Incidence of neutrophil extracellular traps (NETs) in different membrane oxygenators: pilot in vitro experiments in commercially available coated membranes.

IF 1.3 4区 医学 Q4 ENGINEERING, BIOMEDICAL
Journal of Artificial Organs Pub Date : 2025-09-01 Epub Date: 2025-01-08 DOI:10.1007/s10047-024-01486-4
M Foltan, D Dinh, M Gruber, T Müller, C Hart, L Krenkel, C Schmid, K Lehle
{"title":"Incidence of neutrophil extracellular traps (NETs) in different membrane oxygenators: pilot in vitro experiments in commercially available coated membranes.","authors":"M Foltan, D Dinh, M Gruber, T Müller, C Hart, L Krenkel, C Schmid, K Lehle","doi":"10.1007/s10047-024-01486-4","DOIUrl":null,"url":null,"abstract":"<p><p>Neutrophil extracellular traps (NETs) were detected in blood samples and in cellular deposits of oxygenator membranes during extracorporeal membrane oxygenation (ECMO) therapy and may be responsible for thrombogenesis. The aim was to evaluate the effect of the base material of gas fiber (GF, polymethylpentene) and heat exchange (HE) membranes and different antithrombogenic coatings on isolated granulocytes from healthy volunteers under static culture conditions. Contact of granulocytes with membranes from different ECMO oxygenators (with different surface coatings) and uncoated-GFs allowed detection of adherent cells and NETotic nuclear structures (normal, swollen, ruptured) using nuclear staining. Flow cytometry was used to identify cell activation (CD11b/CD62L, oxidative burst) of non-adherent cells. Uncoated-GFs were used as a reference. Within 3 h, granulocytes adhered to the same extent on all surfaces. In contrast, the ratio of normal to NETotic cells was significantly higher for uncoated-GFs (56-83%) compared to all coated GFs (34-72%) (p < 0.001) with no difference between the coatings. After material contact, non-adherent cells remained vital with unchanged oxidative burst function and the proportion of activated cells remained low. The expression of activation markers was independent of the origin of the GF material. In conclusion, the polymethylpentene surfaces of the GFs already induce NET formation. Antithrombogenic coatings can already reduce the proportion of NETotic nuclei. However, it cannot be ruled out that NET formation can induce thrombotic events. Therefore, new surfaces or coatings are required for future ECMO systems and long-term implantable artificial lungs.</p>","PeriodicalId":15177,"journal":{"name":"Journal of Artificial Organs","volume":" ","pages":"374-382"},"PeriodicalIF":1.3000,"publicationDate":"2025-09-01","publicationTypes":"Journal Article","fieldsOfStudy":null,"isOpenAccess":false,"openAccessPdf":"https://www.ncbi.nlm.nih.gov/pmc/articles/PMC12373553/pdf/","citationCount":"0","resultStr":null,"platform":"Semanticscholar","paperid":null,"PeriodicalName":"Journal of Artificial Organs","FirstCategoryId":"5","ListUrlMain":"https://doi.org/10.1007/s10047-024-01486-4","RegionNum":4,"RegionCategory":"医学","ArticlePicture":[],"TitleCN":null,"AbstractTextCN":null,"PMCID":null,"EPubDate":"2025/1/8 0:00:00","PubModel":"Epub","JCR":"Q4","JCRName":"ENGINEERING, BIOMEDICAL","Score":null,"Total":0}
引用次数: 0

Abstract

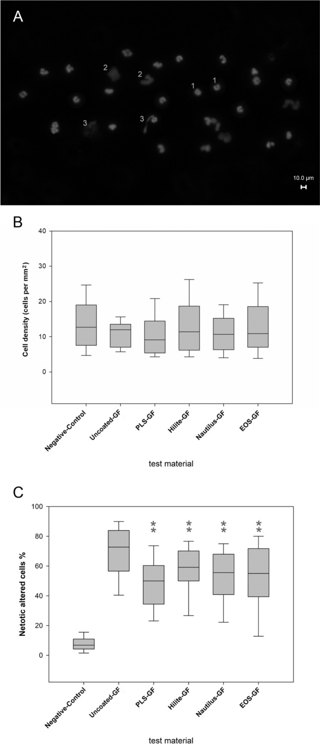
Neutrophil extracellular traps (NETs) were detected in blood samples and in cellular deposits of oxygenator membranes during extracorporeal membrane oxygenation (ECMO) therapy and may be responsible for thrombogenesis. The aim was to evaluate the effect of the base material of gas fiber (GF, polymethylpentene) and heat exchange (HE) membranes and different antithrombogenic coatings on isolated granulocytes from healthy volunteers under static culture conditions. Contact of granulocytes with membranes from different ECMO oxygenators (with different surface coatings) and uncoated-GFs allowed detection of adherent cells and NETotic nuclear structures (normal, swollen, ruptured) using nuclear staining. Flow cytometry was used to identify cell activation (CD11b/CD62L, oxidative burst) of non-adherent cells. Uncoated-GFs were used as a reference. Within 3 h, granulocytes adhered to the same extent on all surfaces. In contrast, the ratio of normal to NETotic cells was significantly higher for uncoated-GFs (56-83%) compared to all coated GFs (34-72%) (p < 0.001) with no difference between the coatings. After material contact, non-adherent cells remained vital with unchanged oxidative burst function and the proportion of activated cells remained low. The expression of activation markers was independent of the origin of the GF material. In conclusion, the polymethylpentene surfaces of the GFs already induce NET formation. Antithrombogenic coatings can already reduce the proportion of NETotic nuclei. However, it cannot be ruled out that NET formation can induce thrombotic events. Therefore, new surfaces or coatings are required for future ECMO systems and long-term implantable artificial lungs.

Abstract Image

Abstract Image

Abstract Image

中性粒细胞胞外陷阱(NETs)在不同膜氧合器中的发生率:市售涂覆膜的中试体外实验。
在体外膜氧合(ECMO)治疗期间,在血液样本和氧合器膜的细胞沉积物中检测到中性粒细胞细胞外陷阱(NETs),并可能负责血栓形成。目的是评价在静态培养条件下,气体纤维基材(GF,聚甲基戊烯)和热交换膜(HE)以及不同的抗血栓形成涂层对健康志愿者离体粒细胞的影响。粒细胞与来自不同ECMO氧合器(具有不同表面涂层)和未涂层gfs的膜接触,可以使用核染色检测贴壁细胞和NETotic核结构(正常,肿胀,破裂)。流式细胞术检测非贴壁细胞的细胞活化(CD11b/CD62L,氧化爆发)。以未涂覆的gfs作为参考。在3 h内,粒细胞在所有表面的粘附程度相同。相比之下,未包被的GFs中正常细胞与NETotic细胞的比例(56-83%)明显高于所有包被的GFs (34-72%)
本文章由计算机程序翻译,如有差异,请以英文原文为准。
求助全文
约1分钟内获得全文 求助全文
来源期刊
Journal of Artificial Organs
Journal of Artificial Organs 医学-工程:生物医学
CiteScore
2.80
自引率
15.40%
发文量
68
审稿时长
6-12 weeks
期刊介绍: The aim of the Journal of Artificial Organs is to introduce to colleagues worldwide a broad spectrum of important new achievements in the field of artificial organs, ranging from fundamental research to clinical applications. The scope of the Journal of Artificial Organs encompasses but is not restricted to blood purification, cardiovascular intervention, biomaterials, and artificial metabolic organs. Additionally, the journal will cover technical and industrial innovations. Membership in the Japanese Society for Artificial Organs is not a prerequisite for submission.
×
引用
GB/T 7714-2015
复制
MLA
复制
APA
复制
导出至
BibTeX EndNote RefMan NoteFirst NoteExpress
×
提示
您的信息不完整,为了账户安全,请先补充。
现在去补充
×
提示
您因"违规操作"
具体请查看互助需知
我知道了
×
提示
确定
请完成安全验证×
copy
已复制链接
快去分享给好友吧!
我知道了
右上角分享
点击右上角分享
0
联系我们:info@booksci.cn Book学术提供免费学术资源搜索服务,方便国内外学者检索中英文文献。致力于提供最便捷和优质的服务体验。 Copyright © 2023 布克学术 All rights reserved.
京ICP备2023020795号-1
ghs 京公网安备 11010802042870号
Book学术文献互助
Book学术文献互助群
群 号:604180095
Book学术官方微信