Evaluation of acute, repeated dose 28-day and 13-week oral toxicity and genotoxicity of a standardized fraction (HemoHIM) from Angelica gigas, Cnidium officinale, and Paeonia lactiflora.

IF 2.3 4区 医学 Q4 TOXICOLOGY
Toxicological Research Pub Date : 2024-08-16 eCollection Date: 2025-01-01 DOI:10.1007/s43188-024-00252-1
Ju Gyeong Kim, Su-Bin Bak, Gyoung-Deuck Kim, Han-Sol Choi, Da-Ae Kwon, Ha-Young Kim, Dong-Won Son, Jang-Hun Jeong, Byung-Woo Lee, Hyo-Jin An, Hak Sung Lee
{"title":"Evaluation of acute, repeated dose 28-day and 13-week oral toxicity and genotoxicity of a standardized fraction (HemoHIM) from <i>Angelica gigas, Cnidium officinale, and Paeonia lactiflora</i>.","authors":"Ju Gyeong Kim, Su-Bin Bak, Gyoung-Deuck Kim, Han-Sol Choi, Da-Ae Kwon, Ha-Young Kim, Dong-Won Son, Jang-Hun Jeong, Byung-Woo Lee, Hyo-Jin An, Hak Sung Lee","doi":"10.1007/s43188-024-00252-1","DOIUrl":null,"url":null,"abstract":"<p><p>HemoHIM is a functional food ingredient comprising a triple herbal combination of extracts from <i>Angelica gigas</i> Nakai, <i>Cnidium officinale</i> Makino, and <i>Paeonia lactiflora</i> Pallas. It was developed to aid the recovery of impaired immune function. Although it is widely used to treat various immune disorders in Korea, its potential toxicity has not been extensively investigated. Therefore, a comprehensive study was conducted to assess the safety of HemoHIM, including acute oral dose toxicity, 28-day and 13-week repeated-dose toxicity, and genotoxicity. To evaluate its safety profile, the dose was increased to 2,000 mg/kg/day, which corresponds to the dose limit for acute toxicity as per the Organization for Economic Cooperation and Development Test Guideline 423. No abnormal findings were observed at the higher doses. For the 28-day and 13-week repeated-dose toxicity studies, HemoHIM was administered at doses of 500, 1,000, and 2,000 mg/kg/day to examine subchronic toxicity in male and female rats. No test item-related clinical signs or mortality was observed at any of the tested doses. Gross pathology, hematology, blood chemistry, and histopathology evaluations further supported the safety of HemoHIM. Therefore, the NOAEL of HemoHIM was considered to be at 2,000 mg/kg/day for both sexes of rats. Bacterial reverse mutation tests, a chromosome aberration test in human peripheral blood lymphocytes, and a mouse micronucleus test were conducted to determine the genotoxicity of HemoHIM, which revealed that HemoHIM was non-mutagenic and non-clastogenic. Collectively, these findings provide valuable evidence to support the safe use of HemoHIM as a functional food ingredient.</p>","PeriodicalId":23181,"journal":{"name":"Toxicological Research","volume":"41 1","pages":"13-26"},"PeriodicalIF":2.3000,"publicationDate":"2024-08-16","publicationTypes":"Journal Article","fieldsOfStudy":null,"isOpenAccess":false,"openAccessPdf":"https://www.ncbi.nlm.nih.gov/pmc/articles/PMC11717728/pdf/","citationCount":"0","resultStr":null,"platform":"Semanticscholar","paperid":null,"PeriodicalName":"Toxicological Research","FirstCategoryId":"3","ListUrlMain":"https://doi.org/10.1007/s43188-024-00252-1","RegionNum":4,"RegionCategory":"医学","ArticlePicture":[],"TitleCN":null,"AbstractTextCN":null,"PMCID":null,"EPubDate":"2025/1/1 0:00:00","PubModel":"eCollection","JCR":"Q4","JCRName":"TOXICOLOGY","Score":null,"Total":0}
引用次数: 0

Abstract

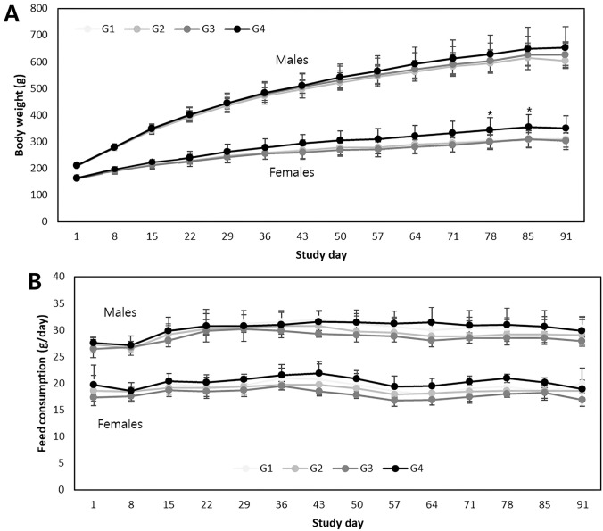
HemoHIM is a functional food ingredient comprising a triple herbal combination of extracts from Angelica gigas Nakai, Cnidium officinale Makino, and Paeonia lactiflora Pallas. It was developed to aid the recovery of impaired immune function. Although it is widely used to treat various immune disorders in Korea, its potential toxicity has not been extensively investigated. Therefore, a comprehensive study was conducted to assess the safety of HemoHIM, including acute oral dose toxicity, 28-day and 13-week repeated-dose toxicity, and genotoxicity. To evaluate its safety profile, the dose was increased to 2,000 mg/kg/day, which corresponds to the dose limit for acute toxicity as per the Organization for Economic Cooperation and Development Test Guideline 423. No abnormal findings were observed at the higher doses. For the 28-day and 13-week repeated-dose toxicity studies, HemoHIM was administered at doses of 500, 1,000, and 2,000 mg/kg/day to examine subchronic toxicity in male and female rats. No test item-related clinical signs or mortality was observed at any of the tested doses. Gross pathology, hematology, blood chemistry, and histopathology evaluations further supported the safety of HemoHIM. Therefore, the NOAEL of HemoHIM was considered to be at 2,000 mg/kg/day for both sexes of rats. Bacterial reverse mutation tests, a chromosome aberration test in human peripheral blood lymphocytes, and a mouse micronucleus test were conducted to determine the genotoxicity of HemoHIM, which revealed that HemoHIM was non-mutagenic and non-clastogenic. Collectively, these findings provide valuable evidence to support the safe use of HemoHIM as a functional food ingredient.

Abstract Image

Abstract Image

白芷、蛇咬草和芍药的标准化组分(haemhim)急性、重复给药28天和13周的口服毒性和遗传毒性评估。
haemhim是一种功能性食品成分,包括三种草药提取物的组合,从白芷、蛇头草和芍药。它的开发是为了帮助受损免疫功能的恢复。虽然在韩国被广泛用于治疗各种免疫疾病,但其潜在毒性尚未得到广泛调查。因此,我们进行了一项全面的研究来评估hemhim的安全性,包括急性口服剂量毒性、28天和13周重复剂量毒性和遗传毒性。为了评估其安全性,剂量增加到2,000 mg/kg/天,这符合经济合作与发展组织试验指南423规定的急性毒性剂量限值。在较高剂量下未观察到异常现象。在28天和13周的重复剂量毒性研究中,以500、1000和2000 mg/kg/天的剂量给药hemhim,以检查雄性和雌性大鼠的亚慢性毒性。在任何试验剂量下均未观察到与试验项目相关的临床症状或死亡率。大体病理学、血液学、血液化学和组织病理学评估进一步支持了hemhim的安全性。因此,对两性大鼠的NOAEL均认为为2000 mg/kg/d。通过细菌反向突变试验、人外周血淋巴细胞染色体畸变试验和小鼠微核试验测定其遗传毒性,结果表明,该药物具有非致突变性和非致裂性。总的来说,这些发现提供了有价值的证据,支持将血红蛋白作为一种功能性食品成分的安全使用。
本文章由计算机程序翻译,如有差异,请以英文原文为准。
求助全文
约1分钟内获得全文 求助全文
来源期刊
CiteScore
4.20
自引率
4.30%
发文量
39
期刊介绍: Toxicological Research is the official journal of the Korean Society of Toxicology. The journal covers all areas of Toxicological Research of chemicals, drugs and environmental agents affecting human and animals, which in turn impact public health. The journal’s mission is to disseminate scientific and technical information on diverse areas of toxicological research. Contributions by toxicologists, molecular biologists, geneticists, biochemists, pharmacologists, clinical researchers and epidemiologists with a global view on public health through toxicological research are welcome. Emphasis will be given to articles providing an understanding of the toxicological mechanisms affecting animal, human and public health. In the case of research articles using natural extracts, detailed information with respect to the origin, extraction method, chemical profiles, and characterization of standard compounds to ensure the reproducible pharmacological activity should be provided.
×
引用
GB/T 7714-2015
复制
MLA
复制
APA
复制
导出至
BibTeX EndNote RefMan NoteFirst NoteExpress
×
提示
您的信息不完整,为了账户安全,请先补充。
现在去补充
×
提示
您因"违规操作"
具体请查看互助需知
我知道了
×
提示
确定
请完成安全验证×
copy
已复制链接
快去分享给好友吧!
我知道了
右上角分享
点击右上角分享
0
联系我们:info@booksci.cn Book学术提供免费学术资源搜索服务,方便国内外学者检索中英文文献。致力于提供最便捷和优质的服务体验。 Copyright © 2023 布克学术 All rights reserved.
京ICP备2023020795号-1
ghs 京公网安备 11010802042870号
Book学术文献互助
Book学术文献互助群
群 号:604180095
Book学术官方微信