Impact of White Blood Cell Count After Percutaneous Coronary Intervention on Long-Term Prognosis in Patients with Unstable Angina Pectoris: A Single-Center Retrospective Observational Cohort Study.

IF 2.8 Q2 PERIPHERAL VASCULAR DISEASE
Vascular Health and Risk Management Pub Date : 2025-01-16 eCollection Date: 2025-01-01 DOI:10.2147/VHRM.S492059
Zhiyuan Zhang, Heyan Wang, Ruiyu Wang, Zeyu She, Xingyue Liang, Huiyi Liu, Xuemeng Kou, Shipeng Wang
{"title":"Impact of White Blood Cell Count After Percutaneous Coronary Intervention on Long-Term Prognosis in Patients with Unstable Angina Pectoris: A Single-Center Retrospective Observational Cohort Study.","authors":"Zhiyuan Zhang, Heyan Wang, Ruiyu Wang, Zeyu She, Xingyue Liang, Huiyi Liu, Xuemeng Kou, Shipeng Wang","doi":"10.2147/VHRM.S492059","DOIUrl":null,"url":null,"abstract":"<p><strong>Objective: </strong>An association between white blood cell count (WBC-C) before percutaneous coronary intervention (PCI) and prognosis has been established in patients undergoing PCI. However, the effect of WBC-C after PCI on the long-term prognosis of patients with unstable angina pectoris (UA) is unclear.</p><p><strong>Methods: </strong>A retrospective cohort study was conducted in 1811 consecutive patients with UA. The changes of WBC and subgroup counts before and in the early postoperative stages after PCI were observed by paired Wilcoxon signed-rank test. The Kaplan-Meier method and COX proportional regression model were used to evaluate the association between the incidence of 5-year endpoint events and post-PCI leukocytosis.</p><p><strong>Results: </strong>Leukocytosis and neutrocytosis within 24 hours after PCI were observed in majority of patients with UA, while lymphocyte count significantly decreased after PCI in those patients. There were no significant differences in 5-year all-cause mortality and major adverse cardiovascular and cerebrovascular events (MACCE) between patients in the post-PCI leukocytosis and the control group. However, the 5-year incidence of major adverse cardiovascular events (MACE) was significantly increased in the post-PCI leukocytosis group (p = 0.017, Log rank test). Leukocytosis after PCI was independently associated with the occurrence of MACE (hazard ratio: 1.36; 95% confidence interval: 1.06-1.75; p = 0.015).</p><p><strong>Conclusion: </strong>Peripheral WBC and neutrophil counts within 24 hours after PCI significantly increased in response to PCI in patients with UA, while lymphocyte count significantly decreased after PCI in those patients. The post-PCI leukocytosis offered predictive value for an increased risk of MACE for up to 5 years in patients with UA.</p>","PeriodicalId":23597,"journal":{"name":"Vascular Health and Risk Management","volume":"21 ","pages":"25-37"},"PeriodicalIF":2.8000,"publicationDate":"2025-01-16","publicationTypes":"Journal Article","fieldsOfStudy":null,"isOpenAccess":false,"openAccessPdf":"https://www.ncbi.nlm.nih.gov/pmc/articles/PMC11745057/pdf/","citationCount":"0","resultStr":null,"platform":"Semanticscholar","paperid":null,"PeriodicalName":"Vascular Health and Risk Management","FirstCategoryId":"1085","ListUrlMain":"https://doi.org/10.2147/VHRM.S492059","RegionNum":0,"RegionCategory":null,"ArticlePicture":[],"TitleCN":null,"AbstractTextCN":null,"PMCID":null,"EPubDate":"2025/1/1 0:00:00","PubModel":"eCollection","JCR":"Q2","JCRName":"PERIPHERAL VASCULAR DISEASE","Score":null,"Total":0}
引用次数: 0

Abstract

Objective: An association between white blood cell count (WBC-C) before percutaneous coronary intervention (PCI) and prognosis has been established in patients undergoing PCI. However, the effect of WBC-C after PCI on the long-term prognosis of patients with unstable angina pectoris (UA) is unclear.

Methods: A retrospective cohort study was conducted in 1811 consecutive patients with UA. The changes of WBC and subgroup counts before and in the early postoperative stages after PCI were observed by paired Wilcoxon signed-rank test. The Kaplan-Meier method and COX proportional regression model were used to evaluate the association between the incidence of 5-year endpoint events and post-PCI leukocytosis.

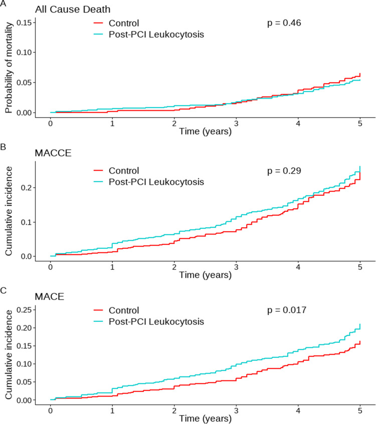
Results: Leukocytosis and neutrocytosis within 24 hours after PCI were observed in majority of patients with UA, while lymphocyte count significantly decreased after PCI in those patients. There were no significant differences in 5-year all-cause mortality and major adverse cardiovascular and cerebrovascular events (MACCE) between patients in the post-PCI leukocytosis and the control group. However, the 5-year incidence of major adverse cardiovascular events (MACE) was significantly increased in the post-PCI leukocytosis group (p = 0.017, Log rank test). Leukocytosis after PCI was independently associated with the occurrence of MACE (hazard ratio: 1.36; 95% confidence interval: 1.06-1.75; p = 0.015).

Conclusion: Peripheral WBC and neutrophil counts within 24 hours after PCI significantly increased in response to PCI in patients with UA, while lymphocyte count significantly decreased after PCI in those patients. The post-PCI leukocytosis offered predictive value for an increased risk of MACE for up to 5 years in patients with UA.

Abstract Image

Abstract Image

Abstract Image

经皮冠状动脉介入治疗后白细胞计数对不稳定心绞痛患者长期预后的影响:一项单中心回顾性观察队列研究
目的:探讨经皮冠状动脉介入治疗(PCI)患者术前白细胞计数(WBC-C)与预后的关系。然而,PCI术后白细胞计数对不稳定型心绞痛(UA)患者长期预后的影响尚不清楚。方法:对1811例连续UA患者进行回顾性队列研究。采用配对Wilcoxon sign -rank检验观察PCI术前及术后早期WBC及亚组计数的变化。采用Kaplan-Meier法和COX比例回归模型评价5年终点事件发生率与pci术后白细胞增多的关系。结果:多数UA患者PCI术后24小时内出现白细胞增多和中性粒细胞增多,且PCI后淋巴细胞计数明显下降。pci后白细胞增多患者与对照组的5年全因死亡率和主要心脑血管不良事件(MACCE)无显著差异。然而,pci后白细胞增多组5年主要不良心血管事件(MACE)发生率显著升高(p = 0.017, Log rank检验)。PCI术后白细胞增多与MACE的发生独立相关(风险比:1.36;95%置信区间:1.06-1.75;P = 0.015)。结论:UA患者PCI治疗后24小时内外周血白细胞和中性粒细胞计数明显升高,而淋巴细胞计数明显降低。pci后白细胞计数对UA患者5年内MACE风险的增加提供了预测价值。
本文章由计算机程序翻译,如有差异,请以英文原文为准。
求助全文
约1分钟内获得全文 求助全文
来源期刊
Vascular Health and Risk Management
Vascular Health and Risk Management PERIPHERAL VASCULAR DISEASE-
CiteScore
4.20
自引率
3.40%
发文量
109
审稿时长
16 weeks
期刊介绍: An international, peer-reviewed journal of therapeutics and risk management, focusing on concise rapid reporting of clinical studies on the processes involved in the maintenance of vascular health; the monitoring, prevention, and treatment of vascular disease and its sequelae; and the involvement of metabolic disorders, particularly diabetes. In addition, the journal will also seek to define drug usage in terms of ultimate uptake and acceptance by the patient and healthcare professional.
×
引用
GB/T 7714-2015
复制
MLA
复制
APA
复制
导出至
BibTeX EndNote RefMan NoteFirst NoteExpress
×
提示
您的信息不完整,为了账户安全,请先补充。
现在去补充
×
提示
您因"违规操作"
具体请查看互助需知
我知道了
×
提示
确定
请完成安全验证×
copy
已复制链接
快去分享给好友吧!
我知道了
右上角分享
点击右上角分享
0
联系我们:info@booksci.cn Book学术提供免费学术资源搜索服务,方便国内外学者检索中英文文献。致力于提供最便捷和优质的服务体验。 Copyright © 2023 布克学术 All rights reserved.
京ICP备2023020795号-1
ghs 京公网安备 11010802042870号
Book学术文献互助
Book学术文献互助群
群 号:604180095
Book学术官方微信