From the ocean to our kitchen table: anthropogenic particles in the edible tissue of U.S. West Coast seafood species.

IF 4.6 Q2 TOXICOLOGY
Frontiers in toxicology Pub Date : 2024-12-24 eCollection Date: 2024-01-01 DOI:10.3389/ftox.2024.1469995
Summer D Traylor, Elise F Granek, Marilyn Duncan, Susanne M Brander
{"title":"From the ocean to our kitchen table: anthropogenic particles in the edible tissue of U.S. West Coast seafood species.","authors":"Summer D Traylor, Elise F Granek, Marilyn Duncan, Susanne M Brander","doi":"10.3389/ftox.2024.1469995","DOIUrl":null,"url":null,"abstract":"<p><p>Microplastics (MPs) and other anthropogenic particles (APs) are pervasive environmental contaminants found throughout marine and aquatic environments. We quantified APs in the edible tissue of black rockfish, lingcod, Chinook salmon, Pacific herring, Pacific lamprey, and pink shrimp, comparing AP burdens across trophic levels and between vessel-retrieved and retail-purchased individuals. Edible tissue was digested and analyzed under a microscope, and a subset of suspected APs was identified using spectroscopy (μFTIR). Anthropogenic particles were found in 180 of 182 individuals. Finfish contained 0.02-1.08 AP/g of muscle tissue. In pink shrimp (<i>Pandalus jordani</i>), the average AP/g was 10.68 for vessel-retrieved and 7.63 for retail-purchased samples; however, APs/g of tissue were higher in retail-purchased lingcod than vessel-retrieved lingcod, signaling possible added contamination during processing from ocean to market. Riverine young adult Pacific lamprey contained higher concentrations of APs (1 AP/g ±0.59) than ocean phase adults (0.60 AP/g ±0.80 and <i>p</i> = 0.08). Particle types identified were 82% fibers, 17% fragments, and 0.66% films. These findings suggest a need for further research into technologies and strategies to reduce microfiber pollution entering the environment.</p>","PeriodicalId":73111,"journal":{"name":"Frontiers in toxicology","volume":"6 ","pages":"1469995"},"PeriodicalIF":4.6000,"publicationDate":"2024-12-24","publicationTypes":"Journal Article","fieldsOfStudy":null,"isOpenAccess":false,"openAccessPdf":"https://www.ncbi.nlm.nih.gov/pmc/articles/PMC11703854/pdf/","citationCount":"0","resultStr":null,"platform":"Semanticscholar","paperid":null,"PeriodicalName":"Frontiers in toxicology","FirstCategoryId":"1085","ListUrlMain":"https://doi.org/10.3389/ftox.2024.1469995","RegionNum":0,"RegionCategory":null,"ArticlePicture":[],"TitleCN":null,"AbstractTextCN":null,"PMCID":null,"EPubDate":"2024/1/1 0:00:00","PubModel":"eCollection","JCR":"Q2","JCRName":"TOXICOLOGY","Score":null,"Total":0}
引用次数: 0

Abstract

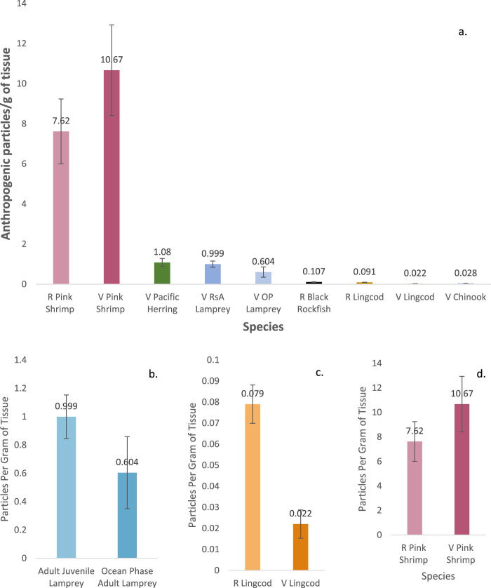
Microplastics (MPs) and other anthropogenic particles (APs) are pervasive environmental contaminants found throughout marine and aquatic environments. We quantified APs in the edible tissue of black rockfish, lingcod, Chinook salmon, Pacific herring, Pacific lamprey, and pink shrimp, comparing AP burdens across trophic levels and between vessel-retrieved and retail-purchased individuals. Edible tissue was digested and analyzed under a microscope, and a subset of suspected APs was identified using spectroscopy (μFTIR). Anthropogenic particles were found in 180 of 182 individuals. Finfish contained 0.02-1.08 AP/g of muscle tissue. In pink shrimp (Pandalus jordani), the average AP/g was 10.68 for vessel-retrieved and 7.63 for retail-purchased samples; however, APs/g of tissue were higher in retail-purchased lingcod than vessel-retrieved lingcod, signaling possible added contamination during processing from ocean to market. Riverine young adult Pacific lamprey contained higher concentrations of APs (1 AP/g ±0.59) than ocean phase adults (0.60 AP/g ±0.80 and p = 0.08). Particle types identified were 82% fibers, 17% fragments, and 0.66% films. These findings suggest a need for further research into technologies and strategies to reduce microfiber pollution entering the environment.

Abstract Image

Abstract Image

Abstract Image

从海洋到我们的餐桌:美国西海岸海产品可食用组织中的人为颗粒。
微塑料(MPs)和其他人为颗粒(APs)是在海洋和水生环境中普遍存在的环境污染物。我们量化了黑岩鱼、蓝鳕、奇努克鲑鱼、太平洋鲱鱼、太平洋七鳃鳗和粉红虾的可食用组织中的AP,比较了不同营养水平以及船舶打捞和零售购买个体之间的AP负担。在显微镜下对食用组织进行消化和分析,并用μFTIR光谱鉴定了一部分疑似APs。182个人中有180人体内发现了人为颗粒。鳍鱼的肌肉组织含量为0.02 ~ 1.08 AP/g。在粉红虾(Pandalus jordani)中,船采样品的平均AP/g为10.68,零售采购样品的平均AP/g为7.63;然而,零售购买的灵鳕鱼的组织APs/g高于船舶回收的灵鳕鱼,这表明从海洋到市场的加工过程中可能增加了污染。河流期太平洋七鳃鳗幼鱼的APs含量(1 AP/g±0.59)高于海洋期成鱼(0.60 AP/g±0.80,p = 0.08)。鉴定出的颗粒类型有82%为纤维,17%为碎片,0.66%为薄膜。这些发现表明需要进一步研究减少进入环境的超细纤维污染的技术和策略。
本文章由计算机程序翻译,如有差异,请以英文原文为准。
求助全文
约1分钟内获得全文 求助全文
来源期刊
CiteScore
3.80
自引率
0.00%
发文量
0
审稿时长
13 weeks
×
引用
GB/T 7714-2015
复制
MLA
复制
APA
复制
导出至
BibTeX EndNote RefMan NoteFirst NoteExpress
×
提示
您的信息不完整,为了账户安全,请先补充。
现在去补充
×
提示
您因"违规操作"
具体请查看互助需知
我知道了
×
提示
确定
请完成安全验证×
copy
已复制链接
快去分享给好友吧!
我知道了
右上角分享
点击右上角分享
0
联系我们:info@booksci.cn Book学术提供免费学术资源搜索服务,方便国内外学者检索中英文文献。致力于提供最便捷和优质的服务体验。 Copyright © 2023 布克学术 All rights reserved.
京ICP备2023020795号-1
ghs 京公网安备 11010802042870号
Book学术文献互助
Book学术文献互助群
群 号:604180095
Book学术官方微信