Maximizing expectancy violation and exposure outcomes in patients with PTSD.

IF 4.1 2区 医学 Q1 PSYCHIATRY
Marike J Kooistra, Maartje Schoorl, Danielle A C Oprel, Willem van der Does, Rianne A de Kleine
{"title":"Maximizing expectancy violation and exposure outcomes in patients with PTSD.","authors":"Marike J Kooistra, Maartje Schoorl, Danielle A C Oprel, Willem van der Does, Rianne A de Kleine","doi":"10.1080/20008066.2024.2447183","DOIUrl":null,"url":null,"abstract":"<p><p><b>Background:</b> It has been proposed that maximizing expectancy violation enhances the efficacy of exposure therapy. The clinical utility of expectancy violation remains unclear and it has not yet been studied in PTSD.<b>Objective:</b> We aimed to test whether explicitly focusing on expectancy violation leads to superior exposure outcomes.<b>Method:</b> Adult treatment-seeking patients with PTSD (<i>N</i> = 60) were randomly assigned to one 90-minute exposure session focusing on either expectancy violation or a control condition without an expectancy focus. Assessments occurred before the session and one week later, measuring changes in fear responses during a script-driven imagery task, and PTSD symptoms.<b>Results:</b> Using multilevel analyses, we found no between-condition differences. On average, fear responses to the imagery and PTSD symptoms decreased over time. The expectancy violation condition exhibited a greater decrease in threat appraisal, which appeared to mediate symptom reduction.<b>Conclusions:</b> We found no evidence that explicitly focusing on expectancy violation led to superior immediate effects. However, it may lead to more changes in expectancies which could affect symptom improvement over an extended period. Further research is needed to determine whether emphasizing expectancy violation in exposure therapy for PTSD is advantageous.</p>","PeriodicalId":12055,"journal":{"name":"European Journal of Psychotraumatology","volume":"16 1","pages":"2447183"},"PeriodicalIF":4.1000,"publicationDate":"2025-12-01","publicationTypes":"Journal Article","fieldsOfStudy":null,"isOpenAccess":false,"openAccessPdf":"https://www.ncbi.nlm.nih.gov/pmc/articles/PMC11721951/pdf/","citationCount":"0","resultStr":null,"platform":"Semanticscholar","paperid":null,"PeriodicalName":"European Journal of Psychotraumatology","FirstCategoryId":"3","ListUrlMain":"https://doi.org/10.1080/20008066.2024.2447183","RegionNum":2,"RegionCategory":"医学","ArticlePicture":[],"TitleCN":null,"AbstractTextCN":null,"PMCID":null,"EPubDate":"2025/1/7 0:00:00","PubModel":"Epub","JCR":"Q1","JCRName":"PSYCHIATRY","Score":null,"Total":0}
引用次数: 0

Abstract

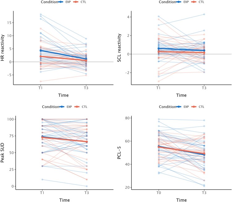
Background: It has been proposed that maximizing expectancy violation enhances the efficacy of exposure therapy. The clinical utility of expectancy violation remains unclear and it has not yet been studied in PTSD.Objective: We aimed to test whether explicitly focusing on expectancy violation leads to superior exposure outcomes.Method: Adult treatment-seeking patients with PTSD (N = 60) were randomly assigned to one 90-minute exposure session focusing on either expectancy violation or a control condition without an expectancy focus. Assessments occurred before the session and one week later, measuring changes in fear responses during a script-driven imagery task, and PTSD symptoms.Results: Using multilevel analyses, we found no between-condition differences. On average, fear responses to the imagery and PTSD symptoms decreased over time. The expectancy violation condition exhibited a greater decrease in threat appraisal, which appeared to mediate symptom reduction.Conclusions: We found no evidence that explicitly focusing on expectancy violation led to superior immediate effects. However, it may lead to more changes in expectancies which could affect symptom improvement over an extended period. Further research is needed to determine whether emphasizing expectancy violation in exposure therapy for PTSD is advantageous.

Abstract Image

Abstract Image

Abstract Image

创伤后应激障碍患者的最大期望违反和暴露结果。
背景:已有研究表明,最大限度地提高期望违反可提高暴露治疗的疗效。期望违反的临床应用尚不清楚,尚未在PTSD中进行研究。目的:我们旨在检验明确关注期望违反是否会导致更好的暴露结果。方法:将60名寻求治疗的PTSD成年患者随机分配到一个90分钟的暴露时段,其中一个暴露时段关注期望违反,另一个暴露时段关注无期望焦点的对照条件。评估在治疗前和一周后进行,测量在脚本驱动的图像任务中恐惧反应的变化,以及创伤后应激障碍症状。结果:通过多水平分析,我们没有发现条件之间的差异。平均而言,对图像和创伤后应激障碍症状的恐惧反应随着时间的推移而减少。期望违反条件对威胁评价的影响更大,这似乎介导了症状的减轻。结论:我们没有发现证据表明明确关注期望违反会导致优越的即时效果。然而,它可能会导致预期的更多变化,这可能会在较长时间内影响症状的改善。在PTSD暴露治疗中强调期望违反是否有利,需要进一步的研究来确定。
本文章由计算机程序翻译,如有差异,请以英文原文为准。
求助全文
约1分钟内获得全文 求助全文
来源期刊
CiteScore
7.60
自引率
12.00%
发文量
153
审稿时长
18 weeks
期刊介绍: The European Journal of Psychotraumatology (EJPT) is a peer-reviewed open access interdisciplinary journal owned by the European Society of Traumatic Stress Studies (ESTSS). The European Journal of Psychotraumatology (EJPT) aims to engage scholars, clinicians and researchers in the vital issues of how to understand, prevent and treat the consequences of stress and trauma, including but not limited to, posttraumatic stress disorder (PTSD), depressive disorders, substance abuse, burnout, and neurobiological or physical consequences, using the latest research or clinical experience in these areas. The journal shares ESTSS’ mission to advance and disseminate scientific knowledge about traumatic stress. Papers may address individual events, repeated or chronic (complex) trauma, large scale disasters, or violence. Being open access, the European Journal of Psychotraumatology is also evidence of ESTSS’ stand on free accessibility of research publications to a wider community via the web. The European Journal of Psychotraumatology seeks to attract contributions from academics and practitioners from diverse professional backgrounds, including, but not restricted to, those in mental health, social sciences, and health and welfare services. Contributions from outside Europe are welcome. The journal welcomes original basic and clinical research articles that consolidate and expand the theoretical and professional basis of the field of traumatic stress; Review articles including meta-analyses; short communications presenting new ideas or early-stage promising research; study protocols that describe proposed or ongoing research; case reports examining a single individual or event in a real‑life context; clinical practice papers sharing experience from the clinic; letters to the Editor debating articles already published in the Journal; inaugural Lectures; conference abstracts and book reviews. Both quantitative and qualitative research is welcome.
×
引用
GB/T 7714-2015
复制
MLA
复制
APA
复制
导出至
BibTeX EndNote RefMan NoteFirst NoteExpress
×
提示
您的信息不完整,为了账户安全,请先补充。
现在去补充
×
提示
您因"违规操作"
具体请查看互助需知
我知道了
×
提示
确定
请完成安全验证×
copy
已复制链接
快去分享给好友吧!
我知道了
右上角分享
点击右上角分享
0
联系我们:info@booksci.cn Book学术提供免费学术资源搜索服务,方便国内外学者检索中英文文献。致力于提供最便捷和优质的服务体验。 Copyright © 2023 布克学术 All rights reserved.
京ICP备2023020795号-1
ghs 京公网安备 11010802042870号
Book学术文献互助
Book学术文献互助群
群 号:604180095
Book学术官方微信