Significant abundance of bacterial flagellin and expression of its surface localized receptor toll-like receptor 5 and cytokine interleukin-22 in South African infants with poor oral rotavirus vaccine take.

IF 4 3区 医学 Q1 GASTROENTEROLOGY & HEPATOLOGY
Nontlantla J Haindongo, Mapaseka Seheri, Cliff A Magwira
{"title":"Significant abundance of bacterial flagellin and expression of its surface localized receptor toll-like receptor 5 and cytokine interleukin-22 in South African infants with poor oral rotavirus vaccine take.","authors":"Nontlantla J Haindongo, Mapaseka Seheri, Cliff A Magwira","doi":"10.1186/s13099-024-00672-2","DOIUrl":null,"url":null,"abstract":"<p><p>Bacterial flagellin, a potent intestinal innate immune activator, prevents murine rotavirus (RV) infection independent of adaptive immunity and interferons. The flagellin-induced immunity is mediated by Toll-like receptor (TLR5) and Nod-like receptor C4 (NLRC4), which elicit the production of interleukins 22 (IL-22) and IL-18, respectively. Here, we assessed whether a high abundance of flagellin at the time of vaccination would negatively affect the oral RV vaccine take. Fecal samples were collected from infants a week after first dose of Rotarix vaccination to establish vaccine shedders (n = 50) and non-shedders (n = 44). The abundance of flagellin and expression of flagellin-encoding fliC, TLR5 and NLRC4, IL-22 and IL-18 genes was determined by qPCR. There were no differences in the abundance of flagellin between vaccine shedders and non-shedders (p = 0.15). However, the expression of FliC was increased 7.5-fold in non-shedders versus shedders (p = 0.001). Similarly, TLR5 (p = 0.045), and not NLRC4 (p = 0.507,) was significantly expressed in non-shedders versus shedders. The expression of IL-22 (p = 0.054), and not IL-18 dependent NLRC4 (p = 0.650), was increased 3.4-fold in non-shedders versus shedders. Collectively, our observations suggest a possible negative impact of the abundance of viable flagellated bacteria at the time of vaccination on the replication and therefore the performance of RV vaccines.</p>","PeriodicalId":12833,"journal":{"name":"Gut Pathogens","volume":"17 1","pages":"3"},"PeriodicalIF":4.0000,"publicationDate":"2025-01-17","publicationTypes":"Journal Article","fieldsOfStudy":null,"isOpenAccess":false,"openAccessPdf":"https://www.ncbi.nlm.nih.gov/pmc/articles/PMC11740523/pdf/","citationCount":"0","resultStr":null,"platform":"Semanticscholar","paperid":null,"PeriodicalName":"Gut Pathogens","FirstCategoryId":"3","ListUrlMain":"https://doi.org/10.1186/s13099-024-00672-2","RegionNum":3,"RegionCategory":"医学","ArticlePicture":[],"TitleCN":null,"AbstractTextCN":null,"PMCID":null,"EPubDate":"","PubModel":"","JCR":"Q1","JCRName":"GASTROENTEROLOGY & HEPATOLOGY","Score":null,"Total":0}
引用次数: 0

Abstract

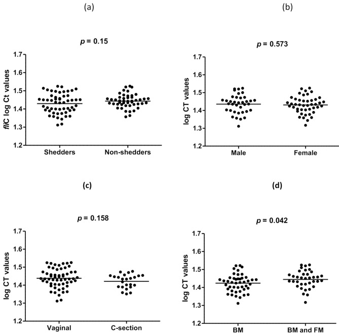
Bacterial flagellin, a potent intestinal innate immune activator, prevents murine rotavirus (RV) infection independent of adaptive immunity and interferons. The flagellin-induced immunity is mediated by Toll-like receptor (TLR5) and Nod-like receptor C4 (NLRC4), which elicit the production of interleukins 22 (IL-22) and IL-18, respectively. Here, we assessed whether a high abundance of flagellin at the time of vaccination would negatively affect the oral RV vaccine take. Fecal samples were collected from infants a week after first dose of Rotarix vaccination to establish vaccine shedders (n = 50) and non-shedders (n = 44). The abundance of flagellin and expression of flagellin-encoding fliC, TLR5 and NLRC4, IL-22 and IL-18 genes was determined by qPCR. There were no differences in the abundance of flagellin between vaccine shedders and non-shedders (p = 0.15). However, the expression of FliC was increased 7.5-fold in non-shedders versus shedders (p = 0.001). Similarly, TLR5 (p = 0.045), and not NLRC4 (p = 0.507,) was significantly expressed in non-shedders versus shedders. The expression of IL-22 (p = 0.054), and not IL-18 dependent NLRC4 (p = 0.650), was increased 3.4-fold in non-shedders versus shedders. Collectively, our observations suggest a possible negative impact of the abundance of viable flagellated bacteria at the time of vaccination on the replication and therefore the performance of RV vaccines.

Abstract Image

Abstract Image

Abstract Image

在口服轮状病毒疫苗接种不良的南非婴儿中,细菌鞭毛蛋白及其表面局部受体toll样受体5和细胞因子白介素-22的表达显著丰富。
细菌鞭毛蛋白是一种有效的肠道先天免疫激活剂,可预防小鼠轮状病毒(RV)感染,不依赖于适应性免疫和干扰素。鞭毛蛋白诱导的免疫是由toll样受体(TLR5)和nod样受体C4 (NLRC4)介导的,它们分别诱导白细胞介素22 (IL-22)和IL-18的产生。在这里,我们评估了在接种疫苗时高含量的鞭毛蛋白是否会对口服RV疫苗的服用产生负面影响。首次接种Rotarix疫苗一周后收集婴儿粪便样本,建立疫苗脱落者(n = 50)和非脱落者(n = 44)。采用qPCR检测鞭毛蛋白的丰度及鞭毛蛋白编码fliC、TLR5和NLRC4、IL-22和IL-18基因的表达。鞭毛蛋白丰度在疫苗脱落者和非脱落者之间没有差异(p = 0.15)。然而,非脱毛者与脱毛者相比,FliC的表达增加了7.5倍(p = 0.001)。同样,TLR5 (p = 0.045)和NLRC4 (p = 0.507)在非脱毛者和脱毛者中显著表达。IL-22 (p = 0.054)和不依赖IL-18的NLRC4 (p = 0.650)的表达在非脱毛者中比脱毛者增加了3.4倍。总的来说,我们的观察结果表明,接种疫苗时活鞭毛菌的丰度可能对RV疫苗的复制产生负面影响,从而影响疫苗的性能。
本文章由计算机程序翻译,如有差异,请以英文原文为准。
求助全文
约1分钟内获得全文 求助全文
来源期刊
Gut Pathogens
Gut Pathogens GASTROENTEROLOGY & HEPATOLOGY-MICROBIOLOGY
CiteScore
7.70
自引率
2.40%
发文量
43
期刊介绍: Gut Pathogens is a fast publishing, inclusive and prominent international journal which recognizes the need for a publishing platform uniquely tailored to reflect the full breadth of research in the biology and medicine of pathogens, commensals and functional microbiota of the gut. The journal publishes basic, clinical and cutting-edge research on all aspects of the above mentioned organisms including probiotic bacteria and yeasts and their products. The scope also covers the related ecology, molecular genetics, physiology and epidemiology of these microbes. The journal actively invites timely reports on the novel aspects of genomics, metagenomics, microbiota profiling and systems biology. Gut Pathogens will also consider, at the discretion of the editors, descriptive studies identifying a new genome sequence of a gut microbe or a series of related microbes (such as those obtained from new hosts, niches, settings, outbreaks and epidemics) and those obtained from single or multiple hosts at one or different time points (chronological evolution).
×
引用
GB/T 7714-2015
复制
MLA
复制
APA
复制
导出至
BibTeX EndNote RefMan NoteFirst NoteExpress
×
提示
您的信息不完整,为了账户安全,请先补充。
现在去补充
×
提示
您因"违规操作"
具体请查看互助需知
我知道了
×
提示
确定
请完成安全验证×
copy
已复制链接
快去分享给好友吧!
我知道了
右上角分享
点击右上角分享
0
联系我们:info@booksci.cn Book学术提供免费学术资源搜索服务,方便国内外学者检索中英文文献。致力于提供最便捷和优质的服务体验。 Copyright © 2023 布克学术 All rights reserved.
京ICP备2023020795号-1
ghs 京公网安备 11010802042870号
Book学术文献互助
Book学术文献互助群
群 号:604180095
Book学术官方微信