The flow cytometric analysis of depression focusing on modern-type depression and hikikomori: Exploring the link between subtypes of depression and immunological imbalances.

IF 8.9 2区 医学 Q1 Medicine
Dialogues in Clinical Neuroscience Pub Date : 2025-12-01 Epub Date: 2025-01-20 DOI:10.1080/19585969.2025.2452842
Keitaro Matsuo, Mitsuru Watanabe, Shogo Inamine, Toshio Matsushima, Sota Kyuragi, Yasuhiro Maeda, Ryoko Katsuki, Masahiro Ohgidani, Ryo Yamasaki, Noriko Isobe, Tomohiro Nakao, Takahiro A Kato
{"title":"The flow cytometric analysis of depression focusing on modern-type depression and hikikomori: Exploring the link between subtypes of depression and immunological imbalances.","authors":"Keitaro Matsuo, Mitsuru Watanabe, Shogo Inamine, Toshio Matsushima, Sota Kyuragi, Yasuhiro Maeda, Ryoko Katsuki, Masahiro Ohgidani, Ryo Yamasaki, Noriko Isobe, Tomohiro Nakao, Takahiro A Kato","doi":"10.1080/19585969.2025.2452842","DOIUrl":null,"url":null,"abstract":"<p><strong>Introduction: </strong>Depression includes different phenotypes. Modern-type depression (MTD) is a gateway disorder to pathological social withdrawal, known as hikikomori. Adverse childhood experiences (ACEs) are also important aetiologies of depression. Recently, immune imbalance has been proposed as a biological basis of depression. We hypothesised that peripheral immunological characteristics may be involved in subtyping of depression.</p><p><strong>Methods: </strong>21 patients with major depressive disorder (MDD) and 24 healthy controls (HC) were recruited. Peripheral blood mononuclear cells (PBMCs) were examined for surface antigens by flow cytometry. Participants were administered psychological scales such as Patient Health Questionnaire (PHQ)-9, Modern-Type Depression Trait Scale (TACS-22), Hikikomori Questionnaire (HQ-25), Child Abuse and Trauma Scale (CATS).</p><p><strong>Results: </strong>MDD group showed significantly higher percentage of B cells than HC group (<i>p</i> = 0.032). MDD group presented a negative correlation between: PHQ-9 and CD8 T effector memory cells (r= -0.639, <i>p</i> = 0.002), TACS-22 and monocytes (r= -0.459, <i>p</i> = 0.036), HQ-25 and NK T cells (r= -0.638, <i>p</i> = 0.004), CATS and Intermediate monocytes (r= -0.594, <i>p</i> = 0.009).</p><p><strong>Conclusions: </strong>MTD traits, hikikomori tendencies, and ACEs were correlated with specific characteristics of peripheral immune cells. Our results suggest that immune imbalance influences the diverse presentations of depression. Further validation is warranted by large-scale prospective studies.</p>","PeriodicalId":54343,"journal":{"name":"Dialogues in Clinical Neuroscience","volume":"27 1","pages":"13-25"},"PeriodicalIF":8.9000,"publicationDate":"2025-12-01","publicationTypes":"Journal Article","fieldsOfStudy":null,"isOpenAccess":false,"openAccessPdf":"https://www.ncbi.nlm.nih.gov/pmc/articles/PMC11748865/pdf/","citationCount":"0","resultStr":null,"platform":"Semanticscholar","paperid":null,"PeriodicalName":"Dialogues in Clinical Neuroscience","FirstCategoryId":"3","ListUrlMain":"https://doi.org/10.1080/19585969.2025.2452842","RegionNum":2,"RegionCategory":"医学","ArticlePicture":[],"TitleCN":null,"AbstractTextCN":null,"PMCID":null,"EPubDate":"2025/1/20 0:00:00","PubModel":"Epub","JCR":"Q1","JCRName":"Medicine","Score":null,"Total":0}
引用次数: 0

Abstract

Introduction: Depression includes different phenotypes. Modern-type depression (MTD) is a gateway disorder to pathological social withdrawal, known as hikikomori. Adverse childhood experiences (ACEs) are also important aetiologies of depression. Recently, immune imbalance has been proposed as a biological basis of depression. We hypothesised that peripheral immunological characteristics may be involved in subtyping of depression.

Methods: 21 patients with major depressive disorder (MDD) and 24 healthy controls (HC) were recruited. Peripheral blood mononuclear cells (PBMCs) were examined for surface antigens by flow cytometry. Participants were administered psychological scales such as Patient Health Questionnaire (PHQ)-9, Modern-Type Depression Trait Scale (TACS-22), Hikikomori Questionnaire (HQ-25), Child Abuse and Trauma Scale (CATS).

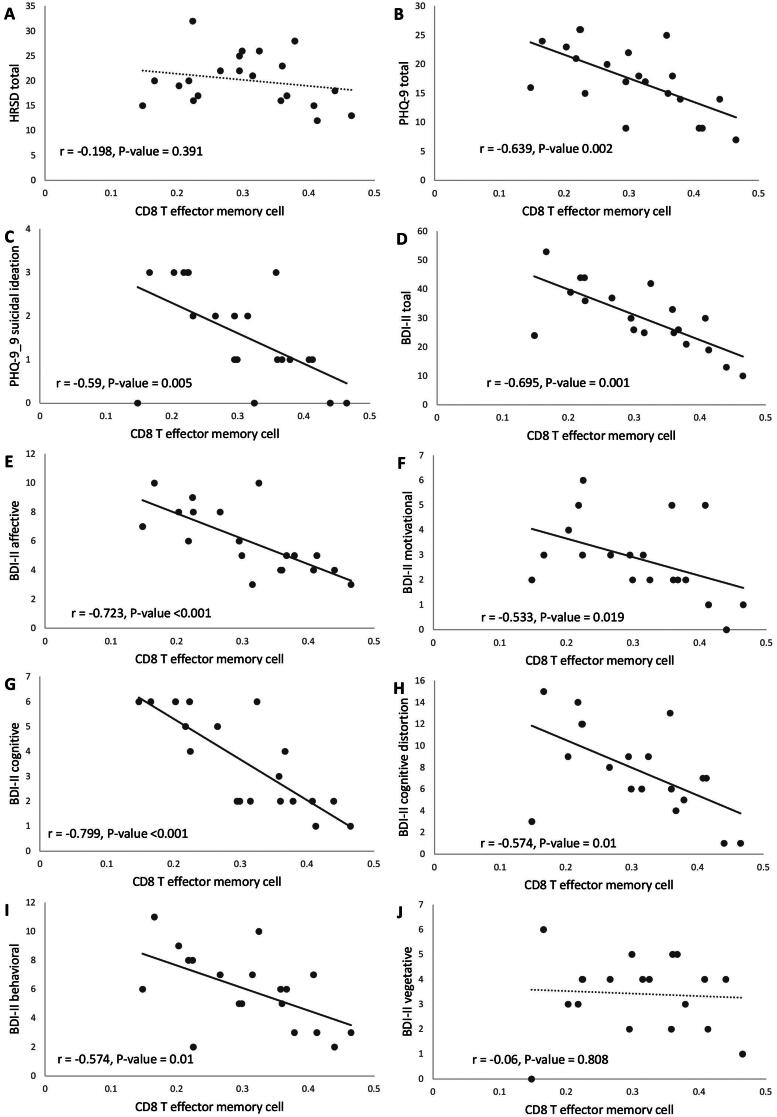
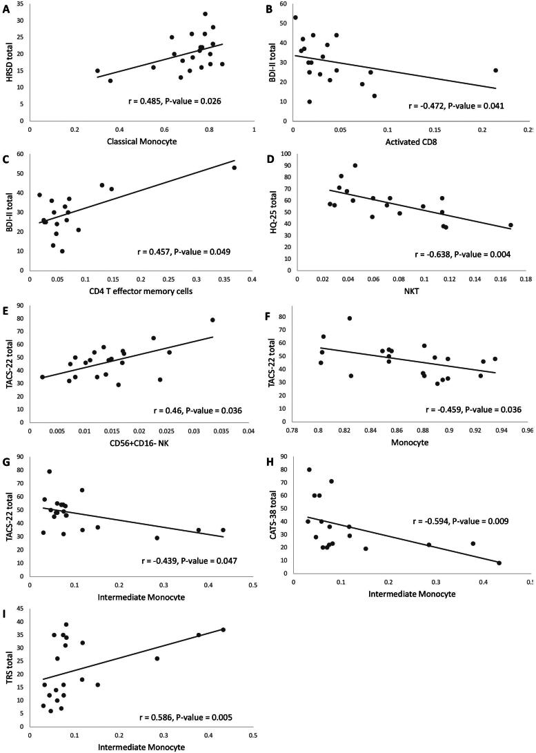
Results: MDD group showed significantly higher percentage of B cells than HC group (p = 0.032). MDD group presented a negative correlation between: PHQ-9 and CD8 T effector memory cells (r= -0.639, p = 0.002), TACS-22 and monocytes (r= -0.459, p = 0.036), HQ-25 and NK T cells (r= -0.638, p = 0.004), CATS and Intermediate monocytes (r= -0.594, p = 0.009).

Conclusions: MTD traits, hikikomori tendencies, and ACEs were correlated with specific characteristics of peripheral immune cells. Our results suggest that immune imbalance influences the diverse presentations of depression. Further validation is warranted by large-scale prospective studies.

Abstract Image

Abstract Image

抑郁症的流式细胞分析聚焦于现代型抑郁症和隐蔽青年:探索抑郁症亚型与免疫失衡之间的联系。
抑郁症包括不同的表型。现代型抑郁症(MTD)是病理性社会退缩的一种入口障碍,被称为“隐蔽青年”。不良童年经历(ace)也是抑郁症的重要病因。最近,免疫失衡被认为是抑郁症的生物学基础。我们假设外周免疫特征可能参与抑郁症的分型。方法:选取21例重度抑郁障碍(MDD)患者和24例健康对照(HC)。用流式细胞术检测外周血单个核细胞表面抗原。采用患者健康问卷(PHQ)-9、现代型抑郁特征量表(TACS-22)、隐蔽青年问卷(HQ-25)、儿童虐待与创伤量表(CATS)等心理量表对被试进行问卷调查。结果:MDD组B细胞百分率明显高于HC组(p = 0.032)。MDD组PHQ-9与CD8 T效应记忆细胞(r= -0.639, p = 0.002)、TACS-22与单核细胞(r= -0.459, p = 0.036)、HQ-25与NK T细胞(r= -0.638, p = 0.004)、CATS与中间单核细胞(r= -0.594, p = 0.009)呈负相关。结论:MTD特征、隐蔽青年倾向和ace与外周免疫细胞特异性相关。我们的研究结果表明免疫失衡影响抑郁症的多种表现。进一步的验证需要大规模的前瞻性研究。
本文章由计算机程序翻译,如有差异,请以英文原文为准。
求助全文
约1分钟内获得全文 求助全文
来源期刊
Dialogues in Clinical Neuroscience
Dialogues in Clinical Neuroscience Medicine-Psychiatry and Mental Health
CiteScore
19.30
自引率
1.20%
发文量
1
期刊介绍: Dialogues in Clinical Neuroscience (DCNS) endeavors to bridge the gap between clinical neuropsychiatry and the neurosciences by offering state-of-the-art information and original insights into pertinent clinical, biological, and therapeutic aspects. As an open access journal, DCNS ensures accessibility to its content for all interested parties. Each issue is curated to include expert reviews, original articles, and brief reports, carefully selected to offer a comprehensive understanding of the evolving landscape in clinical neuroscience. Join us in advancing knowledge and fostering dialogue in this dynamic field.
×
引用
GB/T 7714-2015
复制
MLA
复制
APA
复制
导出至
BibTeX EndNote RefMan NoteFirst NoteExpress
×
提示
您的信息不完整,为了账户安全,请先补充。
现在去补充
×
提示
您因"违规操作"
具体请查看互助需知
我知道了
×
提示
确定
请完成安全验证×
copy
已复制链接
快去分享给好友吧!
我知道了
右上角分享
点击右上角分享
0
联系我们:info@booksci.cn Book学术提供免费学术资源搜索服务,方便国内外学者检索中英文文献。致力于提供最便捷和优质的服务体验。 Copyright © 2023 布克学术 All rights reserved.
京ICP备2023020795号-1
ghs 京公网安备 11010802042870号
Book学术文献互助
Book学术文献互助群
群 号:604180095
Book学术官方微信