Application of efgartigimod in Chinese patients with myasthenia gravis: a single-center real-world prospective study.

IF 4.1 2区 医学 Q1 CLINICAL NEUROLOGY
Therapeutic Advances in Neurological Disorders Pub Date : 2025-01-18 eCollection Date: 2025-01-01 DOI:10.1177/17562864241311127
Geke Zhu, Han Zhou, Wanying Wang, Yongbo Ma, Xiangtao Nie, Wenjing Qi, Lei Hao, Xiuming Guo
{"title":"Application of efgartigimod in Chinese patients with myasthenia gravis: a single-center real-world prospective study.","authors":"Geke Zhu, Han Zhou, Wanying Wang, Yongbo Ma, Xiangtao Nie, Wenjing Qi, Lei Hao, Xiuming Guo","doi":"10.1177/17562864241311127","DOIUrl":null,"url":null,"abstract":"<p><strong>Background: </strong>China has a large number of myasthenia gravis (MG) patients, creating an urgent need for rapid and tolerable treatment options. As the first-approved Fc receptor antagonist, efgartigimod has bright prospects for treating MG. However, real-world evidence on its application within the Chinese MG population are limited.</p><p><strong>Objective: </strong>This study aims to evaluate the rapid efficacy and safety of efgartigimod in Chinese MG population.</p><p><strong>Design: </strong>This single-center prospective study enrolled Chinese MG patients aged 18 and older who were treated with efgartigimod, classified as Myasthenia Gravis Foundation of America I-IV, with a baseline Myasthenia Gravis Activities of Daily Living (MG-ADL) score of at least 4.</p><p><strong>Methods: </strong>Patients received efgartigimod at a dose of 10 mg/kg infused once weekly for 4 weeks. During the treatment, the corticosteroids dosage could be adjusted as appropriate or the non-steroidal immunosuppressive therapies (NSISTs) added. Prior to each infusion, patients' MG-ADL scores, IgG levels, and routine laboratory tests were evaluated, while also recording the prednisone tapering and any adverse events occurring during the treatment.</p><p><strong>Results: </strong>Twenty five Chinese MG patients were enrolled between November 2023 and June 2024, including 3 with ocular MG (OMG) and 22 with generalized MG (GMG). During the 8-week follow-up, in GMG patients, whether positive for acetylcholine receptor (AChR) or muscle-specific tyrosine kinase (MuSK) antibodies, the overall efficacy was significant. Within one treatment cycle, 18 (82%) patients showed a reduction of at least 2 points in MG-ADL scores and sustained for at least 4 weeks, and 6 (27%) attained minimal symptom expression (MSE) and sustained for at least 4 weeks. Only 1 patient experienced exacerbation. Among OMG patients, 1 achieved MSE within the treatment cycle, while 2 showed minor improvements. Patients who added tacrolimus concurrently with efgartigimod did not achieve better improvement in MG-ADL scores compared to others. The average reduction in prednisone dosage was 27.4%. Only one patient experienced transient vomiting and diarrhea, with no serious adverse reactions reported.</p><p><strong>Conclusion: </strong>This study confirmed the short-term efficacy and safety of efgartigimod in Chinese MG patients. However, in clinical practice, careful consideration is needed regarding its application in OMG and whether to add NSISTs regimen during the treatment. Efgartigimod could potentially serve as an alternative to long-term corticosteroids therapy.</p>","PeriodicalId":22980,"journal":{"name":"Therapeutic Advances in Neurological Disorders","volume":"18 ","pages":"17562864241311127"},"PeriodicalIF":4.1000,"publicationDate":"2025-01-18","publicationTypes":"Journal Article","fieldsOfStudy":null,"isOpenAccess":false,"openAccessPdf":"https://www.ncbi.nlm.nih.gov/pmc/articles/PMC11748066/pdf/","citationCount":"0","resultStr":null,"platform":"Semanticscholar","paperid":null,"PeriodicalName":"Therapeutic Advances in Neurological Disorders","FirstCategoryId":"3","ListUrlMain":"https://doi.org/10.1177/17562864241311127","RegionNum":2,"RegionCategory":"医学","ArticlePicture":[],"TitleCN":null,"AbstractTextCN":null,"PMCID":null,"EPubDate":"2025/1/1 0:00:00","PubModel":"eCollection","JCR":"Q1","JCRName":"CLINICAL NEUROLOGY","Score":null,"Total":0}
引用次数: 0

Abstract

Background: China has a large number of myasthenia gravis (MG) patients, creating an urgent need for rapid and tolerable treatment options. As the first-approved Fc receptor antagonist, efgartigimod has bright prospects for treating MG. However, real-world evidence on its application within the Chinese MG population are limited.

Objective: This study aims to evaluate the rapid efficacy and safety of efgartigimod in Chinese MG population.

Design: This single-center prospective study enrolled Chinese MG patients aged 18 and older who were treated with efgartigimod, classified as Myasthenia Gravis Foundation of America I-IV, with a baseline Myasthenia Gravis Activities of Daily Living (MG-ADL) score of at least 4.

Methods: Patients received efgartigimod at a dose of 10 mg/kg infused once weekly for 4 weeks. During the treatment, the corticosteroids dosage could be adjusted as appropriate or the non-steroidal immunosuppressive therapies (NSISTs) added. Prior to each infusion, patients' MG-ADL scores, IgG levels, and routine laboratory tests were evaluated, while also recording the prednisone tapering and any adverse events occurring during the treatment.

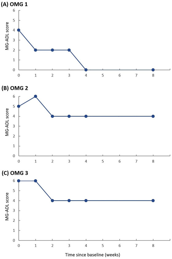
Results: Twenty five Chinese MG patients were enrolled between November 2023 and June 2024, including 3 with ocular MG (OMG) and 22 with generalized MG (GMG). During the 8-week follow-up, in GMG patients, whether positive for acetylcholine receptor (AChR) or muscle-specific tyrosine kinase (MuSK) antibodies, the overall efficacy was significant. Within one treatment cycle, 18 (82%) patients showed a reduction of at least 2 points in MG-ADL scores and sustained for at least 4 weeks, and 6 (27%) attained minimal symptom expression (MSE) and sustained for at least 4 weeks. Only 1 patient experienced exacerbation. Among OMG patients, 1 achieved MSE within the treatment cycle, while 2 showed minor improvements. Patients who added tacrolimus concurrently with efgartigimod did not achieve better improvement in MG-ADL scores compared to others. The average reduction in prednisone dosage was 27.4%. Only one patient experienced transient vomiting and diarrhea, with no serious adverse reactions reported.

Conclusion: This study confirmed the short-term efficacy and safety of efgartigimod in Chinese MG patients. However, in clinical practice, careful consideration is needed regarding its application in OMG and whether to add NSISTs regimen during the treatment. Efgartigimod could potentially serve as an alternative to long-term corticosteroids therapy.

Abstract Image

Abstract Image

Abstract Image

艾夫加替莫德在中国重症肌无力患者中的应用:一项单中心现实世界前瞻性研究。
背景:中国有大量的重症肌无力(MG)患者,迫切需要快速和可耐受的治疗方案。艾加替吉莫作为首个获批的Fc受体拮抗剂,在治疗MG方面具有广阔的应用前景。然而,关于其在中国MG人群中的应用的真实证据有限。目的:评价艾加替莫德在中国MG人群中的快速疗效和安全性。设计:本单中心前瞻性研究纳入18岁及以上的中国MG患者,接受艾夫加替莫德治疗,归类为美国重症肌无力基金会I-IV级,基线重症肌无力日常生活活动(MG- adl)评分至少为4分。方法:患者给予艾夫加替莫德10 mg/kg剂量,每周输注1次,连续4周。在治疗过程中,可酌情调整皮质类固醇剂量或添加非甾体免疫抑制疗法(nsts)。每次输注前,评估患者的MG-ADL评分、IgG水平和常规实验室检查,同时记录泼尼松逐渐减少的情况和治疗过程中发生的任何不良事件。结果:在2023年11月至2024年6月期间纳入了25例中国MG患者,其中3例为眼性MG (OMG), 22例为全身性MG (GMG)。在8周的随访中,无论是乙酰胆碱受体(AChR)阳性还是肌肉特异性酪氨酸激酶(MuSK)抗体阳性,GMG患者的总体疗效都是显著的。在一个治疗周期内,18例(82%)患者MG-ADL评分降低至少2分并持续至少4周,6例(27%)患者达到最小症状表达(MSE)并持续至少4周。仅有1例患者出现病情加重。在OMG患者中,1例在治疗周期内达到MSE, 2例有轻微改善。与其他患者相比,他克莫司与埃加替吉莫同时服用的患者在MG-ADL评分方面并没有取得更好的改善。泼尼松剂量平均减少27.4%。仅有1例患者出现短暂性呕吐和腹泻,无严重不良反应报道。结论:本研究证实了艾加替莫德对中国MG患者的短期疗效和安全性。但在临床实践中,对于其在OMG中的应用,以及在治疗过程中是否加入nsts方案,需要慎重考虑。依加替莫可能作为长期皮质类固醇治疗的替代方案。
本文章由计算机程序翻译,如有差异,请以英文原文为准。
求助全文
约1分钟内获得全文 求助全文
来源期刊
CiteScore
8.30
自引率
1.70%
发文量
62
审稿时长
15 weeks
期刊介绍: Therapeutic Advances in Neurological Disorders is a peer-reviewed, open access journal delivering the highest quality articles, reviews, and scholarly comment on pioneering efforts and innovative studies across all areas of neurology. The journal has a strong clinical and pharmacological focus and is aimed at clinicians and researchers in neurology, providing a forum in print and online for publishing the highest quality articles in this area.
×
引用
GB/T 7714-2015
复制
MLA
复制
APA
复制
导出至
BibTeX EndNote RefMan NoteFirst NoteExpress
×
提示
您的信息不完整,为了账户安全,请先补充。
现在去补充
×
提示
您因"违规操作"
具体请查看互助需知
我知道了
×
提示
确定
请完成安全验证×
copy
已复制链接
快去分享给好友吧!
我知道了
右上角分享
点击右上角分享
0
联系我们:info@booksci.cn Book学术提供免费学术资源搜索服务,方便国内外学者检索中英文文献。致力于提供最便捷和优质的服务体验。 Copyright © 2023 布克学术 All rights reserved.
京ICP备2023020795号-1
ghs 京公网安备 11010802042870号
Book学术文献互助
Book学术文献互助群
群 号:604180095
Book学术官方微信