Unveiling Risk Factors for Treatment Failure in Patients with Graves' Disease: A Nationwide Cohort Study in Korea.

IF 4.2 3区 医学 Q2 ENDOCRINOLOGY & METABOLISM
Endocrinology and Metabolism Pub Date : 2025-02-01 Epub Date: 2025-01-13 DOI:10.3803/EnM.2024.2093
Jung A Kim, Kyeong Jin Kim, Jimi Choi, Kyoung Jin Kim, Eyun Song, Ji Hee Yu, Nam Hoon Kim, Hye Jin Yoo, Ji A Seo, Nan Hee Kim, Kyung Mook Choi, Sei Hyun Baik, Sin Gon Kim
{"title":"Unveiling Risk Factors for Treatment Failure in Patients with Graves' Disease: A Nationwide Cohort Study in Korea.","authors":"Jung A Kim, Kyeong Jin Kim, Jimi Choi, Kyoung Jin Kim, Eyun Song, Ji Hee Yu, Nam Hoon Kim, Hye Jin Yoo, Ji A Seo, Nan Hee Kim, Kyung Mook Choi, Sei Hyun Baik, Sin Gon Kim","doi":"10.3803/EnM.2024.2093","DOIUrl":null,"url":null,"abstract":"<p><strong>Backgruound: </strong>Antithyroid drug (ATD) treatment is the preferred initial treatment for Graves' disease (GD) in South Korea, despite higher treatment failure rates than radioactive iodine (RAI) therapy or thyroidectomy. This study aimed to evaluate the incidence of treatment failure associated with the primary modalities for GD treatment in real-world practice.</p><p><strong>Methods: </strong>We included 452,001 patients diagnosed with GD between 2004 and 2020 from the Korean National Health Insurance Service-National Health Information Database. Treatment failure was defined as switching from ATD, RAI, or thyroidectomy treatments, and for ATD specifically, inability to discontinue medication for over 2 years.</p><p><strong>Results: </strong>Mean age was 46.2 years, with females constituting 70.8%. Initial treatments for GD included ATDs (98.0%), thyroidectomy (1.3%), and RAI (0.7%), with a noted increment in ATD application from 96.2% in 2004 to 98.8% in 2020. During a median follow- up of 8.5 years, the treatment failure rates were 58.5% for ATDs, 21.3% for RAI, and 2.1% for thyroidectomy. Multivariate analysis indicated that the hazard ratio for treatment failure with ATD was 2.81 times higher than RAI. RAI treatments ≥10 mCi had 37% lower failure rates than doses <10 mCi.</p><p><strong>Conclusion: </strong>ATDs are the most commonly used for GD in South Korea, followed by thyroidectomy and RAI. Although the risk of treatment failure for ATD is higher than that of RAI therapy, initial RAI treatment in South Korea is relatively limited compared to that in Western countries. Further studies are required to evaluate the cause of low initial RAI treatment rates in South Korea.</p>","PeriodicalId":11636,"journal":{"name":"Endocrinology and Metabolism","volume":" ","pages":"125-134"},"PeriodicalIF":4.2000,"publicationDate":"2025-02-01","publicationTypes":"Journal Article","fieldsOfStudy":null,"isOpenAccess":false,"openAccessPdf":"https://www.ncbi.nlm.nih.gov/pmc/articles/PMC11898321/pdf/","citationCount":"0","resultStr":null,"platform":"Semanticscholar","paperid":null,"PeriodicalName":"Endocrinology and Metabolism","FirstCategoryId":"3","ListUrlMain":"https://doi.org/10.3803/EnM.2024.2093","RegionNum":3,"RegionCategory":"医学","ArticlePicture":[],"TitleCN":null,"AbstractTextCN":null,"PMCID":null,"EPubDate":"2025/1/13 0:00:00","PubModel":"Epub","JCR":"Q2","JCRName":"ENDOCRINOLOGY & METABOLISM","Score":null,"Total":0}
引用次数: 0

Abstract

Backgruound: Antithyroid drug (ATD) treatment is the preferred initial treatment for Graves' disease (GD) in South Korea, despite higher treatment failure rates than radioactive iodine (RAI) therapy or thyroidectomy. This study aimed to evaluate the incidence of treatment failure associated with the primary modalities for GD treatment in real-world practice.

Methods: We included 452,001 patients diagnosed with GD between 2004 and 2020 from the Korean National Health Insurance Service-National Health Information Database. Treatment failure was defined as switching from ATD, RAI, or thyroidectomy treatments, and for ATD specifically, inability to discontinue medication for over 2 years.

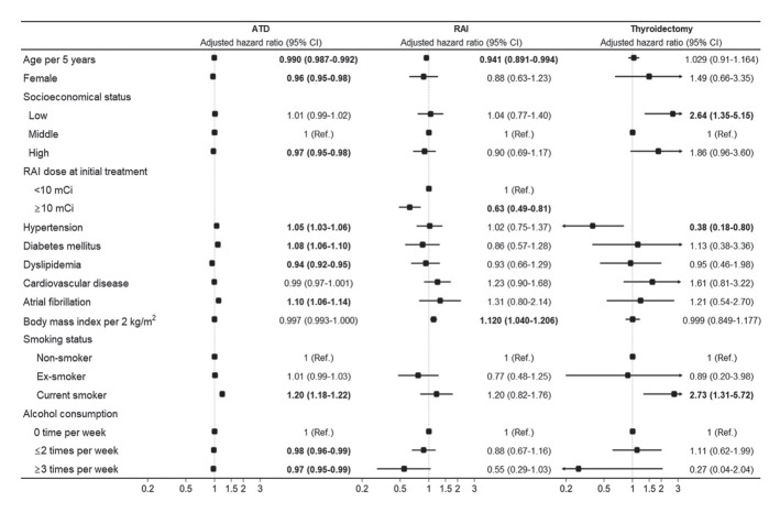
Results: Mean age was 46.2 years, with females constituting 70.8%. Initial treatments for GD included ATDs (98.0%), thyroidectomy (1.3%), and RAI (0.7%), with a noted increment in ATD application from 96.2% in 2004 to 98.8% in 2020. During a median follow- up of 8.5 years, the treatment failure rates were 58.5% for ATDs, 21.3% for RAI, and 2.1% for thyroidectomy. Multivariate analysis indicated that the hazard ratio for treatment failure with ATD was 2.81 times higher than RAI. RAI treatments ≥10 mCi had 37% lower failure rates than doses <10 mCi.

Conclusion: ATDs are the most commonly used for GD in South Korea, followed by thyroidectomy and RAI. Although the risk of treatment failure for ATD is higher than that of RAI therapy, initial RAI treatment in South Korea is relatively limited compared to that in Western countries. Further studies are required to evaluate the cause of low initial RAI treatment rates in South Korea.

Abstract Image

Abstract Image

Abstract Image

揭示格雷夫斯病患者治疗失败的危险因素:韩国一项全国性队列研究
背景:在韩国,抗甲状腺药物(ATD)治疗是Graves病(GD)的首选初始治疗,尽管治疗失败率高于放射性碘(RAI)治疗或甲状腺切除术。本研究旨在评估与现实世界中GD治疗的主要方式相关的治疗失败发生率。方法:我们从韩国国民健康保险服务-国家健康信息数据库中纳入了2004年至2020年间诊断为GD的452,001例患者。治疗失败被定义为从ATD、RAI或甲状腺切除术治疗中切换,特别是对于ATD,无法停药超过2年。结果:平均年龄46.2岁,女性占70.8%。GD的初始治疗包括ATD(98.0%)、甲状腺切除术(1.3%)和RAI (0.7%), ATD的应用从2004年的96.2%增加到2020年的98.8%。在中位随访8.5年期间,ATDs的治疗失败率为58.5%,RAI为21.3%,甲状腺切除术为2.1%。多因素分析表明,ATD治疗失败的风险比为RAI的2.81倍。≥10 mCi的RAI治疗失败率比剂量治疗低37%。结论:在韩国,ATDs是GD最常用的治疗方法,其次是甲状腺切除术和RAI。虽然ATD治疗失败的风险高于RAI治疗,但与西方国家相比,韩国的初始RAI治疗相对有限。需要进一步的研究来评估韩国RAI初始治疗率低的原因。
本文章由计算机程序翻译,如有差异,请以英文原文为准。
求助全文
约1分钟内获得全文 求助全文
来源期刊
Endocrinology and Metabolism
Endocrinology and Metabolism Medicine-Endocrinology, Diabetes and Metabolism
CiteScore
6.60
自引率
5.90%
发文量
145
审稿时长
24 weeks
期刊介绍: The aim of this journal is to set high standards of medical care by providing a forum for discussion for basic, clinical, and translational researchers and clinicians on new findings in the fields of endocrinology and metabolism. Endocrinology and Metabolism reports new findings and developments in all aspects of endocrinology and metabolism. The topics covered by this journal include bone and mineral metabolism, cytokines, developmental endocrinology, diagnostic endocrinology, endocrine research, dyslipidemia, endocrine regulation, genetic endocrinology, growth factors, hormone receptors, hormone action and regulation, management of endocrine diseases, clinical trials, epidemiology, molecular endocrinology, neuroendocrinology, neuropeptides, neurotransmitters, obesity, pediatric endocrinology, reproductive endocrinology, signal transduction, the anatomy and physiology of endocrine organs (i.e., the pituitary, thyroid, parathyroid, and adrenal glands, and the gonads), and endocrine diseases (diabetes, nutrition, osteoporosis, etc.).
×
引用
GB/T 7714-2015
复制
MLA
复制
APA
复制
导出至
BibTeX EndNote RefMan NoteFirst NoteExpress
×
提示
您的信息不完整,为了账户安全,请先补充。
现在去补充
×
提示
您因"违规操作"
具体请查看互助需知
我知道了
×
提示
确定
请完成安全验证×
copy
已复制链接
快去分享给好友吧!
我知道了
右上角分享
点击右上角分享
0
联系我们:info@booksci.cn Book学术提供免费学术资源搜索服务,方便国内外学者检索中英文文献。致力于提供最便捷和优质的服务体验。 Copyright © 2023 布克学术 All rights reserved.
京ICP备2023020795号-1
ghs 京公网安备 11010802042870号
Book学术文献互助
Book学术文献互助群
群 号:604180095
Book学术官方微信