Physiological and Psychological Differences Between 20% Grade Incline Walking and Level-Grade Jogging at Isocaloric Intensity.

Q1 Health Professions
International journal of exercise science Pub Date : 2024-12-01 eCollection Date: 2024-01-01 DOI:10.70252/CWWL1447
Motoki Sato, Taj Krieger, Alexis D Gidley, Brianne Weaver, Craig A Johnson, D E Lankford
{"title":"Physiological and Psychological Differences Between 20% Grade Incline Walking and Level-Grade Jogging at Isocaloric Intensity.","authors":"Motoki Sato, Taj Krieger, Alexis D Gidley, Brianne Weaver, Craig A Johnson, D E Lankford","doi":"10.70252/CWWL1447","DOIUrl":null,"url":null,"abstract":"<p><p>High-incline walking is a relatively new trend with little comparative information. This study compared physiological and psychological differences between high-incline walking at 20% grade (HIW) and level-grade jogging (LGJ) at isocaloric intensities in young adults. Twenty-two participants (M = 11, F = 11) aged 19-31 years completed the study. Participants completed HIW and LGJ on a treadmill for twenty minutes on two separate occasions and matched at isocaloric intensities. Rating of perceived exertion (RPE), maintainability (HCM), and affective valence using the Feeling Scale (FS) were measured at minutes 2, 10, and 20. Gas exchange and heart rate (HR) were continuously recorded. Post-exercise, participants completed the Physical Activity Enjoyment Scale (PACES) and 0-100 Likelihood scale. Relative oxygen uptake between LGJ and HIW (24.25 ± 3.53; 24.11 ± 3.63 mL/kg/min; <i>p</i> = .570, <i>d =</i> -.12), total calories (LGJ = 169.78 ± 35.80; HIW = 171.07 ± 35.09 kcal; <i>p</i> = .504), RER (LGJ = .86 ± .03; HIW = .88 ± .04; <i>p</i> = .137), and HR (LGJ = 146.28 ± 18.29; HIW = 143.94 ± 21.26 bpm; <i>p</i> = .146) was not different. LGJ (96.82 ± 15.76) had significantly higher total PACES (96.82 ± 15.76) and Likelihood scores (75.86 ± 18.30) than HIW (85.14 ± 15.08, <i>p <</i> .001; 65.09 ± 25.45, <i>p</i> = .032) respectively. RPE for both LGJ and HIW increased significantly with time (<i>p <</i> .001), but not between tests (<i>p</i> = .312). FS for LGJ and HIW increased significantly between tests (<i>p</i> = .008), but not between time (<i>p</i> = .083). At isocaloric intensities, young adults preferred and enjoyed LGJ relative to HIW.</p>","PeriodicalId":14171,"journal":{"name":"International journal of exercise science","volume":"17 6","pages":"1318-1336"},"PeriodicalIF":0.0000,"publicationDate":"2024-12-01","publicationTypes":"Journal Article","fieldsOfStudy":null,"isOpenAccess":false,"openAccessPdf":"https://www.ncbi.nlm.nih.gov/pmc/articles/PMC11728581/pdf/","citationCount":"0","resultStr":null,"platform":"Semanticscholar","paperid":null,"PeriodicalName":"International journal of exercise science","FirstCategoryId":"1085","ListUrlMain":"https://doi.org/10.70252/CWWL1447","RegionNum":0,"RegionCategory":null,"ArticlePicture":[],"TitleCN":null,"AbstractTextCN":null,"PMCID":null,"EPubDate":"2024/1/1 0:00:00","PubModel":"eCollection","JCR":"Q1","JCRName":"Health Professions","Score":null,"Total":0}
引用次数: 0

Abstract

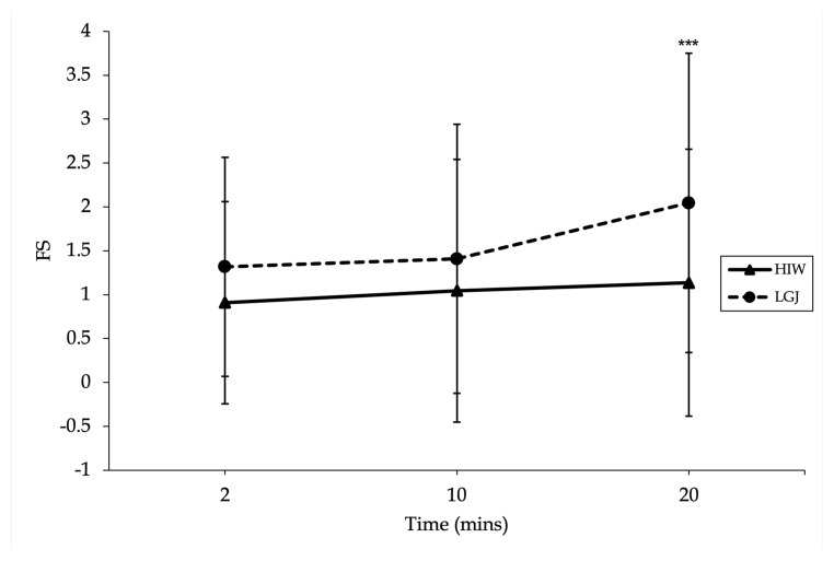
High-incline walking is a relatively new trend with little comparative information. This study compared physiological and psychological differences between high-incline walking at 20% grade (HIW) and level-grade jogging (LGJ) at isocaloric intensities in young adults. Twenty-two participants (M = 11, F = 11) aged 19-31 years completed the study. Participants completed HIW and LGJ on a treadmill for twenty minutes on two separate occasions and matched at isocaloric intensities. Rating of perceived exertion (RPE), maintainability (HCM), and affective valence using the Feeling Scale (FS) were measured at minutes 2, 10, and 20. Gas exchange and heart rate (HR) were continuously recorded. Post-exercise, participants completed the Physical Activity Enjoyment Scale (PACES) and 0-100 Likelihood scale. Relative oxygen uptake between LGJ and HIW (24.25 ± 3.53; 24.11 ± 3.63 mL/kg/min; p = .570, d = -.12), total calories (LGJ = 169.78 ± 35.80; HIW = 171.07 ± 35.09 kcal; p = .504), RER (LGJ = .86 ± .03; HIW = .88 ± .04; p = .137), and HR (LGJ = 146.28 ± 18.29; HIW = 143.94 ± 21.26 bpm; p = .146) was not different. LGJ (96.82 ± 15.76) had significantly higher total PACES (96.82 ± 15.76) and Likelihood scores (75.86 ± 18.30) than HIW (85.14 ± 15.08, p < .001; 65.09 ± 25.45, p = .032) respectively. RPE for both LGJ and HIW increased significantly with time (p < .001), but not between tests (p = .312). FS for LGJ and HIW increased significantly between tests (p = .008), but not between time (p = .083). At isocaloric intensities, young adults preferred and enjoyed LGJ relative to HIW.

Abstract Image

Abstract Image

Abstract Image

等热量强度下20%坡度步行与水平坡度慢跑的生理和心理差异。
高坡度步行是一种相对较新的趋势,很少有比较信息。本研究比较了年轻人等热量强度下高坡度20%步行(HIW)和低坡度慢跑(LGJ)的生理和心理差异。22名年龄19-31岁的参与者(M = 11, F = 11)完成了研究。参与者在跑步机上完成HIW和LGJ,每次20分钟,在两个不同的场合,并在等热量强度下进行匹配。在第2分钟、第10分钟和第20分钟使用感觉量表(FS)测量感知消耗(RPE)、可维护性(HCM)和情感效价。连续记录气体交换和心率(HR)。运动后,参与者完成体育活动享受量表(pace)和0-100似然量表。LGJ与HIW的相对摄氧量(24.25±3.53);24.11±3.63 mL/kg/min;p = .570, d = -.12),总热量(LGJ = 169.78±35.80;HIW = 171.07±35.09 kcal;p = .504), RER (LGJ = .86±.03;Hiw = 0.88±0.04;p = .137), HR (LGJ = 146.28±18.29;HIW = 143.94±21.26 bpm;P = .146)无差异。LGJ(96.82±15.76)的pace总分(96.82±15.76)和Likelihood评分(75.86±18.30)显著高于HIW(85.14±15.08,p .001;65.09±25.45,p = 0.032)。LGJ和HIW的RPE均随时间增加而显著增加(p = 0.001),但试验间无差异(p = .312)。LGJ和HIW的FS在试验之间显著增加(p = 0.008),但在时间之间无显著增加(p = 0.083)。在等热量强度下,年轻人更喜欢LGJ而不是HIW。
本文章由计算机程序翻译,如有差异,请以英文原文为准。
求助全文
约1分钟内获得全文 求助全文
来源期刊
International journal of exercise science
International journal of exercise science Health Professions-Occupational Therapy
CiteScore
2.20
自引率
0.00%
发文量
47
审稿时长
26 weeks
×
引用
GB/T 7714-2015
复制
MLA
复制
APA
复制
导出至
BibTeX EndNote RefMan NoteFirst NoteExpress
×
提示
您的信息不完整,为了账户安全,请先补充。
现在去补充
×
提示
您因"违规操作"
具体请查看互助需知
我知道了
×
提示
确定
请完成安全验证×
copy
已复制链接
快去分享给好友吧!
我知道了
右上角分享
点击右上角分享
0
联系我们:info@booksci.cn Book学术提供免费学术资源搜索服务,方便国内外学者检索中英文文献。致力于提供最便捷和优质的服务体验。 Copyright © 2023 布克学术 All rights reserved.
京ICP备2023020795号-1
ghs 京公网安备 11010802042870号
Book学术文献互助
Book学术文献互助群
群 号:604180095
Book学术官方微信