Evaluation of dietary quality in patients with functional gastrointestinal symptoms: a Norwegian single centre study.

IF 3.4 4区 医学 Q2 FOOD SCIENCE & TECHNOLOGY
Food & Nutrition Research Pub Date : 2024-12-23 eCollection Date: 2024-01-01 DOI:10.29219/fnr.v68.10692
Ida Marie Holm, Sissi Christiane Stove Lorentzen, Monica Hauger Carlsen, Jørgen Valeur, Tonje Mellin-Olsen, Hanna Fjeldheim Dale
{"title":"Evaluation of dietary quality in patients with functional gastrointestinal symptoms: a Norwegian single centre study.","authors":"Ida Marie Holm, Sissi Christiane Stove Lorentzen, Monica Hauger Carlsen, Jørgen Valeur, Tonje Mellin-Olsen, Hanna Fjeldheim Dale","doi":"10.29219/fnr.v68.10692","DOIUrl":null,"url":null,"abstract":"<p><strong>Background: </strong>Poor dietary quality has been described as a contributor to symptoms in subjects with functional gastrointestinal (GI) symptoms. Hitherto, the focus in dietary evaluation and treatment in this patient group has mainly been on avoiding individual nutrient deficiencies, and less attention has been given to the dietary pattern and the overall food quality. Hence, we aim to describe and evaluate the dietary quality in patients with functional GI symptoms.</p><p><strong>Methods: </strong>Patients with GI symptoms and a diagnosis of irritable bowel syndrome or inflammatory bowel disease in remission, consecutively referred to a clinical dietitian for nutritional guidance, were included. All participants completed a 7-day weighed food record. The intake of foods, energy, macro- and micronutrients was computed. Dietary quality was evaluated by intake frequencies based on a predefined food index, combined with assessing achievement of nutrient intake recommendations.</p><p><strong>Results: </strong>A total of 35 patients were included. Intake frequencies of red meat, cheese and sweets were high, whereas intake frequencies of green leafy vegetables, berries, nuts, whole grain and legumes were low. The total intake of vegetables, fruit, berries, fish and nuts was lower than current recommendations, and the intake corresponded to intake below recommendations for several micronutrients, including vitamins D, C and A; iodine; folate; potassium; and selenium.</p><p><strong>Conclusion: </strong>The group of patients with GI symptoms had overall inadequate dietary quality. Low intake of nutrient-dense food groups considered as beneficial for health corresponded with insufficient intake of several micronutrients. We recommend that dietary evaluation should focus on the intake of food groups, rather than nutrients, in the treatment of patients with functional GI symptoms, to ensure a better evaluation of dietary quality.</p>","PeriodicalId":12119,"journal":{"name":"Food & Nutrition Research","volume":"68 ","pages":""},"PeriodicalIF":3.4000,"publicationDate":"2024-12-23","publicationTypes":"Journal Article","fieldsOfStudy":null,"isOpenAccess":false,"openAccessPdf":"https://www.ncbi.nlm.nih.gov/pmc/articles/PMC11708516/pdf/","citationCount":"0","resultStr":null,"platform":"Semanticscholar","paperid":null,"PeriodicalName":"Food & Nutrition Research","FirstCategoryId":"97","ListUrlMain":"https://doi.org/10.29219/fnr.v68.10692","RegionNum":4,"RegionCategory":"医学","ArticlePicture":[],"TitleCN":null,"AbstractTextCN":null,"PMCID":null,"EPubDate":"2024/1/1 0:00:00","PubModel":"eCollection","JCR":"Q2","JCRName":"FOOD SCIENCE & TECHNOLOGY","Score":null,"Total":0}
引用次数: 0

Abstract

Background: Poor dietary quality has been described as a contributor to symptoms in subjects with functional gastrointestinal (GI) symptoms. Hitherto, the focus in dietary evaluation and treatment in this patient group has mainly been on avoiding individual nutrient deficiencies, and less attention has been given to the dietary pattern and the overall food quality. Hence, we aim to describe and evaluate the dietary quality in patients with functional GI symptoms.

Methods: Patients with GI symptoms and a diagnosis of irritable bowel syndrome or inflammatory bowel disease in remission, consecutively referred to a clinical dietitian for nutritional guidance, were included. All participants completed a 7-day weighed food record. The intake of foods, energy, macro- and micronutrients was computed. Dietary quality was evaluated by intake frequencies based on a predefined food index, combined with assessing achievement of nutrient intake recommendations.

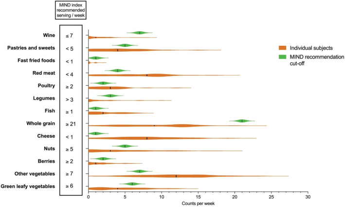
Results: A total of 35 patients were included. Intake frequencies of red meat, cheese and sweets were high, whereas intake frequencies of green leafy vegetables, berries, nuts, whole grain and legumes were low. The total intake of vegetables, fruit, berries, fish and nuts was lower than current recommendations, and the intake corresponded to intake below recommendations for several micronutrients, including vitamins D, C and A; iodine; folate; potassium; and selenium.

Conclusion: The group of patients with GI symptoms had overall inadequate dietary quality. Low intake of nutrient-dense food groups considered as beneficial for health corresponded with insufficient intake of several micronutrients. We recommend that dietary evaluation should focus on the intake of food groups, rather than nutrients, in the treatment of patients with functional GI symptoms, to ensure a better evaluation of dietary quality.

Abstract Image

评价功能性胃肠道症状患者的饮食质量:挪威单中心研究
背景:不良饮食质量被认为是功能性胃肠道(GI)症状的一个诱因。迄今为止,对该患者群体的饮食评价和治疗的重点主要是避免个体营养缺乏,对饮食模式和整体食物质量的关注较少。因此,我们的目的是描述和评估功能性胃肠道症状患者的饮食质量。方法:纳入有胃肠道症状并诊断为肠易激综合征或炎症性肠病缓解的患者,并连续转介给临床营养师进行营养指导。所有参与者都完成了一项为期7天的食物称重记录。计算食物、能量、宏量营养素和微量营养素的摄入量。膳食质量是根据预先设定的食物指数,结合营养摄入建议的评估成果,通过摄入频率来评估的。结果:共纳入35例患者。红肉、奶酪和糖果的摄入频率较高,而绿叶蔬菜、浆果、坚果、全谷物和豆类的摄入频率较低。蔬菜、水果、浆果、鱼类和坚果的总摄取量低于目前的建议摄取量,而包括维生素D、C和A在内的几种微量营养素的摄取量也低于建议摄取量;碘;叶酸;钾;和硒。结论:胃肠道症状组患者饮食质量总体欠佳。被认为对健康有益的营养密集食物的低摄入量与几种微量营养素的摄入不足相对应。我们建议,在治疗功能性胃肠道症状的患者时,饮食评估应侧重于食物组的摄入量,而不是营养素,以确保更好地评估饮食质量。
本文章由计算机程序翻译,如有差异,请以英文原文为准。
求助全文
约1分钟内获得全文 求助全文
来源期刊
Food & Nutrition Research
Food & Nutrition Research FOOD SCIENCE & TECHNOLOGY-NUTRITION & DIETETICS
CiteScore
5.20
自引率
9.10%
发文量
47
审稿时长
14 weeks
期刊介绍: Food & Nutrition Research is a peer-reviewed journal that presents the latest scientific research in various fields focusing on human nutrition. The journal publishes both quantitative and qualitative research papers. Through an Open Access publishing model, Food & Nutrition Research opens an important forum for researchers from academic and private arenas to exchange the latest results from research on human nutrition in a broad sense, both original papers and reviews, including: * Associations and effects of foods and nutrients on health * Dietary patterns and health * Molecular nutrition * Health claims on foods * Nutrition and cognitive functions * Nutritional effects of food composition and processing * Nutrition in developing countries * Animal and in vitro models with clear relevance for human nutrition * Nutrition and the Environment * Food and Nutrition Education * Nutrition and Economics Research papers on food chemistry (focus on chemical composition and analysis of foods) are generally not considered eligible, unless the results have a clear impact on human nutrition. The journal focuses on the different aspects of nutrition for people involved in nutrition research such as Dentists, Dieticians, Medical doctors, Nutritionists, Teachers, Journalists and Manufacturers in the food and pharmaceutical industries.
×
引用
GB/T 7714-2015
复制
MLA
复制
APA
复制
导出至
BibTeX EndNote RefMan NoteFirst NoteExpress
×
提示
您的信息不完整,为了账户安全,请先补充。
现在去补充
×
提示
您因"违规操作"
具体请查看互助需知
我知道了
×
提示
确定
请完成安全验证×
copy
已复制链接
快去分享给好友吧!
我知道了
右上角分享
点击右上角分享
0
联系我们:info@booksci.cn Book学术提供免费学术资源搜索服务,方便国内外学者检索中英文文献。致力于提供最便捷和优质的服务体验。 Copyright © 2023 布克学术 All rights reserved.
京ICP备2023020795号-1
ghs 京公网安备 11010802042870号
Book学术文献互助
Book学术文献互助群
群 号:604180095
Book学术官方微信