Predicting All-Cause Mortality in Patients With Obstructive Sleep Apnea Using Sleep-Related Features: A Machine-Learning Approach.

IF 3.1 3区 医学 Q2 CLINICAL NEUROLOGY
Hyun-Ji Kim, Hakseung Kim, Dong-Joo Kim
{"title":"Predicting All-Cause Mortality in Patients With Obstructive Sleep Apnea Using Sleep-Related Features: A Machine-Learning Approach.","authors":"Hyun-Ji Kim, Hakseung Kim, Dong-Joo Kim","doi":"10.3988/jcn.2024.0038","DOIUrl":null,"url":null,"abstract":"<p><strong>Background and purpose: </strong>Obstructive sleep apnea (OSA) is associated with an increased risk of adverse outcomes, including mortality. Machine-learning algorithms have shown potential in predicting clinical outcomes in patients with OSA. This study aimed to develop and evaluate a machine-learning algorithm for predicting 10- and 15-year all-cause mortality in patients with OSA.</p><p><strong>Methods: </strong>Patients with OSA were stratified into deceased and alive groups based on mortality outcomes. Various sleep-related features were analyzed, including objective sleep measures and the heart-rate variability during various sleep stages. The light gradient-boosting machine (LGBM) algorithm was employed to construct a risk-stratification model. The predictive performance of the model was assessed using the area under the receiver operating characteristic curve (AUC) for predicting mortality over 10 and 15 years. Survival analysis was conducted using Kaplan-Meier plots and Cox proportional-hazards model.</p><p><strong>Results: </strong>This study found that parasympathetic activity was higher in OSA patients with worse outcomes than in those with better outcomes. The LGBM-based prediction model with sleep-related features was moderately accurate, with a mean AUC of 0.806 for predicting 10- and 15-year mortality. Furthermore, survival analysis demonstrated that LGBM could significantly distinguish the high- and low-risk groups, as evidenced by Kaplan-Meier plots and Cox regression results.</p><p><strong>Conclusions: </strong>This study has confirmed the potential of sleep-related feature analysis and the LGBM algorithm for evaluating the mortality risk in OSA patients. The developed risk-stratification model offers an efficient and interpretable tool for clinicians that emphasizes the significance of patient-specific autonomic responses in mortality prediction. Incorporating survival analysis further validated the robustness of the model in predicting long-term outcomes.</p>","PeriodicalId":15432,"journal":{"name":"Journal of Clinical Neurology","volume":"21 1","pages":"53-64"},"PeriodicalIF":3.1000,"publicationDate":"2025-01-01","publicationTypes":"Journal Article","fieldsOfStudy":null,"isOpenAccess":false,"openAccessPdf":"https://www.ncbi.nlm.nih.gov/pmc/articles/PMC11711268/pdf/","citationCount":"0","resultStr":null,"platform":"Semanticscholar","paperid":null,"PeriodicalName":"Journal of Clinical Neurology","FirstCategoryId":"3","ListUrlMain":"https://doi.org/10.3988/jcn.2024.0038","RegionNum":3,"RegionCategory":"医学","ArticlePicture":[],"TitleCN":null,"AbstractTextCN":null,"PMCID":null,"EPubDate":"","PubModel":"","JCR":"Q2","JCRName":"CLINICAL NEUROLOGY","Score":null,"Total":0}
引用次数: 0

Abstract

Background and purpose: Obstructive sleep apnea (OSA) is associated with an increased risk of adverse outcomes, including mortality. Machine-learning algorithms have shown potential in predicting clinical outcomes in patients with OSA. This study aimed to develop and evaluate a machine-learning algorithm for predicting 10- and 15-year all-cause mortality in patients with OSA.

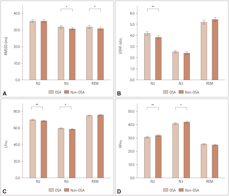
Methods: Patients with OSA were stratified into deceased and alive groups based on mortality outcomes. Various sleep-related features were analyzed, including objective sleep measures and the heart-rate variability during various sleep stages. The light gradient-boosting machine (LGBM) algorithm was employed to construct a risk-stratification model. The predictive performance of the model was assessed using the area under the receiver operating characteristic curve (AUC) for predicting mortality over 10 and 15 years. Survival analysis was conducted using Kaplan-Meier plots and Cox proportional-hazards model.

Results: This study found that parasympathetic activity was higher in OSA patients with worse outcomes than in those with better outcomes. The LGBM-based prediction model with sleep-related features was moderately accurate, with a mean AUC of 0.806 for predicting 10- and 15-year mortality. Furthermore, survival analysis demonstrated that LGBM could significantly distinguish the high- and low-risk groups, as evidenced by Kaplan-Meier plots and Cox regression results.

Conclusions: This study has confirmed the potential of sleep-related feature analysis and the LGBM algorithm for evaluating the mortality risk in OSA patients. The developed risk-stratification model offers an efficient and interpretable tool for clinicians that emphasizes the significance of patient-specific autonomic responses in mortality prediction. Incorporating survival analysis further validated the robustness of the model in predicting long-term outcomes.

Abstract Image

Abstract Image

Abstract Image

使用睡眠相关特征预测阻塞性睡眠呼吸暂停患者的全因死亡率:一种机器学习方法
背景和目的:阻塞性睡眠呼吸暂停(OSA)与包括死亡率在内的不良结局风险增加相关。机器学习算法在预测OSA患者的临床结果方面显示出潜力。本研究旨在开发和评估一种机器学习算法,用于预测OSA患者10年和15年的全因死亡率。方法:根据死亡结果将OSA患者分为死亡组和存活组。分析了各种与睡眠相关的特征,包括客观睡眠测量和不同睡眠阶段的心率变异性。采用光梯度增强机(LGBM)算法构建风险分层模型。使用受试者工作特征曲线下面积(AUC)来评估模型预测10年和15年死亡率的预测性能。生存率分析采用Kaplan-Meier图和Cox比例风险模型。结果:本研究发现,预后较差的OSA患者的副交感神经活动高于预后较好的OSA患者。具有睡眠相关特征的基于lgbm的预测模型具有中等准确性,预测10年和15年死亡率的平均AUC为0.806。此外,生存分析表明,Kaplan-Meier图和Cox回归结果表明,LGBM可以显著区分高危组和低危组。结论:本研究证实了睡眠相关特征分析和LGBM算法在评估OSA患者死亡风险中的潜力。开发的风险分层模型为临床医生提供了一种有效且可解释的工具,强调了患者特异性自主神经反应在死亡率预测中的重要性。结合生存分析进一步验证了该模型在预测长期预后方面的稳健性。
本文章由计算机程序翻译,如有差异,请以英文原文为准。
求助全文
约1分钟内获得全文 求助全文
来源期刊
Journal of Clinical Neurology
Journal of Clinical Neurology 医学-临床神经学
CiteScore
4.50
自引率
6.50%
发文量
0
审稿时长
>12 weeks
期刊介绍: The JCN aims to publish the cutting-edge research from around the world. The JCN covers clinical and translational research for physicians and researchers in the field of neurology. Encompassing the entire neurological diseases, our main focus is on the common disorders including stroke, epilepsy, Parkinson''s disease, dementia, multiple sclerosis, headache, and peripheral neuropathy. Any authors affiliated with an accredited biomedical institution may submit manuscripts of original articles, review articles, and letters to the editor. The JCN will allow clinical neurologists to enrich their knowledge of patient management, education, and clinical or experimental research, and hence their professionalism.
×
引用
GB/T 7714-2015
复制
MLA
复制
APA
复制
导出至
BibTeX EndNote RefMan NoteFirst NoteExpress
×
提示
您的信息不完整,为了账户安全,请先补充。
现在去补充
×
提示
您因"违规操作"
具体请查看互助需知
我知道了
×
提示
确定
请完成安全验证×
copy
已复制链接
快去分享给好友吧!
我知道了
右上角分享
点击右上角分享
0
联系我们:info@booksci.cn Book学术提供免费学术资源搜索服务,方便国内外学者检索中英文文献。致力于提供最便捷和优质的服务体验。 Copyright © 2023 布克学术 All rights reserved.
京ICP备2023020795号-1
ghs 京公网安备 11010802042870号
Book学术文献互助
Book学术文献互助群
群 号:604180095
Book学术官方微信