Association of Step Count with Cardiorespiratory Fitness: Results from the Virtual 2-Minute Step Test

IF 2 Q2 REHABILITATION
Krisann K. Oursler MD , Brandon C. Briggs PhD , Alicia J. Lozano MS , Nadine M. Harris MD , Vincent C. Marconi MD , Alice S. Ryan PhD , FIT VET Project Team
{"title":"Association of Step Count with Cardiorespiratory Fitness: Results from the Virtual 2-Minute Step Test","authors":"Krisann K. Oursler MD ,&nbsp;Brandon C. Briggs PhD ,&nbsp;Alicia J. Lozano MS ,&nbsp;Nadine M. Harris MD ,&nbsp;Vincent C. Marconi MD ,&nbsp;Alice S. Ryan PhD ,&nbsp;FIT VET Project Team","doi":"10.1016/j.arrct.2024.100369","DOIUrl":null,"url":null,"abstract":"<div><h3>Objective</h3><div>To test the hypothesis that step count based on a virtual 2-minute step test (2MST) predicts cardiorespiratory fitness (CRF).</div></div><div><h3>Design</h3><div>Cross-sectional study.</div></div><div><h3>Setting</h3><div>Veteran Affairs Medical Centers participating in a randomized trial of functional exercise training delivered by videoconferencing.</div></div><div><h3>Participants</h3><div>People with human immunodeficiency virus (HIV) (PWH) who were aged ≥50 years and clinically stable on antiretroviral therapy were eligible for the trial. Consecutive male participants who were enrolled prior to November 9, 2023 and completed a baseline 2MST and cardiopulmonary exercise test (CPET) were included in the cross-sectional study (N=74).</div></div><div><h3>Intervention</h3><div>None.</div></div><div><h3>Main Outcome Measures</h3><div>Step count was measured by a 2MST performed by live videoconferencing using the Rikli and Jones protocol. CRF was measured by peak oxygen utilization (VO<sub>2</sub>peak) during a modified Bruce cardiopulmonary exercise testing.</div></div><div><h3>Results</h3><div>Most participants (62.2%) were ≥60 years of age. The mean (SD) VO<sub>2</sub>peak was 23.6 (5.7) mL/kg/min, which represented 72.4% (SD, 14.1) of expected VO<sub>2</sub>peak. Step count correlated with VO<sub>2</sub>peak (<em>r</em>=0.47, <em>P</em>&lt;.001). Multivariable linear regression showed that step count was significantly associated with VO<sub>2</sub>peak independently of age and body mass index. Based on this model, the prediction of VO<sub>2</sub>peak based on step count explained 60% of the variance in VO<sub>2</sub>peak. A Bland-Altman plot showed good agreement between predicated and measured VO<sub>2</sub>peak without heteroscedasticity.</div></div><div><h3>Conclusions</h3><div>The virtual 2MST predicted VO<sub>2</sub>peak independently of age and body mass index in men with well-controlled HIV. In ambulatory populations with known impaired cardiorespiratory fitness, the virtual 2MST may be a feasible and valid estimate of VO<sub>2</sub>peak that can be used in the telerehabilitation setting. Future work is required in more demographically diverse individuals with various chronic conditions.</div></div>","PeriodicalId":72291,"journal":{"name":"Archives of rehabilitation research and clinical translation","volume":"6 4","pages":"Article 100369"},"PeriodicalIF":2.0000,"publicationDate":"2024-12-01","publicationTypes":"Journal Article","fieldsOfStudy":null,"isOpenAccess":false,"openAccessPdf":"https://www.ncbi.nlm.nih.gov/pmc/articles/PMC11734009/pdf/","citationCount":"0","resultStr":null,"platform":"Semanticscholar","paperid":null,"PeriodicalName":"Archives of rehabilitation research and clinical translation","FirstCategoryId":"1085","ListUrlMain":"https://www.sciencedirect.com/science/article/pii/S2590109524000673","RegionNum":0,"RegionCategory":null,"ArticlePicture":[],"TitleCN":null,"AbstractTextCN":null,"PMCID":null,"EPubDate":"","PubModel":"","JCR":"Q2","JCRName":"REHABILITATION","Score":null,"Total":0}
引用次数: 0

Abstract

Objective

To test the hypothesis that step count based on a virtual 2-minute step test (2MST) predicts cardiorespiratory fitness (CRF).

Design

Cross-sectional study.

Setting

Veteran Affairs Medical Centers participating in a randomized trial of functional exercise training delivered by videoconferencing.

Participants

People with human immunodeficiency virus (HIV) (PWH) who were aged ≥50 years and clinically stable on antiretroviral therapy were eligible for the trial. Consecutive male participants who were enrolled prior to November 9, 2023 and completed a baseline 2MST and cardiopulmonary exercise test (CPET) were included in the cross-sectional study (N=74).

Intervention

None.

Main Outcome Measures

Step count was measured by a 2MST performed by live videoconferencing using the Rikli and Jones protocol. CRF was measured by peak oxygen utilization (VO2peak) during a modified Bruce cardiopulmonary exercise testing.

Results

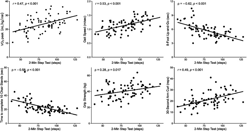
Most participants (62.2%) were ≥60 years of age. The mean (SD) VO2peak was 23.6 (5.7) mL/kg/min, which represented 72.4% (SD, 14.1) of expected VO2peak. Step count correlated with VO2peak (r=0.47, P<.001). Multivariable linear regression showed that step count was significantly associated with VO2peak independently of age and body mass index. Based on this model, the prediction of VO2peak based on step count explained 60% of the variance in VO2peak. A Bland-Altman plot showed good agreement between predicated and measured VO2peak without heteroscedasticity.

Conclusions

The virtual 2MST predicted VO2peak independently of age and body mass index in men with well-controlled HIV. In ambulatory populations with known impaired cardiorespiratory fitness, the virtual 2MST may be a feasible and valid estimate of VO2peak that can be used in the telerehabilitation setting. Future work is required in more demographically diverse individuals with various chronic conditions.

Abstract Image

Abstract Image

Abstract Image

步数与心肺健康的关系:虚拟2分钟步数测试的结果。
目的:验证基于虚拟2分钟步数测试(2MST)的步数预测心肺适能(CRF)的假设。设计:横断面研究。背景:退伍军人事务医疗中心参与了一项通过视频会议提供的功能运动训练的随机试验。受试者:年龄≥50岁且经抗逆转录病毒治疗临床稳定的人类免疫缺陷病毒(HIV) (PWH)患者符合试验条件。在2023年11月9日之前连续入组并完成基线2MST和心肺运动测试(CPET)的男性参与者被纳入横断面研究(N=74)。干预:没有。主要结果测量:步数通过使用Rikli和Jones协议的实时视频会议进行的2MST测量。在改进的布鲁斯心肺运动试验中,通过峰值氧利用率(vo2峰值)来测量CRF。结果:大多数参与者(62.2%)年龄≥60岁。平均(SD) VO2peak为23.6 (5.7)mL/kg/min,占预期VO2peak的72.4% (SD, 14.1)。步数与VO2peak相关(r=0.47), P2peak与年龄和体重指数无关。基于该模型,基于步数的VO2peak预测解释了VO2peak方差的60%。Bland-Altman图显示,预测的vo2峰与实测的vo2峰吻合良好,无异方差。结论:虚拟2MST预测vo2峰值独立于年龄和体重指数控制良好的男性HIV。在已知心肺功能受损的门诊人群中,虚拟2MST可能是一个可行和有效的vo2峰值估计,可用于远程康复设置。未来的工作需要更多的人口统计学不同的个体与各种慢性疾病。
本文章由计算机程序翻译,如有差异,请以英文原文为准。
求助全文
约1分钟内获得全文 求助全文
来源期刊
CiteScore
3.00
自引率
0.00%
发文量
0
审稿时长
8 weeks
×
引用
GB/T 7714-2015
复制
MLA
复制
APA
复制
导出至
BibTeX EndNote RefMan NoteFirst NoteExpress
×
提示
您的信息不完整,为了账户安全,请先补充。
现在去补充
×
提示
您因"违规操作"
具体请查看互助需知
我知道了
×
提示
确定
请完成安全验证×
copy
已复制链接
快去分享给好友吧!
我知道了
右上角分享
点击右上角分享
0
联系我们:info@booksci.cn Book学术提供免费学术资源搜索服务,方便国内外学者检索中英文文献。致力于提供最便捷和优质的服务体验。 Copyright © 2023 布克学术 All rights reserved.
京ICP备2023020795号-1
ghs 京公网安备 11010802042870号
Book学术文献互助
Book学术文献互助群
群 号:604180095
Book学术官方微信