,"Total":0}
引用次数: 0

Abstract

Objective: The aim of this study was to present epidemiological data on hospitalizations and deaths related to asthma in Brazil over the past 11 years.

Methods: An ecological study was conducted on asthma-related hospitalizations and mortality in Brazil from 2013 to 2023, using data extracted from the Department of Informatics of the Brazilian Unified Health System and the Mortality Information System.

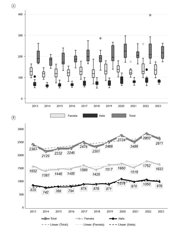
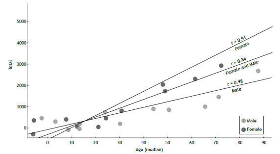
Results: Asthma-related deaths showed an increasing trend during the analyzed period. A surge in deaths was observed in 2022 compared to 2014 (difference between means = 56.08 ± 19.7; 95% CI = 15.2-96.9). The mean number of deaths was higher among females, with their rate remaining stable, while the rate for males increased. Individuals aged >60 years accounted for approximately 65% of all asthma-related deaths from 2013 to 2023, with a strong direct correlation observed between age and the number of deaths, regardless of sex. During the same period, the total number of asthma-related hospitalizations in Brazil showed a declining trend, decreasing from 134,322 in 2013 to 87,707 in 2023.

Conclusion: Over the past 11 years, asthma-related deaths have increased in Brazil, with the majority occurring among females. Older individuals accounted for most asthma-related deaths, and a positive correlation was observed between age and the number of deaths.

Abstract Image

Abstract Image

Abstract Image

巴西哮喘相关死亡:来自生态学研究的数据。
目的:本研究的目的是介绍过去11年来巴西与哮喘相关的住院和死亡的流行病学数据。方法:利用巴西统一卫生系统信息部和死亡率信息系统的数据,对2013 - 2023年巴西哮喘相关住院和死亡率进行生态学研究。结果:分析期内哮喘相关死亡呈上升趋势。与2014年相比,2022年死亡人数激增(平均值差= 56.08±19.7;95% ci = 15.2-96.9)。女性的平均死亡人数较高,死亡率保持稳定,而男性的死亡率则有所上升。从2013年到2023年,年龄在50到60岁之间的人约占所有哮喘相关死亡人数的65%,年龄和死亡人数之间存在很强的直接相关性,而与性别无关。在同一时期,巴西因哮喘住院的总人数呈下降趋势,从2013年的134,322人减少到2023年的87,707人。结论:在过去11年中,巴西与哮喘相关的死亡人数有所增加,其中大多数发生在女性中。老年人与哮喘相关的死亡占大多数,并且观察到年龄与死亡人数呈正相关。
本文章由计算机程序翻译,如有差异,请以英文原文为准。
求助全文
约1分钟内获得全文 求助全文
来源期刊
Jornal Brasileiro De Pneumologia
Jornal Brasileiro De Pneumologia RESPIRATORY SYSTEM-
CiteScore
3.50
自引率
14.80%
发文量
118
审稿时长
20 weeks
期刊介绍: The Brazilian Journal of Pulmonology publishes scientific articles that contribute to the improvement of knowledge in the field of the lung diseases and related areas.
×
引用
GB/T 7714-2015
复制
MLA
复制
APA
复制
导出至
BibTeX EndNote RefMan NoteFirst NoteExpress
×
提示
您的信息不完整,为了账户安全,请先补充。
现在去补充
×
提示
您因"违规操作"
具体请查看互助需知
我知道了
×
提示
确定
请完成安全验证×
copy
已复制链接
快去分享给好友吧!
我知道了
右上角分享
点击右上角分享
0
联系我们:info@booksci.cn Book学术提供免费学术资源搜索服务,方便国内外学者检索中英文文献。致力于提供最便捷和优质的服务体验。 Copyright © 2023 布克学术 All rights reserved.
京ICP备2023020795号-1
ghs 京公网安备 11010802042870号
Book学术文献互助
Book学术文献互助群
群 号:604180095
Book学术官方微信