Criticality is Associated with Future Psychotherapy Response in Patients with Post-Traumatic Stress Disorder-A Pilot Study.

Q1 Psychology
Chronic Stress Pub Date : 2025-01-12 eCollection Date: 2025-01-01 DOI:10.1177/24705470241311285
Remko van Lutterveld, Myrthe Sterk, Cristian Spitoni, Mitzy Kennis, Sanne J H van Rooij, Elbert Geuze
{"title":"Criticality is Associated with Future Psychotherapy Response in Patients with Post-Traumatic Stress Disorder-A Pilot Study.","authors":"Remko van Lutterveld, Myrthe Sterk, Cristian Spitoni, Mitzy Kennis, Sanne J H van Rooij, Elbert Geuze","doi":"10.1177/24705470241311285","DOIUrl":null,"url":null,"abstract":"<p><strong>Background: </strong>Trauma-focused psychotherapy is treatment of choice for post-traumatic stress disorder (PTSD). However, about half of patients do not respond. Recently, there is increased interest in brain criticality, which assesses the phase transition between order and disorder in brain activity. Operating close to this borderline is theorized to facilitate optimal information processing. We studied if brain criticality is related to future response to treatment, hypothesizing that treatment responders' brains function closer to criticality.</p><p><strong>Methods: </strong>Functional magnetic resonance imaging resting-state scans were acquired from 46 male veterans with PTSD around the start of treatment. Psychotherapy consisted of trauma-focused cognitive behavioral therapy, eye movement desensitization and reprocessing, or a combination thereof. Treatment response was assessed using the Clinician-Administered PTSD Scale, and criticality was assessed using an Ising temperature approach for seven canonical brain networks (ie, the visual, somatomotor, dorsal attention, ventral attention, limbic, frontoparietal and default mode networks) to measure distance to criticality.</p><p><strong>Results: </strong>The brains of prospective treatment responders were closer to criticality than nonresponders (P = 0.017), while no significant interaction effect between group and brain network was observed (P = 0.486). In addition, average criticality across networks correlated with future treatment response (P = 0.028).</p><p><strong>Conclusion: </strong>These results show that the brains of prospective PTSD psychotherapy treatment responders operate closer to criticality than nonresponders, and this occurs across the entire brain instead of in separate canonical brain networks. These results suggest that effective psychotherapy is mediated by brains operating closer to criticality.</p>","PeriodicalId":52315,"journal":{"name":"Chronic Stress","volume":"9 ","pages":"24705470241311285"},"PeriodicalIF":0.0000,"publicationDate":"2025-01-12","publicationTypes":"Journal Article","fieldsOfStudy":null,"isOpenAccess":false,"openAccessPdf":"https://www.ncbi.nlm.nih.gov/pmc/articles/PMC11726532/pdf/","citationCount":"0","resultStr":null,"platform":"Semanticscholar","paperid":null,"PeriodicalName":"Chronic Stress","FirstCategoryId":"1085","ListUrlMain":"https://doi.org/10.1177/24705470241311285","RegionNum":0,"RegionCategory":null,"ArticlePicture":[],"TitleCN":null,"AbstractTextCN":null,"PMCID":null,"EPubDate":"2025/1/1 0:00:00","PubModel":"eCollection","JCR":"Q1","JCRName":"Psychology","Score":null,"Total":0}
引用次数: 0

Abstract

Background: Trauma-focused psychotherapy is treatment of choice for post-traumatic stress disorder (PTSD). However, about half of patients do not respond. Recently, there is increased interest in brain criticality, which assesses the phase transition between order and disorder in brain activity. Operating close to this borderline is theorized to facilitate optimal information processing. We studied if brain criticality is related to future response to treatment, hypothesizing that treatment responders' brains function closer to criticality.

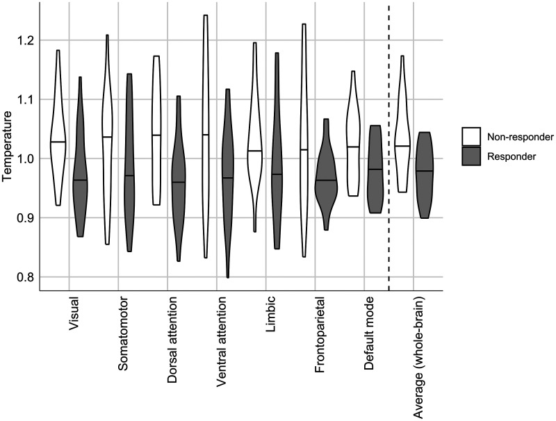
Methods: Functional magnetic resonance imaging resting-state scans were acquired from 46 male veterans with PTSD around the start of treatment. Psychotherapy consisted of trauma-focused cognitive behavioral therapy, eye movement desensitization and reprocessing, or a combination thereof. Treatment response was assessed using the Clinician-Administered PTSD Scale, and criticality was assessed using an Ising temperature approach for seven canonical brain networks (ie, the visual, somatomotor, dorsal attention, ventral attention, limbic, frontoparietal and default mode networks) to measure distance to criticality.

Results: The brains of prospective treatment responders were closer to criticality than nonresponders (P = 0.017), while no significant interaction effect between group and brain network was observed (P = 0.486). In addition, average criticality across networks correlated with future treatment response (P = 0.028).

Conclusion: These results show that the brains of prospective PTSD psychotherapy treatment responders operate closer to criticality than nonresponders, and this occurs across the entire brain instead of in separate canonical brain networks. These results suggest that effective psychotherapy is mediated by brains operating closer to criticality.

Abstract Image

Abstract Image

临界状态与创伤后应激障碍患者未来心理治疗反应相关的初步研究。
背景:创伤焦点心理治疗是创伤后应激障碍(PTSD)的首选治疗方法。然而,大约一半的患者没有反应。最近,人们对大脑临界性越来越感兴趣,它评估大脑活动中有序和无序之间的相变。理论上,接近这个边界的操作可以促进最佳的信息处理。我们研究了大脑临界状态是否与未来对治疗的反应有关,假设治疗反应者的大脑功能更接近临界状态。方法:对46例PTSD男性退伍军人治疗前后的静息状态进行功能磁共振成像扫描。心理治疗包括以创伤为中心的认知行为治疗、眼动脱敏和再处理,或两者的结合。使用临床医生管理的PTSD量表评估治疗反应,使用伊辛温度法评估七个典型脑网络(即视觉、体运动、背侧注意、腹侧注意、边缘、额顶叶和默认模式网络)的临界性,以测量到临界性的距离。结果:前瞻性治疗反应者的大脑比无反应者更接近临界状态(P = 0.017),而组与脑网络之间无显著交互作用(P = 0.486)。此外,跨网络的平均临界性与未来治疗反应相关(P = 0.028)。结论:这些结果表明,预期PTSD心理治疗应答者的大脑比无应答者更接近临界状态,这种情况发生在整个大脑而不是单独的规范脑网络中。这些结果表明,有效的心理治疗是由接近临界状态的大脑来调节的。
本文章由计算机程序翻译,如有差异,请以英文原文为准。
求助全文
约1分钟内获得全文 求助全文
来源期刊
Chronic Stress
Chronic Stress Psychology-Clinical Psychology
CiteScore
7.40
自引率
0.00%
发文量
25
审稿时长
6 weeks
×
引用
GB/T 7714-2015
复制
MLA
复制
APA
复制
导出至
BibTeX EndNote RefMan NoteFirst NoteExpress
×
提示
您的信息不完整,为了账户安全,请先补充。
现在去补充
×
提示
您因"违规操作"
具体请查看互助需知
我知道了
×
提示
确定
请完成安全验证×
copy
已复制链接
快去分享给好友吧!
我知道了
右上角分享
点击右上角分享
0
联系我们:info@booksci.cn Book学术提供免费学术资源搜索服务,方便国内外学者检索中英文文献。致力于提供最便捷和优质的服务体验。 Copyright © 2023 布克学术 All rights reserved.
京ICP备2023020795号-1
ghs 京公网安备 11010802042870号
Book学术文献互助
Book学术文献互助群
群 号:604180095
Book学术官方微信