External low energy electromagnetic fields affect heart dynamics: surrogate for system synchronization, chaos control and cancer patient's health.

IF 3
Frontiers in network physiology Pub Date : 2025-01-03 eCollection Date: 2024-01-01 DOI:10.3389/fnetp.2024.1525135
Frederico P Costa, Jack Tuszynski, Antonio F Iemma, Willian A Trevizan, Bertram Wiedenmann, Eckehard Schöll
{"title":"External low energy electromagnetic fields affect heart dynamics: surrogate for system synchronization, chaos control and cancer patient's health.","authors":"Frederico P Costa, Jack Tuszynski, Antonio F Iemma, Willian A Trevizan, Bertram Wiedenmann, Eckehard Schöll","doi":"10.3389/fnetp.2024.1525135","DOIUrl":null,"url":null,"abstract":"<p><p>All cells in the human body, including cancer cells, possess specific electrical properties crucial for their functions. These properties are notably different between normal and cancerous cells. Cancer cells are characterized by autonomous oscillations and damped electromagnetic field (EMF) activation. Cancer reduces physiological variability, implying a systemic disconnection that desynchronizes bodily systems and their inherent random processes. The dynamics of heart rate, in this context, could reflect global physiological network instability in the sense of entrainment. Using a medical device that employs an active closed-loop system, such as administering specifically modulated EMF frequencies at targeted intervals and at low energies, we can evaluate the periodic oscillations of the heart. This procedure serves as a closed-loop control mechanism leading to a temporary alteration in plasma membrane ionic flow and the heart's periodic oscillation dynamics. The understanding of this phenomenon is supported by computer simulations of a mathematical model, which are validated by experimental data. Heart dynamics can be quantified using difference logistic equations, and it correlates with improved overall survival rates in cancer patients.</p>","PeriodicalId":73092,"journal":{"name":"Frontiers in network physiology","volume":"4 ","pages":"1525135"},"PeriodicalIF":3.0000,"publicationDate":"2025-01-03","publicationTypes":"Journal Article","fieldsOfStudy":null,"isOpenAccess":false,"openAccessPdf":"https://www.ncbi.nlm.nih.gov/pmc/articles/PMC11739291/pdf/","citationCount":"0","resultStr":null,"platform":"Semanticscholar","paperid":null,"PeriodicalName":"Frontiers in network physiology","FirstCategoryId":"1085","ListUrlMain":"https://doi.org/10.3389/fnetp.2024.1525135","RegionNum":0,"RegionCategory":null,"ArticlePicture":[],"TitleCN":null,"AbstractTextCN":null,"PMCID":null,"EPubDate":"2024/1/1 0:00:00","PubModel":"eCollection","JCR":"","JCRName":"","Score":null,"Total":0}
引用次数: 0

Abstract

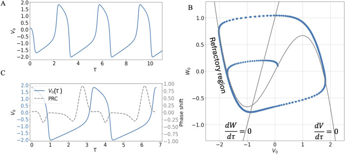
All cells in the human body, including cancer cells, possess specific electrical properties crucial for their functions. These properties are notably different between normal and cancerous cells. Cancer cells are characterized by autonomous oscillations and damped electromagnetic field (EMF) activation. Cancer reduces physiological variability, implying a systemic disconnection that desynchronizes bodily systems and their inherent random processes. The dynamics of heart rate, in this context, could reflect global physiological network instability in the sense of entrainment. Using a medical device that employs an active closed-loop system, such as administering specifically modulated EMF frequencies at targeted intervals and at low energies, we can evaluate the periodic oscillations of the heart. This procedure serves as a closed-loop control mechanism leading to a temporary alteration in plasma membrane ionic flow and the heart's periodic oscillation dynamics. The understanding of this phenomenon is supported by computer simulations of a mathematical model, which are validated by experimental data. Heart dynamics can be quantified using difference logistic equations, and it correlates with improved overall survival rates in cancer patients.

Abstract Image

Abstract Image

Abstract Image

外部低能量电磁场影响心脏动力学:系统同步、混沌控制和癌症患者健康的替代品。
人体内的所有细胞,包括癌细胞,都具有特定的电学性质,这对它们的功能至关重要。这些特性在正常细胞和癌细胞之间明显不同。癌细胞具有自主振荡和阻尼电磁场(EMF)激活的特征。癌症减少了生理上的可变性,这意味着一种系统性的脱节,使身体系统及其固有的随机过程失去同步。在这种情况下,心率的动态可以反映在娱乐意义上的全球生理网络的不稳定性。使用一种采用主动闭环系统的医疗设备,例如在目标间隔和低能量下管理特定调制的EMF频率,我们可以评估心脏的周期性振荡。这一过程作为一种闭环控制机制,导致质膜离子流动和心脏周期振荡动力学的暂时改变。对这一现象的理解得到了数学模型的计算机模拟的支持,并得到了实验数据的验证。心脏动力学可以用差分逻辑方程来量化,它与癌症患者总体生存率的提高有关。
本文章由计算机程序翻译,如有差异,请以英文原文为准。
求助全文
约1分钟内获得全文 求助全文
来源期刊
CiteScore
2.70
自引率
0.00%
发文量
0
×
引用
GB/T 7714-2015
复制
MLA
复制
APA
复制
导出至
BibTeX EndNote RefMan NoteFirst NoteExpress
×
提示
您的信息不完整,为了账户安全,请先补充。
现在去补充
×
提示
您因"违规操作"
具体请查看互助需知
我知道了
×
提示
确定
请完成安全验证×
copy
已复制链接
快去分享给好友吧!
我知道了
右上角分享
点击右上角分享
0
联系我们:info@booksci.cn Book学术提供免费学术资源搜索服务,方便国内外学者检索中英文文献。致力于提供最便捷和优质的服务体验。 Copyright © 2023 布克学术 All rights reserved.
京ICP备2023020795号-1
ghs 京公网安备 11010802042870号
Book学术文献互助
Book学术文献互助群
群 号:604180095
Book学术官方微信