Outcomes following immunosuppressive therapy withdrawal after complete renal response in proliferative lupus nephritis.

IF 3.5 2区 医学 Q1 RHEUMATOLOGY
Paola Vidal-Montal, Javier Narváez, Xavier Fulladosa, Francesca Mitjavila, Olga Capdevila, Joan Torras, Montserrat Gomà, Joan M Nolla
{"title":"Outcomes following immunosuppressive therapy withdrawal after complete renal response in proliferative lupus nephritis.","authors":"Paola Vidal-Montal, Javier Narváez, Xavier Fulladosa, Francesca Mitjavila, Olga Capdevila, Joan Torras, Montserrat Gomà, Joan M Nolla","doi":"10.1136/lupus-2024-001375","DOIUrl":null,"url":null,"abstract":"<p><strong>Objective: </strong>To investigate the rate and factors influencing renal relapse (RR) in proliferative lupus nephritis (LN) patients who discontinued immunosuppressive therapy (IST), as well as the long-term renal outcomes following RR.</p><p><strong>Methods: </strong>Retrospective, single-centre study of biopsy-confirmed LN patients who had received IST for at least 36 months and maintained complete renal response (CRR) for a minimum of 12 months before therapy discontinuation.</p><p><strong>Results: </strong>Of a total of 106 patients meeting the inclusion criteria, 76 with proliferative classes were selected for analysis. The median duration of IST prior to discontinuation was 83.5 months (IQR 25th-75th: 53.5-120). Relapse occurred in 29 patients (38.2%) at a median of 26.5 months (IQR 25th-75th: 9.25-63.5 months) following IST withdrawal. Relapses were classified as severe in 9 cases (31%) and moderate in 16 cases (55.2%). Renal rebiopsy was performed in 25 of these patients (86.2%), with 80% retaining the same histological class.Discontinuation of IST at ≤34 years of age significantly increased the risk of RR (adjusted HR: 3.5). In contrast, an IST duration exceeding 48 months prior to discontinuation (HR: 0.26), maintaining CRR for at least 48 months (HR: 0.32), achieving complete remission per DORIS (definition of remission in systemic lupus erythematosus) criteria at IST withdrawal (HR: 0.21) and gradual IST tapering (HR: 0.09) were associated with a reduced risk of RR.Following reintroduction of IST, 20 out of 29 patients (68.9%) achieved CRR, 5 (17.2%) achieved a partial response and 4 (13.8%) did not respond; of these, 3 patients (10.3%) progressed to end-stage renal disease.</p><p><strong>Conclusions: </strong>Successful withdrawal of IST is possible in carefully selected patients with proliferative LN. If an RR occurs, most patients are able to remain in remission after resuming IST.</p>","PeriodicalId":18126,"journal":{"name":"Lupus Science & Medicine","volume":"12 1","pages":""},"PeriodicalIF":3.5000,"publicationDate":"2025-01-19","publicationTypes":"Journal Article","fieldsOfStudy":null,"isOpenAccess":false,"openAccessPdf":"https://www.ncbi.nlm.nih.gov/pmc/articles/PMC11751776/pdf/","citationCount":"0","resultStr":null,"platform":"Semanticscholar","paperid":null,"PeriodicalName":"Lupus Science & Medicine","FirstCategoryId":"3","ListUrlMain":"https://doi.org/10.1136/lupus-2024-001375","RegionNum":2,"RegionCategory":"医学","ArticlePicture":[],"TitleCN":null,"AbstractTextCN":null,"PMCID":null,"EPubDate":"","PubModel":"","JCR":"Q1","JCRName":"RHEUMATOLOGY","Score":null,"Total":0}
引用次数: 0

Abstract

Objective: To investigate the rate and factors influencing renal relapse (RR) in proliferative lupus nephritis (LN) patients who discontinued immunosuppressive therapy (IST), as well as the long-term renal outcomes following RR.

Methods: Retrospective, single-centre study of biopsy-confirmed LN patients who had received IST for at least 36 months and maintained complete renal response (CRR) for a minimum of 12 months before therapy discontinuation.

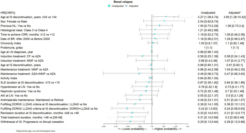
Results: Of a total of 106 patients meeting the inclusion criteria, 76 with proliferative classes were selected for analysis. The median duration of IST prior to discontinuation was 83.5 months (IQR 25th-75th: 53.5-120). Relapse occurred in 29 patients (38.2%) at a median of 26.5 months (IQR 25th-75th: 9.25-63.5 months) following IST withdrawal. Relapses were classified as severe in 9 cases (31%) and moderate in 16 cases (55.2%). Renal rebiopsy was performed in 25 of these patients (86.2%), with 80% retaining the same histological class.Discontinuation of IST at ≤34 years of age significantly increased the risk of RR (adjusted HR: 3.5). In contrast, an IST duration exceeding 48 months prior to discontinuation (HR: 0.26), maintaining CRR for at least 48 months (HR: 0.32), achieving complete remission per DORIS (definition of remission in systemic lupus erythematosus) criteria at IST withdrawal (HR: 0.21) and gradual IST tapering (HR: 0.09) were associated with a reduced risk of RR.Following reintroduction of IST, 20 out of 29 patients (68.9%) achieved CRR, 5 (17.2%) achieved a partial response and 4 (13.8%) did not respond; of these, 3 patients (10.3%) progressed to end-stage renal disease.

Conclusions: Successful withdrawal of IST is possible in carefully selected patients with proliferative LN. If an RR occurs, most patients are able to remain in remission after resuming IST.

Abstract Image

增殖性狼疮性肾炎完全肾反应后停止免疫抑制治疗的结果。
目的:探讨停止免疫抑制治疗(IST)的增殖性狼疮性肾炎(LN)患者肾脏复发(RR)的发生率和影响因素,以及RR后的长期肾脏预后。方法:回顾性、单中心研究活检证实的LN患者,这些患者在停药前接受IST治疗至少36个月,并保持完全肾反应(CRR)至少12个月。结果:在106例符合纳入标准的患者中,选择了76例具有增生性分类的患者进行分析。停药前IST的中位持续时间为83.5个月(IQR 25 -75: 53.5-120)。29例患者(38.2%)在停药后中位26.5个月(IQR 25- 75: 9.25-63.5个月)复发。重度复发9例(31%),中度复发16例(55.2%)。其中25例(86.2%)患者进行了肾脏再活检,80%的患者保持了相同的组织学分类。≤34岁停IST显著增加RR风险(调整后HR: 3.5)。相比之下,停药前持续时间超过48个月(HR: 0.26)、CRR维持至少48个月(HR: 0.32)、停药时达到DORIS(系统性红斑狼疮缓解的定义)标准的完全缓解(HR: 0.21)和IST逐渐减少(HR: 0.09)与RR风险降低相关。重新引入IST后,29例患者中有20例(68.9%)达到了CRR, 5例(17.2%)达到了部分缓解,4例(13.8%)没有缓解;其中,3例(10.3%)进展为终末期肾病。结论:在精心挑选的增殖性LN患者中,成功退出IST是可能的。如果发生RR,大多数患者在恢复IST治疗后仍能保持缓解。
本文章由计算机程序翻译,如有差异,请以英文原文为准。
求助全文
约1分钟内获得全文 求助全文
来源期刊
Lupus Science & Medicine
Lupus Science & Medicine RHEUMATOLOGY-
CiteScore
5.30
自引率
7.70%
发文量
88
审稿时长
15 weeks
期刊介绍: Lupus Science & Medicine is a global, peer reviewed, open access online journal that provides a central point for publication of basic, clinical, translational, and epidemiological studies of all aspects of lupus and related diseases. It is the first lupus-specific open access journal in the world and was developed in response to the need for a barrier-free forum for publication of groundbreaking studies in lupus. The journal publishes research on lupus from fields including, but not limited to: rheumatology, dermatology, nephrology, immunology, pediatrics, cardiology, hepatology, pulmonology, obstetrics and gynecology, and psychiatry.
×
引用
GB/T 7714-2015
复制
MLA
复制
APA
复制
导出至
BibTeX EndNote RefMan NoteFirst NoteExpress
×
提示
您的信息不完整,为了账户安全,请先补充。
现在去补充
×
提示
您因"违规操作"
具体请查看互助需知
我知道了
×
提示
确定
请完成安全验证×
copy
已复制链接
快去分享给好友吧!
我知道了
右上角分享
点击右上角分享
0
联系我们:info@booksci.cn Book学术提供免费学术资源搜索服务,方便国内外学者检索中英文文献。致力于提供最便捷和优质的服务体验。 Copyright © 2023 布克学术 All rights reserved.
京ICP备2023020795号-1
ghs 京公网安备 11010802042870号
Book学术文献互助
Book学术文献互助群
群 号:604180095
Book学术官方微信