Real-time evaluation of an automated computer vision system to monitor pain behavior in older adults.

IF 2 Q3 ENGINEERING, BIOMEDICAL
Rhonda Jn Stopyn, Abhishek Moturu, Babak Taati, Thomas Hadjistavropoulos
{"title":"Real-time evaluation of an automated computer vision system to monitor pain behavior in older adults.","authors":"Rhonda Jn Stopyn, Abhishek Moturu, Babak Taati, Thomas Hadjistavropoulos","doi":"10.1177/20556683251313762","DOIUrl":null,"url":null,"abstract":"<p><p>Regular use of standardized observational tools to assess nonverbal pain behaviors results in improved pain care for older adults with severe dementia. While frequent monitoring of pain behaviors in long-term care (LTC) is constrained by resource limitations, computer vision technology has the potential to mitigate these challenges. A computerized algorithm designed to assess pain behavior in older adults with and without dementia was recently developed and validated using video recordings. This study was the first live, real-time evaluation of the algorithm incorporated in an automated system with community-dwelling older adults in a laboratory. Three safely-administered thermal pain tasks were completed while the system automatically processed facial activity. Receiver Operating Characteristic curves were used to determine the sensitivity and specificity of the system in identifying facial pain expressions using gold standard manual coding. The relationship between scoring methods was analyzed and gender differences were explored. Results supported the potential viability of the system for use with older adults. System performance improved when more intense facial pain expressiveness was considered. While average pain scores remained homogenous between genders, system performance was better for women. Findings will be used to further refine the system prior to future field testing in LTC.</p>","PeriodicalId":43319,"journal":{"name":"Journal of Rehabilitation and Assistive Technologies Engineering","volume":"12 ","pages":"20556683251313762"},"PeriodicalIF":2.0000,"publicationDate":"2025-01-12","publicationTypes":"Journal Article","fieldsOfStudy":null,"isOpenAccess":false,"openAccessPdf":"https://www.ncbi.nlm.nih.gov/pmc/articles/PMC11726534/pdf/","citationCount":"0","resultStr":null,"platform":"Semanticscholar","paperid":null,"PeriodicalName":"Journal of Rehabilitation and Assistive Technologies Engineering","FirstCategoryId":"1085","ListUrlMain":"https://doi.org/10.1177/20556683251313762","RegionNum":0,"RegionCategory":null,"ArticlePicture":[],"TitleCN":null,"AbstractTextCN":null,"PMCID":null,"EPubDate":"2025/1/1 0:00:00","PubModel":"eCollection","JCR":"Q3","JCRName":"ENGINEERING, BIOMEDICAL","Score":null,"Total":0}
引用次数: 0

Abstract

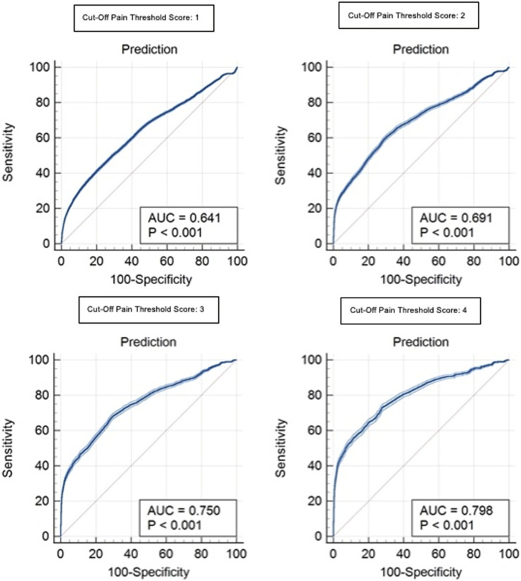
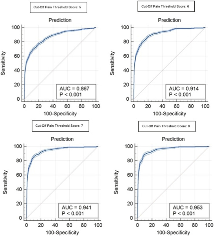
Regular use of standardized observational tools to assess nonverbal pain behaviors results in improved pain care for older adults with severe dementia. While frequent monitoring of pain behaviors in long-term care (LTC) is constrained by resource limitations, computer vision technology has the potential to mitigate these challenges. A computerized algorithm designed to assess pain behavior in older adults with and without dementia was recently developed and validated using video recordings. This study was the first live, real-time evaluation of the algorithm incorporated in an automated system with community-dwelling older adults in a laboratory. Three safely-administered thermal pain tasks were completed while the system automatically processed facial activity. Receiver Operating Characteristic curves were used to determine the sensitivity and specificity of the system in identifying facial pain expressions using gold standard manual coding. The relationship between scoring methods was analyzed and gender differences were explored. Results supported the potential viability of the system for use with older adults. System performance improved when more intense facial pain expressiveness was considered. While average pain scores remained homogenous between genders, system performance was better for women. Findings will be used to further refine the system prior to future field testing in LTC.

Abstract Image

Abstract Image

Abstract Image

自动计算机视觉系统监测老年人疼痛行为的实时评估。
定期使用标准化的观察工具来评估非语言疼痛行为,可以改善患有严重痴呆的老年人的疼痛护理。虽然长期护理(LTC)中疼痛行为的频繁监测受到资源限制,但计算机视觉技术有可能减轻这些挑战。最近开发了一种计算机化算法,用于评估患有和不患有痴呆症的老年人的疼痛行为,并使用视频记录进行了验证。这项研究是第一次对该算法进行现场实时评估,该算法被纳入了一个自动化系统,在实验室中对社区居住的老年人进行了评估。在系统自动处理面部活动的同时,完成了三个安全管理的热痛任务。采用受试者工作特征曲线确定该系统识别面部疼痛表情的敏感性和特异性,采用金标准手工编码。分析了评分方法之间的关系,探讨了性别差异。结果支持该系统用于老年人的潜在可行性。当考虑更强烈的面部疼痛表达时,系统性能得到改善。虽然平均疼痛评分在性别之间保持一致,但女性的系统表现更好。研究结果将用于进一步完善该系统,然后在LTC进行未来的现场测试。
本文章由计算机程序翻译,如有差异,请以英文原文为准。
求助全文
约1分钟内获得全文 求助全文
来源期刊
自引率
5.00%
发文量
37
×
引用
GB/T 7714-2015
复制
MLA
复制
APA
复制
导出至
BibTeX EndNote RefMan NoteFirst NoteExpress
×
提示
您的信息不完整,为了账户安全,请先补充。
现在去补充
×
提示
您因"违规操作"
具体请查看互助需知
我知道了
×
提示
确定
请完成安全验证×
copy
已复制链接
快去分享给好友吧!
我知道了
右上角分享
点击右上角分享
0
联系我们:info@booksci.cn Book学术提供免费学术资源搜索服务,方便国内外学者检索中英文文献。致力于提供最便捷和优质的服务体验。 Copyright © 2023 布克学术 All rights reserved.
京ICP备2023020795号-1
ghs 京公网安备 11010802042870号
Book学术文献互助
Book学术文献互助群
群 号:604180095
Book学术官方微信