Dynamics and asymptotic profiles of a local-nonlocal dispersal SIR epidemic model with spatial heterogeneity

IF 2.5 3区 医学 Q1 Medicine
Salih Djilali , Ghilmana Sarmad , Abdessamad Tridane
{"title":"Dynamics and asymptotic profiles of a local-nonlocal dispersal SIR epidemic model with spatial heterogeneity","authors":"Salih Djilali ,&nbsp;Ghilmana Sarmad ,&nbsp;Abdessamad Tridane","doi":"10.1016/j.idm.2024.12.003","DOIUrl":null,"url":null,"abstract":"<div><div>This research investigates a novel approach to modeling an SIR epidemic in a heterogeneous environment by imposing certain restrictions on population mobility. Our study reveals the influence of partially restricting the mobility of the infected population, who are allowed to diffuse locally and can be modeled using random dispersion. In contrast, the non-infective population, which includes susceptible and recovered individuals, has more freedom in their movements. This greater mobility can be modeled using nonlocal dispersion. Our approach is valid for a class of nonlocal dispersion kernels. For the analysis, we first establish the well-posedness of the solution, ensuring the existence, uniqueness, and positivity of this solution. Additionally, we identify the basic reproduction number R<sub>0</sub> with its threshold role. Specifically, when R<sub>0</sub> &lt; 1, we prove the global asymptotic stability of the disease-free steady state. Conversely, when R<sub>0</sub> &gt; 1, we demonstrate the corresponding semiflow of the model is uniformly persistent and establish behavior at endemic steady state. Lastly, we examine the asymptotic profiles of the positive steady state as the rate at which susceptible or infected individuals disperse tends to zero or infinity. Our findings reveal that when the movement of infected individuals is restricted, the infection concentrates in specific locations that may be described as the infected preferred spots.</div></div>","PeriodicalId":36831,"journal":{"name":"Infectious Disease Modelling","volume":"10 2","pages":"Pages 387-409"},"PeriodicalIF":2.5000,"publicationDate":"2024-12-10","publicationTypes":"Journal Article","fieldsOfStudy":null,"isOpenAccess":false,"openAccessPdf":"https://www.ncbi.nlm.nih.gov/pmc/articles/PMC11730864/pdf/","citationCount":"0","resultStr":null,"platform":"Semanticscholar","paperid":null,"PeriodicalName":"Infectious Disease Modelling","FirstCategoryId":"3","ListUrlMain":"https://www.sciencedirect.com/science/article/pii/S2468042724001295","RegionNum":3,"RegionCategory":"医学","ArticlePicture":[],"TitleCN":null,"AbstractTextCN":null,"PMCID":null,"EPubDate":"","PubModel":"","JCR":"Q1","JCRName":"Medicine","Score":null,"Total":0}
引用次数: 0

Abstract

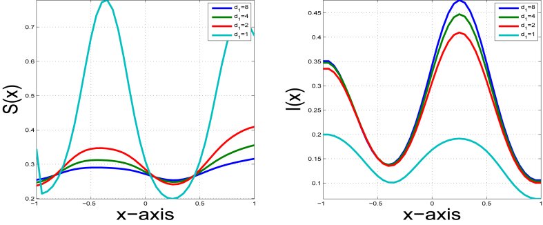
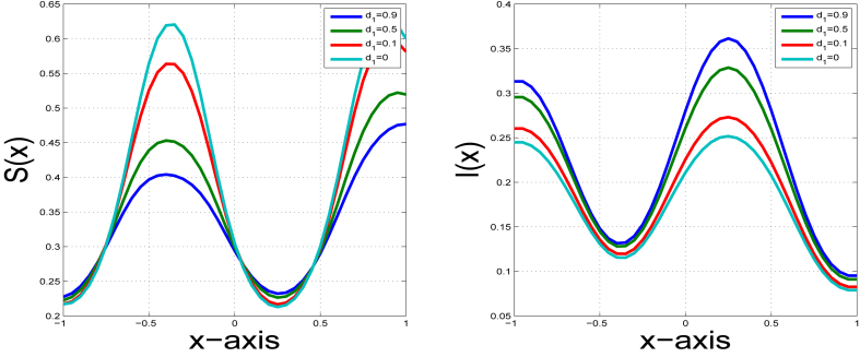
This research investigates a novel approach to modeling an SIR epidemic in a heterogeneous environment by imposing certain restrictions on population mobility. Our study reveals the influence of partially restricting the mobility of the infected population, who are allowed to diffuse locally and can be modeled using random dispersion. In contrast, the non-infective population, which includes susceptible and recovered individuals, has more freedom in their movements. This greater mobility can be modeled using nonlocal dispersion. Our approach is valid for a class of nonlocal dispersion kernels. For the analysis, we first establish the well-posedness of the solution, ensuring the existence, uniqueness, and positivity of this solution. Additionally, we identify the basic reproduction number R0 with its threshold role. Specifically, when R0 < 1, we prove the global asymptotic stability of the disease-free steady state. Conversely, when R0 > 1, we demonstrate the corresponding semiflow of the model is uniformly persistent and establish behavior at endemic steady state. Lastly, we examine the asymptotic profiles of the positive steady state as the rate at which susceptible or infected individuals disperse tends to zero or infinity. Our findings reveal that when the movement of infected individuals is restricted, the infection concentrates in specific locations that may be described as the infected preferred spots.

Abstract Image

Abstract Image

Abstract Image

具有空间异质性的局部-非局部分散SIR流行病模型的动力学和渐近分布。
本研究探讨了一种通过对人口流动施加一定限制来模拟异质环境中SIR流行病的新方法。我们的研究揭示了部分限制受感染人群流动性的影响,这些人群被允许在局部扩散,并且可以使用随机分散来建模。相比之下,非感染人群,包括易感和康复的个体,在行动上有更多的自由。这种更大的迁移率可以用非局部色散来建模。我们的方法对一类非局部色散核是有效的。对于分析,我们首先建立了解的适定性,保证了解的存在唯一性和正性。此外,我们还确定了基本繁殖数R0及其阈值作用。具体来说,当R0 0 bb0 1时,我们证明了模型对应的半流是均匀持续的,并建立了在地方性稳态下的行为。最后,我们研究了当易感或感染个体分散的速率趋于零或无穷大时正稳态的渐近分布。我们的研究结果表明,当受感染个体的活动受到限制时,感染集中在特定的地点,这些地点可能被描述为受感染的首选地点。
本文章由计算机程序翻译,如有差异,请以英文原文为准。
求助全文
约1分钟内获得全文 求助全文
来源期刊
Infectious Disease Modelling
Infectious Disease Modelling Mathematics-Applied Mathematics
CiteScore
17.00
自引率
3.40%
发文量
73
审稿时长
17 weeks
期刊介绍: Infectious Disease Modelling is an open access journal that undergoes peer-review. Its main objective is to facilitate research that combines mathematical modelling, retrieval and analysis of infection disease data, and public health decision support. The journal actively encourages original research that improves this interface, as well as review articles that highlight innovative methodologies relevant to data collection, informatics, and policy making in the field of public health.
×
引用
GB/T 7714-2015
复制
MLA
复制
APA
复制
导出至
BibTeX EndNote RefMan NoteFirst NoteExpress
×
提示
您的信息不完整,为了账户安全,请先补充。
现在去补充
×
提示
您因"违规操作"
具体请查看互助需知
我知道了
×
提示
确定
请完成安全验证×
copy
已复制链接
快去分享给好友吧!
我知道了
右上角分享
点击右上角分享
0
联系我们:info@booksci.cn Book学术提供免费学术资源搜索服务,方便国内外学者检索中英文文献。致力于提供最便捷和优质的服务体验。 Copyright © 2023 布克学术 All rights reserved.
京ICP备2023020795号-1
ghs 京公网安备 11010802042870号
Book学术文献互助
Book学术文献互助群
群 号:604180095
Book学术官方微信