Relationship between Cancer Incidence and Health Behaviors from Ecological Study in Korea.

IF 1.8 Q3 ONCOLOGY
Kwang-Pil Ko
{"title":"Relationship between Cancer Incidence and Health Behaviors from Ecological Study in Korea.","authors":"Kwang-Pil Ko","doi":"10.15430/JCP.24.025","DOIUrl":null,"url":null,"abstract":"<p><p>The aim of this ecological study was to examine the correlation between cancer incidence and health behaviors such as smoking, alcohol consumption, and obesity, and investigated whether there were differences in this correlation between metropolitan areas and other regions. Data on health behaviors exposure/prevalence and cancer incidence rates for 227 administrative districts (cities and counties) were obtained. The average exposure proportion measured annually from 2008 to 2011 in the Korea Community Health Survey data and the age-standardized cancer incidence data from 2014 to 2018, obtained through the cancer registry data, were downloaded from the Statistics Korea website. To examine the relationship between smoking, alcohol consumption, obesity exposure rate (prevalence), and cancer incidence, a correlation analysis was conducted, and Pearson's correlation coefficient was calculated. The correlation coefficient between male smoking and male cancer incidence rate across 227 districts was 0.259. This significance was more pronounced in large metropolitan areas, where the correlation coefficient was 0.631 in the 73 districts belonging to these areas. In large metropolitan areas, the correlation coefficient between alcohol consumption rate and cancer incidence rate was 0.390. In the correlation analysis between obesity prevalence and cancer incidence rate, no correlation was found in large metropolitan areas, while in areas outside of large cities, the correlation coefficient was -0.295, indicating a significant negative correlation. This ecological study demonstrated that the relationship between cancer incidence and health behaviors differed between large metropolitan areas and areas outside of large cities.</p>","PeriodicalId":15120,"journal":{"name":"Journal of Cancer Prevention","volume":"29 4","pages":"185-189"},"PeriodicalIF":1.8000,"publicationDate":"2024-12-30","publicationTypes":"Journal Article","fieldsOfStudy":null,"isOpenAccess":false,"openAccessPdf":"https://www.ncbi.nlm.nih.gov/pmc/articles/PMC11706724/pdf/","citationCount":"0","resultStr":null,"platform":"Semanticscholar","paperid":null,"PeriodicalName":"Journal of Cancer Prevention","FirstCategoryId":"1085","ListUrlMain":"https://doi.org/10.15430/JCP.24.025","RegionNum":0,"RegionCategory":null,"ArticlePicture":[],"TitleCN":null,"AbstractTextCN":null,"PMCID":null,"EPubDate":"","PubModel":"","JCR":"Q3","JCRName":"ONCOLOGY","Score":null,"Total":0}
引用次数: 0

Abstract

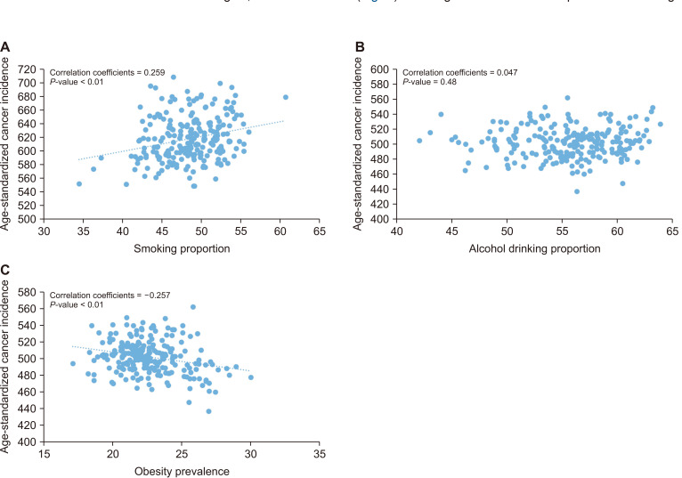
The aim of this ecological study was to examine the correlation between cancer incidence and health behaviors such as smoking, alcohol consumption, and obesity, and investigated whether there were differences in this correlation between metropolitan areas and other regions. Data on health behaviors exposure/prevalence and cancer incidence rates for 227 administrative districts (cities and counties) were obtained. The average exposure proportion measured annually from 2008 to 2011 in the Korea Community Health Survey data and the age-standardized cancer incidence data from 2014 to 2018, obtained through the cancer registry data, were downloaded from the Statistics Korea website. To examine the relationship between smoking, alcohol consumption, obesity exposure rate (prevalence), and cancer incidence, a correlation analysis was conducted, and Pearson's correlation coefficient was calculated. The correlation coefficient between male smoking and male cancer incidence rate across 227 districts was 0.259. This significance was more pronounced in large metropolitan areas, where the correlation coefficient was 0.631 in the 73 districts belonging to these areas. In large metropolitan areas, the correlation coefficient between alcohol consumption rate and cancer incidence rate was 0.390. In the correlation analysis between obesity prevalence and cancer incidence rate, no correlation was found in large metropolitan areas, while in areas outside of large cities, the correlation coefficient was -0.295, indicating a significant negative correlation. This ecological study demonstrated that the relationship between cancer incidence and health behaviors differed between large metropolitan areas and areas outside of large cities.

Abstract Image

Abstract Image

韩国生态研究中癌症发病率与健康行为的关系
这项生态学研究的目的是研究癌症发病率与吸烟、饮酒和肥胖等健康行为之间的相关性,并调查大都市地区和其他地区之间这种相关性是否存在差异。获得了227个行政区(市、县)的健康行为暴露/患病率和癌症发病率数据。从统计厅网站上下载了2008 ~ 2011年韩国社区健康调查数据中每年测量的平均暴露率和通过癌症登记数据获得的2014 ~ 2018年年龄标准化癌症发病率数据。为了检验吸烟、饮酒、肥胖暴露率(患病率)与癌症发病率之间的关系,我们进行了相关分析,并计算了Pearson相关系数。227个地区男性吸烟与男性癌症发病率的相关系数为0.259。这种显著性在大都市圈中更为明显,在大都市圈所属的73个区中,相关系数为0.631。在大城市地区,饮酒率与癌症发病率的相关系数为0.390。在肥胖患病率与癌症发病率的相关分析中,大城市地区未发现相关,而大城市以外地区的相关系数为-0.295,呈显著负相关。这项生态学研究表明,癌症发病率与健康行为之间的关系在大城市地区和大城市以外地区有所不同。
本文章由计算机程序翻译,如有差异,请以英文原文为准。
求助全文
约1分钟内获得全文 求助全文
来源期刊
自引率
4.00%
发文量
32
×
引用
GB/T 7714-2015
复制
MLA
复制
APA
复制
导出至
BibTeX EndNote RefMan NoteFirst NoteExpress
×
提示
您的信息不完整,为了账户安全,请先补充。
现在去补充
×
提示
您因"违规操作"
具体请查看互助需知
我知道了
×
提示
确定
请完成安全验证×
copy
已复制链接
快去分享给好友吧!
我知道了
右上角分享
点击右上角分享
0
联系我们:info@booksci.cn Book学术提供免费学术资源搜索服务,方便国内外学者检索中英文文献。致力于提供最便捷和优质的服务体验。 Copyright © 2023 布克学术 All rights reserved.
京ICP备2023020795号-1
ghs 京公网安备 11010802042870号
Book学术文献互助
Book学术文献互助群
群 号:604180095
Book学术官方微信