Co-inoculation with Bacillus thuringiensis RZ2MS9 and rhizobia improves the soybean development and modulates soil functional diversity.

IF 3.2 3区 生物学 Q2 MICROBIOLOGY
Leandro Fonseca de Souza, Helena Gutierrez Oliveira, Thierry Alexandre Pellegrinetti, Lucas William Mendes, Maria Leticia Bonatelli, Aline Silva Romão Dumaresq, Vanessa V C Sinatti, José Baldin Pinheiro, João Lucio Azevedo, Maria Carolina Quecine
{"title":"Co-inoculation with Bacillus thuringiensis RZ2MS9 and rhizobia improves the soybean development and modulates soil functional diversity.","authors":"Leandro Fonseca de Souza, Helena Gutierrez Oliveira, Thierry Alexandre Pellegrinetti, Lucas William Mendes, Maria Leticia Bonatelli, Aline Silva Romão Dumaresq, Vanessa V C Sinatti, José Baldin Pinheiro, João Lucio Azevedo, Maria Carolina Quecine","doi":"10.1093/femsec/fiaf013","DOIUrl":null,"url":null,"abstract":"<p><p>Despite the beneficial effects of plant growth-promoting rhizobacteria on agriculture, understanding the consequences of introducing foreign microbes into soil taxonomic and functional diversity is necessary. This study evaluated the effects co-inoculation of soybean with Bacillus thuringiensis (Bt) RZ2MS9 and commercial rhizobia on the natural microbial community structure and functional potential. Our results indicated that soybean development was positively influenced by co-inoculation, plants exhibited greater height and a higher number of pods, and no reductions in productivity estimates. Soil prokaryotic diversity and community structure remained unchanged by Bt RZMS9 inoculation or co-inoculation with rhizobia 147 days after sowing. However, functional diversity was influenced by sole Bt inoculation, potentially due to community quorum sensing disruption by N-acyl homoserine lactone hydrolases. The genes enriched by co-inoculation were mostly related to soil phosphorus cycling, with gcd showing the most pronounced increase. The nifA genes increased when rhizobia alone were inoculated, suggesting that this pathway could be affected by Bt RZ2MS9 inoculation. This study demonstrates the synergistic activity of rhizobia and Bt RZ2MS9 on soybean development, without significantly interfering with natural microbial community, presenting a promising approach for sustainable crop management.</p>","PeriodicalId":12312,"journal":{"name":"FEMS microbiology ecology","volume":" ","pages":""},"PeriodicalIF":3.2000,"publicationDate":"2025-01-28","publicationTypes":"Journal Article","fieldsOfStudy":null,"isOpenAccess":false,"openAccessPdf":"https://www.ncbi.nlm.nih.gov/pmc/articles/PMC11796456/pdf/","citationCount":"0","resultStr":null,"platform":"Semanticscholar","paperid":null,"PeriodicalName":"FEMS microbiology ecology","FirstCategoryId":"99","ListUrlMain":"https://doi.org/10.1093/femsec/fiaf013","RegionNum":3,"RegionCategory":"生物学","ArticlePicture":[],"TitleCN":null,"AbstractTextCN":null,"PMCID":null,"EPubDate":"","PubModel":"","JCR":"Q2","JCRName":"MICROBIOLOGY","Score":null,"Total":0}
引用次数: 0

Abstract

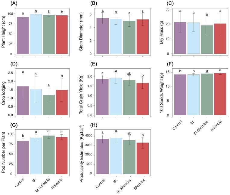
Despite the beneficial effects of plant growth-promoting rhizobacteria on agriculture, understanding the consequences of introducing foreign microbes into soil taxonomic and functional diversity is necessary. This study evaluated the effects co-inoculation of soybean with Bacillus thuringiensis (Bt) RZ2MS9 and commercial rhizobia on the natural microbial community structure and functional potential. Our results indicated that soybean development was positively influenced by co-inoculation, plants exhibited greater height and a higher number of pods, and no reductions in productivity estimates. Soil prokaryotic diversity and community structure remained unchanged by Bt RZMS9 inoculation or co-inoculation with rhizobia 147 days after sowing. However, functional diversity was influenced by sole Bt inoculation, potentially due to community quorum sensing disruption by N-acyl homoserine lactone hydrolases. The genes enriched by co-inoculation were mostly related to soil phosphorus cycling, with gcd showing the most pronounced increase. The nifA genes increased when rhizobia alone were inoculated, suggesting that this pathway could be affected by Bt RZ2MS9 inoculation. This study demonstrates the synergistic activity of rhizobia and Bt RZ2MS9 on soybean development, without significantly interfering with natural microbial community, presenting a promising approach for sustainable crop management.

Abstract Image

Abstract Image

Abstract Image

苏云金芽孢杆菌RZ2MS9与根瘤菌共接种可促进大豆发育,调节土壤功能多样性。
尽管植物促生根瘤菌(Plant Growth-Promoting Rhizobacteria, PGPR)在农业上具有有益的作用,但了解外来微生物引入土壤的分类和功能多样性的后果是必要的。本研究评价了苏云金芽孢杆菌RZ2MS9和商品根瘤菌共接种大豆对天然微生物群落结构和功能潜力的影响。结果表明,共接种对大豆的发育有积极影响,植株的高度和荚果数量都有所增加,但产量估计值没有降低。接种Bt RZMS9或与根瘤菌共接种后147 d土壤原核生物多样性和群落结构保持不变。然而,单次接种Bt会影响其功能多样性,这可能是由于n -酰基高丝氨酸内酯水解酶破坏了群落群体感应。共接种富集的基因主要与土壤磷循环有关,其中gcd增加最为显著。单接种根瘤菌时,nifA基因增加,提示接种Bt RZ2MS9可能影响该途径。本研究证明了根瘤菌与Bt RZ2MS9对大豆发育具有协同作用,且对天然微生物群落无明显干扰,为作物可持续管理提供了一条有前景的途径。
本文章由计算机程序翻译,如有差异,请以英文原文为准。
求助全文
约1分钟内获得全文 求助全文
来源期刊
FEMS microbiology ecology
FEMS microbiology ecology 生物-微生物学
CiteScore
7.50
自引率
2.40%
发文量
132
审稿时长
3 months
期刊介绍: FEMS Microbiology Ecology aims to ensure efficient publication of high-quality papers that are original and provide a significant contribution to the understanding of microbial ecology. The journal contains Research Articles and MiniReviews on fundamental aspects of the ecology of microorganisms in natural soil, aquatic and atmospheric habitats, including extreme environments, and in artificial or managed environments. Research papers on pure cultures and in the areas of plant pathology and medical, food or veterinary microbiology will be published where they provide valuable generic information on microbial ecology. Papers can deal with culturable and non-culturable forms of any type of microorganism: bacteria, archaea, filamentous fungi, yeasts, protozoa, cyanobacteria, algae or viruses. In addition, the journal will publish Perspectives, Current Opinion and Controversy Articles, Commentaries and Letters to the Editor on topical issues in microbial ecology. - Application of ecological theory to microbial ecology - Interactions and signalling between microorganisms and with plants and animals - Interactions between microorganisms and their physicochemical enviornment - Microbial aspects of biogeochemical cycles and processes - Microbial community ecology - Phylogenetic and functional diversity of microbial communities - Evolutionary biology of microorganisms
×
引用
GB/T 7714-2015
复制
MLA
复制
APA
复制
导出至
BibTeX EndNote RefMan NoteFirst NoteExpress
×
提示
您的信息不完整,为了账户安全,请先补充。
现在去补充
×
提示
您因"违规操作"
具体请查看互助需知
我知道了
×
提示
确定
请完成安全验证×
copy
已复制链接
快去分享给好友吧!
我知道了
右上角分享
点击右上角分享
0
联系我们:info@booksci.cn Book学术提供免费学术资源搜索服务,方便国内外学者检索中英文文献。致力于提供最便捷和优质的服务体验。 Copyright © 2023 布克学术 All rights reserved.
京ICP备2023020795号-1
ghs 京公网安备 11010802042870号
Book学术文献互助
Book学术文献互助群
群 号:604180095
Book学术官方微信