Association of high complement and low immunoglobulins with the clinical symptoms of patients with fibromyalgia.

IF 2.4 4区 医学 Q2 PSYCHIATRY
Satoshi Izuno, Masako Hosoi, Kozo Anno, Takahiro A Kato, Nobuyuki Sudo, Kazufumi Yoshihara
{"title":"Association of high complement and low immunoglobulins with the clinical symptoms of patients with fibromyalgia.","authors":"Satoshi Izuno, Masako Hosoi, Kozo Anno, Takahiro A Kato, Nobuyuki Sudo, Kazufumi Yoshihara","doi":"10.1186/s13030-024-00321-9","DOIUrl":null,"url":null,"abstract":"<p><strong>Background: </strong>Fibromyalgia (FM) is a disease characterized by chronic widespread pain concomitant with various symptoms such as fatigue and anxiety. Although chronic inflammation has been implicated in the immunological abnormalities of FM, there are few human studies on complement and immunoglobulins. In this study, we investigated the immunological characteristics of FM patients and the association between their clinical symptoms and immunological indices, including complement and immunoglobulins.</p><p><strong>Methods: </strong>1) The serum 50% hemolytic complement activity (CH50), C3, C4, IgG, IgM, and hsCRP of 36 FM patients and 30 healthy sex- and age-matched controls (HC) were measured and compared. 2) Data from the Brief Pain Inventory (pain intention and pain interference subscales), the visual analog scale (VAS) (low back pain, knee pain, and fatigue), the State-Trait Anxiety Inventory and the Center for Epidemiologic Studies Depression Scale (anxiety and depression), and CH50, IgG, and hsCRP as immunological indices were acquired for 41 FM patients. Correlation analysis was done of the clinical symptom and immunological indices.</p><p><strong>Results: </strong>1) The FM group had significantly higher CH50 and lower IgG and IgM than the HC group after adjusting for body mass index (BMI). 2) Correlation analysis of immunological indices and clinical symptoms showed a positive, partial correlation between CH50 and fatigue and trait anxiety after adjusting for sex, age, and BMI.</p><p><strong>Conclusions: </strong>FM patients had higher CH50 and lower immunoglobulin levels than HCs. CH50 was also associated with the fatigue and trait anxiety of FM patients. Further studies are needed to determine whether changes in these immunological indices can be used as biomarkers and/or therapeutic targets for FM.</p>","PeriodicalId":9027,"journal":{"name":"BioPsychoSocial Medicine","volume":"19 1","pages":"1"},"PeriodicalIF":2.4000,"publicationDate":"2025-01-21","publicationTypes":"Journal Article","fieldsOfStudy":null,"isOpenAccess":false,"openAccessPdf":"https://www.ncbi.nlm.nih.gov/pmc/articles/PMC11748331/pdf/","citationCount":"0","resultStr":null,"platform":"Semanticscholar","paperid":null,"PeriodicalName":"BioPsychoSocial Medicine","FirstCategoryId":"3","ListUrlMain":"https://doi.org/10.1186/s13030-024-00321-9","RegionNum":4,"RegionCategory":"医学","ArticlePicture":[],"TitleCN":null,"AbstractTextCN":null,"PMCID":null,"EPubDate":"","PubModel":"","JCR":"Q2","JCRName":"PSYCHIATRY","Score":null,"Total":0}
引用次数: 0

Abstract

Background: Fibromyalgia (FM) is a disease characterized by chronic widespread pain concomitant with various symptoms such as fatigue and anxiety. Although chronic inflammation has been implicated in the immunological abnormalities of FM, there are few human studies on complement and immunoglobulins. In this study, we investigated the immunological characteristics of FM patients and the association between their clinical symptoms and immunological indices, including complement and immunoglobulins.

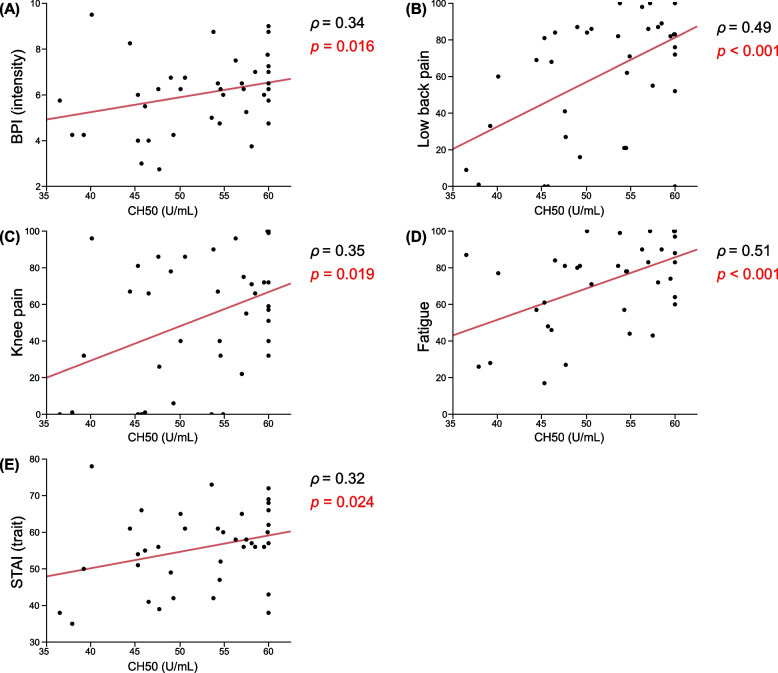
Methods: 1) The serum 50% hemolytic complement activity (CH50), C3, C4, IgG, IgM, and hsCRP of 36 FM patients and 30 healthy sex- and age-matched controls (HC) were measured and compared. 2) Data from the Brief Pain Inventory (pain intention and pain interference subscales), the visual analog scale (VAS) (low back pain, knee pain, and fatigue), the State-Trait Anxiety Inventory and the Center for Epidemiologic Studies Depression Scale (anxiety and depression), and CH50, IgG, and hsCRP as immunological indices were acquired for 41 FM patients. Correlation analysis was done of the clinical symptom and immunological indices.

Results: 1) The FM group had significantly higher CH50 and lower IgG and IgM than the HC group after adjusting for body mass index (BMI). 2) Correlation analysis of immunological indices and clinical symptoms showed a positive, partial correlation between CH50 and fatigue and trait anxiety after adjusting for sex, age, and BMI.

Conclusions: FM patients had higher CH50 and lower immunoglobulin levels than HCs. CH50 was also associated with the fatigue and trait anxiety of FM patients. Further studies are needed to determine whether changes in these immunological indices can be used as biomarkers and/or therapeutic targets for FM.

Abstract Image

Abstract Image

高补体和低免疫球蛋白与纤维肌痛患者临床症状的关系。
背景:纤维肌痛(FM)是一种以慢性广泛性疼痛为特征并伴有疲劳和焦虑等多种症状的疾病。虽然慢性炎症与FM的免疫异常有关,但很少有关于补体和免疫球蛋白的人体研究。在这项研究中,我们研究了FM患者的免疫学特征以及他们的临床症状与免疫指标(包括补体和免疫球蛋白)的关系。方法:1)测定36例FM患者和30例性别、年龄匹配的健康对照者血清50%溶血补体活性(CH50)、C3、C4、IgG、IgM和hsCRP。2)采集41例FM患者的简短疼痛量表(疼痛意向和疼痛干扰亚量表)、视觉模拟量表(VAS)(腰痛、膝关节疼痛和疲劳)、状态-特质焦虑量表和流行病学研究中心抑郁量表(焦虑和抑郁),以及免疫指标CH50、IgG和hsCRP。对临床症状与免疫学指标进行相关性分析。结果:1)经体重指数(BMI)调整后,FM组CH50显著高于HC组,IgG和IgM显著低于HC组。2)免疫指标与临床症状的相关分析显示,调整性别、年龄、BMI后,CH50与疲劳、特质焦虑呈正偏相关。结论:FM患者的CH50水平高于hc患者,免疫球蛋白水平低于hc患者。CH50也与FM患者的疲劳和特质焦虑有关。需要进一步的研究来确定这些免疫指标的变化是否可以作为FM的生物标志物和/或治疗靶点。
本文章由计算机程序翻译,如有差异,请以英文原文为准。
求助全文
约1分钟内获得全文 求助全文
来源期刊
CiteScore
3.60
自引率
0.00%
发文量
23
审稿时长
18 weeks
期刊介绍: BioPsychoSocial Medicine is an open access, peer-reviewed online journal that encompasses all aspects of the interrelationships between the biological, psychological, social, and behavioral factors of health and illness. BioPsychoSocial Medicine is the official journal of the Japanese Society of Psychosomatic Medicine, and publishes research on psychosomatic disorders and diseases that are characterized by objective organic changes and/or functional changes that could be induced, progressed, aggravated, or exacerbated by psychological, social, and/or behavioral factors and their associated psychosomatic treatments.
×
引用
GB/T 7714-2015
复制
MLA
复制
APA
复制
导出至
BibTeX EndNote RefMan NoteFirst NoteExpress
×
提示
您的信息不完整,为了账户安全,请先补充。
现在去补充
×
提示
您因"违规操作"
具体请查看互助需知
我知道了
×
提示
确定
请完成安全验证×
copy
已复制链接
快去分享给好友吧!
我知道了
右上角分享
点击右上角分享
0
联系我们:info@booksci.cn Book学术提供免费学术资源搜索服务,方便国内外学者检索中英文文献。致力于提供最便捷和优质的服务体验。 Copyright © 2023 布克学术 All rights reserved.
京ICP备2023020795号-1
ghs 京公网安备 11010802042870号
Book学术文献互助
Book学术文献互助群
群 号:604180095
Book学术官方微信