Community assembly of gut microbiomes in yolk sac fry of Atlantic salmon: host genetics, environmental microbiomes, and ecological processes.

IF 3.2 3区 生物学 Q2 MICROBIOLOGY
Amalie Johanne Horn Mathisen, Sol Gómez de la Torre Canny, Madeleine S Gundersen, Mari-Ann Østensen, Yngvar Olsen, Olav Vadstein, Ingrid Bakke
{"title":"Community assembly of gut microbiomes in yolk sac fry of Atlantic salmon: host genetics, environmental microbiomes, and ecological processes.","authors":"Amalie Johanne Horn Mathisen, Sol Gómez de la Torre Canny, Madeleine S Gundersen, Mari-Ann Østensen, Yngvar Olsen, Olav Vadstein, Ingrid Bakke","doi":"10.1093/femsec/fiaf007","DOIUrl":null,"url":null,"abstract":"<p><p>In this study, we investigated the influence of host genetics and environmental microbiomes on the early gut microbiome of Atlantic salmon. We aimed at rearing the fish in either r- or K-selected environments, where the r-selected environment would be expected to be dominated by fast-growing opportunistic bacteria and thus represent more detrimental microbial environment than the K-selected water. Eggs from both wild and aquaculture strains of Atlantic salmon were hatched under germ-free conditions. One week after hatching, rearing flasks were inoculated with either r- or K-selected water communities. Three weeks after hatching, no effect of host strain on the gut microbiomes were observed. r-selection was found to take place in the rearing water of all flasks, including in the flasks added K-selected water. Still, the water microbiomes differed significantly between the flasks that had been added r- and K-selected water (Add-r and Add-K flasks, respectively). Lower alpha diversity and higher abundances of Pseudomonas were observed for the Add-K flasks, indicating a potential unfavorable microbial environment. Selection in the host structured the gut microbiomes, but an extensive interindividual variation was explained by stochastic processes in community assembly. The gut microbiomes also differed significantly between the Add-r and Add-K flasks. In Add-K flasks, they had higher similarities to the rearing water microbiomes, and the assembly of gut communities was less influenced by stochastic processes. The fish in Add-K flasks had lower growth rates than in Add-r flasks, probably as a result of negative host-microbe interactions. These findings highlight the importance of, but also the challenges related to, managing the microbial environment when cultivating fish.</p>","PeriodicalId":12312,"journal":{"name":"FEMS microbiology ecology","volume":" ","pages":""},"PeriodicalIF":3.2000,"publicationDate":"2025-01-28","publicationTypes":"Journal Article","fieldsOfStudy":null,"isOpenAccess":false,"openAccessPdf":"https://www.ncbi.nlm.nih.gov/pmc/articles/PMC11797051/pdf/","citationCount":"0","resultStr":null,"platform":"Semanticscholar","paperid":null,"PeriodicalName":"FEMS microbiology ecology","FirstCategoryId":"99","ListUrlMain":"https://doi.org/10.1093/femsec/fiaf007","RegionNum":3,"RegionCategory":"生物学","ArticlePicture":[],"TitleCN":null,"AbstractTextCN":null,"PMCID":null,"EPubDate":"","PubModel":"","JCR":"Q2","JCRName":"MICROBIOLOGY","Score":null,"Total":0}
引用次数: 0

Abstract

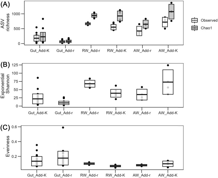
In this study, we investigated the influence of host genetics and environmental microbiomes on the early gut microbiome of Atlantic salmon. We aimed at rearing the fish in either r- or K-selected environments, where the r-selected environment would be expected to be dominated by fast-growing opportunistic bacteria and thus represent more detrimental microbial environment than the K-selected water. Eggs from both wild and aquaculture strains of Atlantic salmon were hatched under germ-free conditions. One week after hatching, rearing flasks were inoculated with either r- or K-selected water communities. Three weeks after hatching, no effect of host strain on the gut microbiomes were observed. r-selection was found to take place in the rearing water of all flasks, including in the flasks added K-selected water. Still, the water microbiomes differed significantly between the flasks that had been added r- and K-selected water (Add-r and Add-K flasks, respectively). Lower alpha diversity and higher abundances of Pseudomonas were observed for the Add-K flasks, indicating a potential unfavorable microbial environment. Selection in the host structured the gut microbiomes, but an extensive interindividual variation was explained by stochastic processes in community assembly. The gut microbiomes also differed significantly between the Add-r and Add-K flasks. In Add-K flasks, they had higher similarities to the rearing water microbiomes, and the assembly of gut communities was less influenced by stochastic processes. The fish in Add-K flasks had lower growth rates than in Add-r flasks, probably as a result of negative host-microbe interactions. These findings highlight the importance of, but also the challenges related to, managing the microbial environment when cultivating fish.

Abstract Image

Abstract Image

Abstract Image

大西洋鲑鱼卵黄囊苗肠道微生物群落组装:宿主遗传学、环境微生物群和生态过程。
在本研究中,我们研究了宿主遗传和环境微生物组对大西洋鲑鱼早期肠道微生物组的影响。我们的目标是在r选择或k选择的环境中饲养鱼,其中r选择的环境预计将由快速生长的机会性细菌主导,因此代表比k选择的水更有害的微生物环境。野生和养殖大西洋鲑鱼的卵在无菌条件下孵化。孵卵1周后,饲养瓶分别接种r-或k -选择的水群落。3 wph时,未观察到宿主菌株对肠道微生物组的影响。发现所有烧瓶的饲养水都发生r选择,包括在添加k选择水的烧瓶中。尽管如此,在添加了r选择水和k选择水的烧瓶(分别为Add-r和Add-K烧瓶)之间,水中微生物组存在显著差异。在Add-K烧瓶中观察到较低的α多样性和较高的假单胞菌丰度,表明不利的微生物环境。宿主的选择构建了肠道微生物组,但广泛的个体内部差异可以用群落组装的随机过程来解释。肠道微生物组在Add-r和Add-K瓶之间也有显著差异。在Add-K瓶中,它们与饲养水中微生物组具有较高的相似性,肠道群落的组装受随机过程的影响较小。在Add-K瓶中的鱼比在Add-r瓶中的鱼生长速度低,可能是负宿主-微生物相互作用的结果。这些发现强调了在养鱼时管理微生物环境的重要性,但也强调了与之相关的挑战。
本文章由计算机程序翻译,如有差异,请以英文原文为准。
求助全文
约1分钟内获得全文 求助全文
来源期刊
FEMS microbiology ecology
FEMS microbiology ecology 生物-微生物学
CiteScore
7.50
自引率
2.40%
发文量
132
审稿时长
3 months
期刊介绍: FEMS Microbiology Ecology aims to ensure efficient publication of high-quality papers that are original and provide a significant contribution to the understanding of microbial ecology. The journal contains Research Articles and MiniReviews on fundamental aspects of the ecology of microorganisms in natural soil, aquatic and atmospheric habitats, including extreme environments, and in artificial or managed environments. Research papers on pure cultures and in the areas of plant pathology and medical, food or veterinary microbiology will be published where they provide valuable generic information on microbial ecology. Papers can deal with culturable and non-culturable forms of any type of microorganism: bacteria, archaea, filamentous fungi, yeasts, protozoa, cyanobacteria, algae or viruses. In addition, the journal will publish Perspectives, Current Opinion and Controversy Articles, Commentaries and Letters to the Editor on topical issues in microbial ecology. - Application of ecological theory to microbial ecology - Interactions and signalling between microorganisms and with plants and animals - Interactions between microorganisms and their physicochemical enviornment - Microbial aspects of biogeochemical cycles and processes - Microbial community ecology - Phylogenetic and functional diversity of microbial communities - Evolutionary biology of microorganisms
×
引用
GB/T 7714-2015
复制
MLA
复制
APA
复制
导出至
BibTeX EndNote RefMan NoteFirst NoteExpress
×
提示
您的信息不完整,为了账户安全,请先补充。
现在去补充
×
提示
您因"违规操作"
具体请查看互助需知
我知道了
×
提示
确定
请完成安全验证×
copy
已复制链接
快去分享给好友吧!
我知道了
右上角分享
点击右上角分享
0
联系我们:info@booksci.cn Book学术提供免费学术资源搜索服务,方便国内外学者检索中英文文献。致力于提供最便捷和优质的服务体验。 Copyright © 2023 布克学术 All rights reserved.
京ICP备2023020795号-1
ghs 京公网安备 11010802042870号
Book学术文献互助
Book学术文献互助群
群 号:604180095
Book学术官方微信