Can the prevalence of one STI serve as a predictor for another? A mathematical modeling analysis

IF 2.5 3区 医学 Q1 Medicine
Ryosuke Omori , Hiam Chemaitelly , Laith J. Abu-Raddad
{"title":"Can the prevalence of one STI serve as a predictor for another? A mathematical modeling analysis","authors":"Ryosuke Omori ,&nbsp;Hiam Chemaitelly ,&nbsp;Laith J. Abu-Raddad","doi":"10.1016/j.idm.2024.12.008","DOIUrl":null,"url":null,"abstract":"<div><div>We aimed to understand to what extent knowledge of the prevalence of one sexually transmitted infection (STI) can predict the prevalence of another STI, with application for men who have sex with men (MSM). An individual-based simulation model was used to study the concurrent transmission of HIV, HSV-2, chlamydia, gonorrhea, and syphilis in MSM sexual networks. Using the model outputs, 15 multiple linear regression models were conducted for each STI prevalence, treating the prevalence of each as the dependent variable and the prevalences of up to four other STIs as independent variables in various combinations. For HIV, HSV-2, chlamydia, gonorrhea, and syphilis, the proportion of variation in prevalence explained by the 15 models ranged from 34.2% to 88.3%, 19.5%–70.5%, 43.7%–82.9%, 48.7%–86.3%, and 19.5%–67.2%, respectively. Including multiple STI prevalences as independent variables enhanced the models' predictive power. Gonorrhea prevalence was a strong predictor of HIV prevalence, while HSV-2 and syphilis prevalences were weak predictors of each other. Propagation of STIs in sexual networks reveals intricate dynamics, displaying varied epidemiological profiles while also demonstrating how the shared mode of transmission creates ecological associations that facilitate predictive relationships between STI prevalences.</div></div>","PeriodicalId":36831,"journal":{"name":"Infectious Disease Modelling","volume":"10 2","pages":"Pages 423-428"},"PeriodicalIF":2.5000,"publicationDate":"2024-12-12","publicationTypes":"Journal Article","fieldsOfStudy":null,"isOpenAccess":false,"openAccessPdf":"https://www.ncbi.nlm.nih.gov/pmc/articles/PMC11729652/pdf/","citationCount":"0","resultStr":null,"platform":"Semanticscholar","paperid":null,"PeriodicalName":"Infectious Disease Modelling","FirstCategoryId":"3","ListUrlMain":"https://www.sciencedirect.com/science/article/pii/S2468042724001349","RegionNum":3,"RegionCategory":"医学","ArticlePicture":[],"TitleCN":null,"AbstractTextCN":null,"PMCID":null,"EPubDate":"","PubModel":"","JCR":"Q1","JCRName":"Medicine","Score":null,"Total":0}
引用次数: 0

Abstract

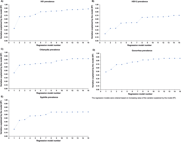
We aimed to understand to what extent knowledge of the prevalence of one sexually transmitted infection (STI) can predict the prevalence of another STI, with application for men who have sex with men (MSM). An individual-based simulation model was used to study the concurrent transmission of HIV, HSV-2, chlamydia, gonorrhea, and syphilis in MSM sexual networks. Using the model outputs, 15 multiple linear regression models were conducted for each STI prevalence, treating the prevalence of each as the dependent variable and the prevalences of up to four other STIs as independent variables in various combinations. For HIV, HSV-2, chlamydia, gonorrhea, and syphilis, the proportion of variation in prevalence explained by the 15 models ranged from 34.2% to 88.3%, 19.5%–70.5%, 43.7%–82.9%, 48.7%–86.3%, and 19.5%–67.2%, respectively. Including multiple STI prevalences as independent variables enhanced the models' predictive power. Gonorrhea prevalence was a strong predictor of HIV prevalence, while HSV-2 and syphilis prevalences were weak predictors of each other. Propagation of STIs in sexual networks reveals intricate dynamics, displaying varied epidemiological profiles while also demonstrating how the shared mode of transmission creates ecological associations that facilitate predictive relationships between STI prevalences.

Abstract Image

Abstract Image

一种性传播感染的流行是否可以作为另一种性传播感染的预测指标?数学建模分析。
我们的目的是了解在多大程度上了解一种性传播感染(STI)的流行程度可以预测另一种性传播感染的流行程度,并应用于男男性行为者(MSM)。采用基于个体的模拟模型研究HIV、HSV-2、衣原体、淋病和梅毒在MSM性网络中的同时传播情况。利用模型输出,对每种性传播感染流行情况进行了15个多元线性回归模型,将每种性传播感染的流行情况作为因变量,并将多达四种其他性传播感染的流行情况作为各种组合中的自变量。对于HIV、HSV-2、衣原体、淋病和梅毒,15种模型解释的患病率变异比例分别为34.2% ~ 88.3%、19.5% ~ 70.5%、43.7% ~ 82.9%、48.7% ~ 86.3%和19.5% ~ 67.2%。将多个STI患病率作为自变量,增强了模型的预测能力。淋病患病率是HIV患病率的一个强预测因子,而HSV-2和梅毒患病率是彼此的弱预测因子。性传播感染在性网络中的传播揭示了复杂的动态,显示了不同的流行病学概况,同时也证明了共享的传播模式如何创造了促进性传播感染流行之间预测关系的生态关联。
本文章由计算机程序翻译,如有差异,请以英文原文为准。
求助全文
约1分钟内获得全文 求助全文
来源期刊
Infectious Disease Modelling
Infectious Disease Modelling Mathematics-Applied Mathematics
CiteScore
17.00
自引率
3.40%
发文量
73
审稿时长
17 weeks
期刊介绍: Infectious Disease Modelling is an open access journal that undergoes peer-review. Its main objective is to facilitate research that combines mathematical modelling, retrieval and analysis of infection disease data, and public health decision support. The journal actively encourages original research that improves this interface, as well as review articles that highlight innovative methodologies relevant to data collection, informatics, and policy making in the field of public health.
×
引用
GB/T 7714-2015
复制
MLA
复制
APA
复制
导出至
BibTeX EndNote RefMan NoteFirst NoteExpress
×
提示
您的信息不完整,为了账户安全,请先补充。
现在去补充
×
提示
您因"违规操作"
具体请查看互助需知
我知道了
×
提示
确定
请完成安全验证×
copy
已复制链接
快去分享给好友吧!
我知道了
右上角分享
点击右上角分享
0
联系我们:info@booksci.cn Book学术提供免费学术资源搜索服务,方便国内外学者检索中英文文献。致力于提供最便捷和优质的服务体验。 Copyright © 2023 布克学术 All rights reserved.
京ICP备2023020795号-1
ghs 京公网安备 11010802042870号
Book学术文献互助
Book学术文献互助群
群 号:604180095
Book学术官方微信