Safety and Tolerability of Wharton's Jelly-Derived Mesenchymal Stem Cells for Patients With Duchenne Muscular Dystrophy: A Phase 1 Clinical Study.

IF 3.1 3区 医学 Q2 CLINICAL NEUROLOGY
Jiwon Lee, Sang Eon Park, Mira Kim, Hyeongseop Kim, Jeong-Yi Kwon, Hong Bae Jeon, Jong Wook Chang, Jeehun Lee
{"title":"Safety and Tolerability of Wharton's Jelly-Derived Mesenchymal Stem Cells for Patients With Duchenne Muscular Dystrophy: A Phase 1 Clinical Study.","authors":"Jiwon Lee, Sang Eon Park, Mira Kim, Hyeongseop Kim, Jeong-Yi Kwon, Hong Bae Jeon, Jong Wook Chang, Jeehun Lee","doi":"10.3988/jcn.2024.0299","DOIUrl":null,"url":null,"abstract":"<p><strong>Background and purpose: </strong>This study was an open-label, dose-escalation, phase 1 clinical trial to determine the safety and dose of EN001 for patients with Duchenne muscular dystrophy (DMD). EN001, developed by ENCell, are allogeneic early-passage Wharton's jelly-derived mesenchymal stem cells that originate at the umbilical cord, with preclinical studies demonstrating their high therapeutic efficacy for DMD.</p><p><strong>Methods: </strong>This phase 1 clinical trial explored the safety and tolerability of EN001 as a potential treatment option for patients with DMD. Six pediatric participants with DMD were divided into two subgroups of equal size: low-dose EN001 (5.0×10⁵ cells/kg) and high-dose EN001 (2.5×10⁶ cells/kg). All participants were monitored for 12 weeks after EN001 administration to assess its safety. Dose-limiting toxicity (DLT) was evaluated across 2 weeks post administration. Exploratory efficacy was evaluated by measuring serum creatine kinase levels, and functional evaluations-including spirometry, myometry, the North Star Ambulatory Assessment, and the 6-minute walk test-were conducted at week 12 and compared with the baseline values.</p><p><strong>Results: </strong>No participants experienced serious adverse events related to EN001 injection during the 12-week follow-up period. Mild adverse events included injection-related local erythema, edema, parosmia, and headache, but DLT was not observed. Functional evaluations at week 12 revealed no significant changes from baseline.</p><p><strong>Conclusions: </strong>These results demonstrated that EN001 are safe and well tolerated for patients with DMD, and did not cause serious adverse events. The efficacy of EN001 could be confirmed through larger-scale future studies that incorporate repeated dosing and have a randomized controlled trial design.</p>","PeriodicalId":15432,"journal":{"name":"Journal of Clinical Neurology","volume":"21 1","pages":"40-52"},"PeriodicalIF":3.1000,"publicationDate":"2025-01-01","publicationTypes":"Journal Article","fieldsOfStudy":null,"isOpenAccess":false,"openAccessPdf":"https://www.ncbi.nlm.nih.gov/pmc/articles/PMC11711273/pdf/","citationCount":"0","resultStr":null,"platform":"Semanticscholar","paperid":null,"PeriodicalName":"Journal of Clinical Neurology","FirstCategoryId":"3","ListUrlMain":"https://doi.org/10.3988/jcn.2024.0299","RegionNum":3,"RegionCategory":"医学","ArticlePicture":[],"TitleCN":null,"AbstractTextCN":null,"PMCID":null,"EPubDate":"","PubModel":"","JCR":"Q2","JCRName":"CLINICAL NEUROLOGY","Score":null,"Total":0}
引用次数: 0

Abstract

Background and purpose: This study was an open-label, dose-escalation, phase 1 clinical trial to determine the safety and dose of EN001 for patients with Duchenne muscular dystrophy (DMD). EN001, developed by ENCell, are allogeneic early-passage Wharton's jelly-derived mesenchymal stem cells that originate at the umbilical cord, with preclinical studies demonstrating their high therapeutic efficacy for DMD.

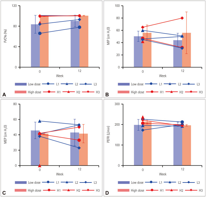
Methods: This phase 1 clinical trial explored the safety and tolerability of EN001 as a potential treatment option for patients with DMD. Six pediatric participants with DMD were divided into two subgroups of equal size: low-dose EN001 (5.0×10⁵ cells/kg) and high-dose EN001 (2.5×10⁶ cells/kg). All participants were monitored for 12 weeks after EN001 administration to assess its safety. Dose-limiting toxicity (DLT) was evaluated across 2 weeks post administration. Exploratory efficacy was evaluated by measuring serum creatine kinase levels, and functional evaluations-including spirometry, myometry, the North Star Ambulatory Assessment, and the 6-minute walk test-were conducted at week 12 and compared with the baseline values.

Results: No participants experienced serious adverse events related to EN001 injection during the 12-week follow-up period. Mild adverse events included injection-related local erythema, edema, parosmia, and headache, but DLT was not observed. Functional evaluations at week 12 revealed no significant changes from baseline.

Conclusions: These results demonstrated that EN001 are safe and well tolerated for patients with DMD, and did not cause serious adverse events. The efficacy of EN001 could be confirmed through larger-scale future studies that incorporate repeated dosing and have a randomized controlled trial design.

Abstract Image

Abstract Image

Abstract Image

沃顿果冻源间充质干细胞治疗杜氏肌营养不良患者的安全性和耐受性:一项1期临床研究
背景和目的:本研究是一项开放标签、剂量递增的1期临床试验,旨在确定EN001治疗杜氏肌营养不良(DMD)患者的安全性和剂量。EN001是由ENCell公司开发的同种异体早期传代沃顿氏凝胶间充质干细胞,起源于脐带,临床前研究表明其对DMD的治疗效果很高。方法:这项i期临床试验探讨了EN001作为DMD患者的潜在治疗选择的安全性和耐受性。6名患有DMD的儿科参与者被分为两个大小相同的亚组:低剂量EN001 (5.0×10⁶细胞/kg)和高剂量EN001 (2.5×10⁶细胞/kg)。所有参与者在服用EN001后进行了12周的监测,以评估其安全性。剂量限制性毒性(DLT)在给药后2周内进行评估。通过测量血清肌酸激酶水平来评估探索性疗效,并在第12周进行功能评估,包括肺活量测定、肌量测定、北极星动态评估和6分钟步行测试,并与基线值进行比较。结果:在12周的随访期间,没有参与者发生与EN001注射相关的严重不良事件。轻度不良事件包括注射相关的局部红斑、水肿、腮红和头痛,但未观察到DLT。第12周的功能评估显示与基线相比没有显著变化。结论:这些结果表明EN001对于DMD患者是安全且耐受性良好的,并且没有引起严重的不良事件。EN001的疗效可以通过未来更大规模的研究来证实,这些研究包括重复给药和随机对照试验设计。
本文章由计算机程序翻译,如有差异,请以英文原文为准。
求助全文
约1分钟内获得全文 求助全文
来源期刊
Journal of Clinical Neurology
Journal of Clinical Neurology 医学-临床神经学
CiteScore
4.50
自引率
6.50%
发文量
0
审稿时长
>12 weeks
期刊介绍: The JCN aims to publish the cutting-edge research from around the world. The JCN covers clinical and translational research for physicians and researchers in the field of neurology. Encompassing the entire neurological diseases, our main focus is on the common disorders including stroke, epilepsy, Parkinson''s disease, dementia, multiple sclerosis, headache, and peripheral neuropathy. Any authors affiliated with an accredited biomedical institution may submit manuscripts of original articles, review articles, and letters to the editor. The JCN will allow clinical neurologists to enrich their knowledge of patient management, education, and clinical or experimental research, and hence their professionalism.
×
引用
GB/T 7714-2015
复制
MLA
复制
APA
复制
导出至
BibTeX EndNote RefMan NoteFirst NoteExpress
×
提示
您的信息不完整,为了账户安全,请先补充。
现在去补充
×
提示
您因"违规操作"
具体请查看互助需知
我知道了
×
提示
确定
请完成安全验证×
copy
已复制链接
快去分享给好友吧!
我知道了
右上角分享
点击右上角分享
0
联系我们:info@booksci.cn Book学术提供免费学术资源搜索服务,方便国内外学者检索中英文文献。致力于提供最便捷和优质的服务体验。 Copyright © 2023 布克学术 All rights reserved.
京ICP备2023020795号-1
ghs 京公网安备 11010802042870号
Book学术文献互助
Book学术文献互助群
群 号:604180095
Book学术官方微信