Age-related changes in the impact of metabolic syndrome on prostate volume: a cross-sectional study.

IF 2.7
Asian journal of andrology Pub Date : 2025-07-01 Epub Date: 2025-01-07 DOI:10.4103/aja2024101
Guo-Rong Yang, Chao Lv, Kai-Kai Lv, Yang-Yang Wu, Xiao-Wei Hao, Qing Yuan, Tao Song
{"title":"Age-related changes in the impact of metabolic syndrome on prostate volume: a cross-sectional study.","authors":"Guo-Rong Yang, Chao Lv, Kai-Kai Lv, Yang-Yang Wu, Xiao-Wei Hao, Qing Yuan, Tao Song","doi":"10.4103/aja2024101","DOIUrl":null,"url":null,"abstract":"<p><strong>Abstract: </strong>This study investigated the impact of metabolic syndrome (MetS) and its components on prostate volume (PV) in the general Chinese population. In total, 43 455 participants in The First Medical Center of the Chinese PLA General Hospital (Beijing, China) from January 1, 2012, to December 31, 2022, undergoing health examinations were included in the study. Participants were categorized into four groups according to PV quartiles: Q1 (PV ≤24.94 ml), Q2 (PV >24.94 ml and ≤28.78 ml), Q3 (PV >28.78 ml and ≤34.07 ml), and Q4 (PV >34.07 ml), with Q1 serving as the reference group. Logistic regression analyses were used to examine the association between MetS and PV, with subgroup analyses conducted by age. Among the participants, 18 787 (43.2%) were diagnosed with MetS. In the multivariate analysis model, a significant correlation between MetS and PV was observed, with odds ratios (ORs) increasing as PV increased (Q2, OR = 1.203, 95% confidence interval [CI]: 1.139-1.271; Q3, OR = 1.300, 95% CI: 1.230-1.373; and Q4, OR = 1.556, 95% CI: 1.469-1.648). Analysis of MetS components revealed that all components were positively associated with PV, with abdominal obesity showing the most significant effect. The number of MetS components was identified as a dose-dependent risk factor for elevated PV. The impact of MetS, its components, and component count on PV exhibited a decreasing trend with advancing age. Overall, the influence of MetS, its components, and component count on PV was predominantly observed in the age groups of 40-49 years and 50-59 years. Early intervention targeting MetS can significantly alleviate the increase in PV, particularly benefiting individuals aged 40-59 years who have abdominal obesity.</p>","PeriodicalId":93889,"journal":{"name":"Asian journal of andrology","volume":" ","pages":"475-481"},"PeriodicalIF":2.7000,"publicationDate":"2025-07-01","publicationTypes":"Journal Article","fieldsOfStudy":null,"isOpenAccess":false,"openAccessPdf":"https://www.ncbi.nlm.nih.gov/pmc/articles/PMC12279354/pdf/","citationCount":"0","resultStr":null,"platform":"Semanticscholar","paperid":null,"PeriodicalName":"Asian journal of andrology","FirstCategoryId":"1085","ListUrlMain":"https://doi.org/10.4103/aja2024101","RegionNum":0,"RegionCategory":null,"ArticlePicture":[],"TitleCN":null,"AbstractTextCN":null,"PMCID":null,"EPubDate":"2025/1/7 0:00:00","PubModel":"Epub","JCR":"","JCRName":"","Score":null,"Total":0}
引用次数: 0

Abstract

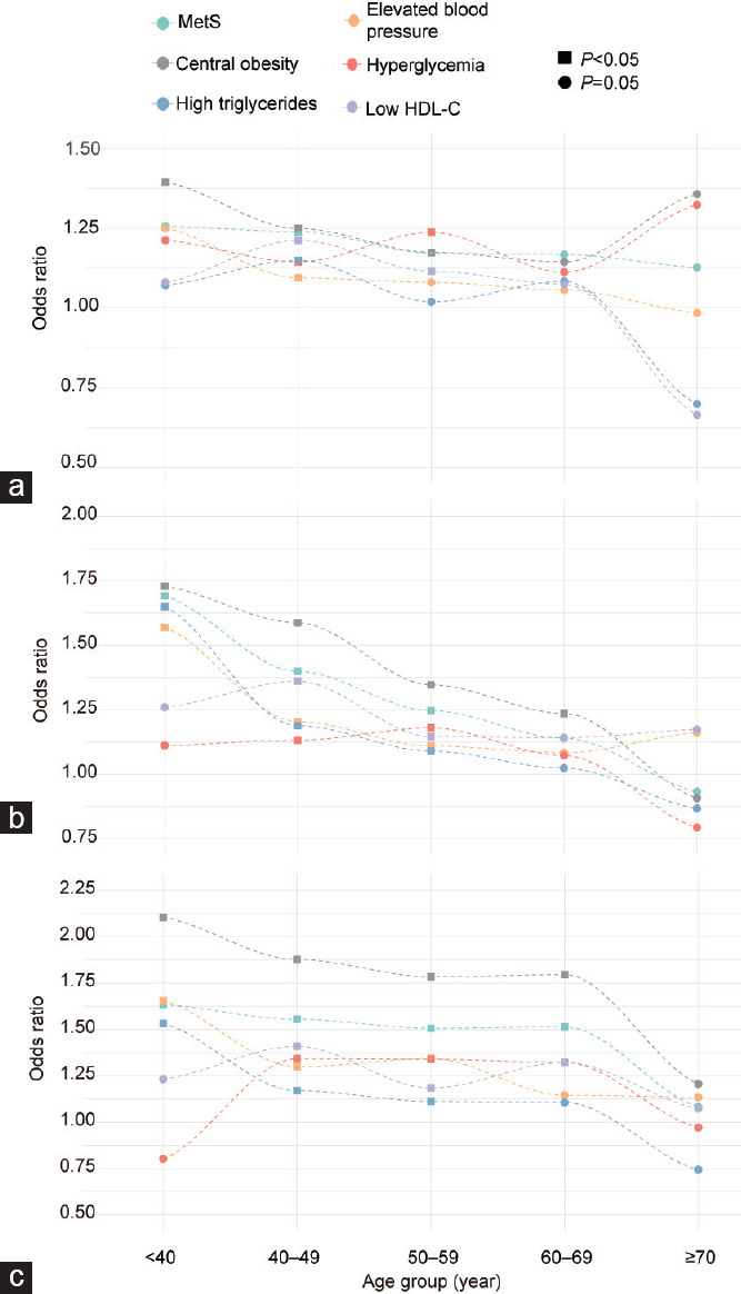
Abstract: This study investigated the impact of metabolic syndrome (MetS) and its components on prostate volume (PV) in the general Chinese population. In total, 43 455 participants in The First Medical Center of the Chinese PLA General Hospital (Beijing, China) from January 1, 2012, to December 31, 2022, undergoing health examinations were included in the study. Participants were categorized into four groups according to PV quartiles: Q1 (PV ≤24.94 ml), Q2 (PV >24.94 ml and ≤28.78 ml), Q3 (PV >28.78 ml and ≤34.07 ml), and Q4 (PV >34.07 ml), with Q1 serving as the reference group. Logistic regression analyses were used to examine the association between MetS and PV, with subgroup analyses conducted by age. Among the participants, 18 787 (43.2%) were diagnosed with MetS. In the multivariate analysis model, a significant correlation between MetS and PV was observed, with odds ratios (ORs) increasing as PV increased (Q2, OR = 1.203, 95% confidence interval [CI]: 1.139-1.271; Q3, OR = 1.300, 95% CI: 1.230-1.373; and Q4, OR = 1.556, 95% CI: 1.469-1.648). Analysis of MetS components revealed that all components were positively associated with PV, with abdominal obesity showing the most significant effect. The number of MetS components was identified as a dose-dependent risk factor for elevated PV. The impact of MetS, its components, and component count on PV exhibited a decreasing trend with advancing age. Overall, the influence of MetS, its components, and component count on PV was predominantly observed in the age groups of 40-49 years and 50-59 years. Early intervention targeting MetS can significantly alleviate the increase in PV, particularly benefiting individuals aged 40-59 years who have abdominal obesity.

Abstract Image

Abstract Image

Abstract Image

代谢综合征对前列腺体积影响的年龄相关变化:一项横断面研究
摘要:本研究旨在探讨代谢综合征(MetS)及其成分对中国普通人群前列腺体积(PV)的影响。共纳入2012年1月1日至2022年12月31日在中国人民解放军总医院第一医学中心(中国北京)接受健康检查的43455名参与者。根据PV四分位数将参与者分为四组:Q1 (PV≤24.94 ml), Q2 (PV >24.94 ml≤28.78 ml), Q3 (PV >28.78 ml≤34.07 ml)和Q4 (PV >34.07 ml),其中Q1为参照组。采用Logistic回归分析检验MetS与PV之间的关系,并按年龄进行亚组分析。在参与者中,18787人(43.2%)被诊断为MetS。在多变量分析模型中,观察到MetS与PV之间存在显著相关性,比值比(ORs)随着PV的增加而增加(Q2, OR = 1.203, 95%可信区间[CI]: 1.139-1.271;Q3, or = 1.300, 95% ci: 1.230-1.373;Q4, OR = 1.556, 95% CI: 1.469-1.648)。对MetS成分的分析显示,所有成分都与PV呈正相关,其中腹部肥胖的影响最为显著。MetS成分的数量被确定为PV升高的剂量依赖性危险因素。随着年龄的增长,代谢产物及其成分、成分计数对PV的影响呈下降趋势。总体而言,MetS及其成分和成分计数对PV的影响主要见于40-49岁和50-59岁年龄组。针对MetS的早期干预可以显著缓解PV的增加,尤其有益于40-59岁的腹部肥胖患者。
本文章由计算机程序翻译,如有差异,请以英文原文为准。
求助全文
约1分钟内获得全文 求助全文
来源期刊
自引率
0.00%
发文量
0
×
引用
GB/T 7714-2015
复制
MLA
复制
APA
复制
导出至
BibTeX EndNote RefMan NoteFirst NoteExpress
×
提示
您的信息不完整,为了账户安全,请先补充。
现在去补充
×
提示
您因"违规操作"
具体请查看互助需知
我知道了
×
提示
确定
请完成安全验证×
copy
已复制链接
快去分享给好友吧!
我知道了
右上角分享
点击右上角分享
0
联系我们:info@booksci.cn Book学术提供免费学术资源搜索服务,方便国内外学者检索中英文文献。致力于提供最便捷和优质的服务体验。 Copyright © 2023 布克学术 All rights reserved.
京ICP备2023020795号-1
ghs 京公网安备 11010802042870号
Book学术文献互助
Book学术文献互助群
群 号:604180095
Book学术官方微信