Discovery of giant unit-cell super-structure in the infinite-layer nickelate PrNiO2+x.

IF 9.6 Q1 MATERIALS SCIENCE, MULTIDISCIPLINARY
Communications Materials Pub Date : 2025-01-01 Epub Date: 2025-01-07 DOI:10.1038/s43246-024-00729-4
Jens Oppliger, Julia Küspert, Ann-Christin Dippel, Martin V Zimmermann, Olof Gutowski, Xiaolin Ren, Xingjiang Zhou, Zhihai Zhu, Ruggero Frison, Qisi Wang, Leonardo Martinelli, Izabela Biało, Johan Chang
{"title":"Discovery of giant unit-cell super-structure in the infinite-layer nickelate PrNiO<sub>2+<i>x</i></sub>.","authors":"Jens Oppliger, Julia Küspert, Ann-Christin Dippel, Martin V Zimmermann, Olof Gutowski, Xiaolin Ren, Xingjiang Zhou, Zhihai Zhu, Ruggero Frison, Qisi Wang, Leonardo Martinelli, Izabela Biało, Johan Chang","doi":"10.1038/s43246-024-00729-4","DOIUrl":null,"url":null,"abstract":"<p><p>The discovery of unconventional superconductivity often triggers significant interest in associated electronic and structural symmetry breaking phenomena. For the infinite-layer nickelates, structural allotropes are investigated intensively. Here, using high-energy grazing-incidence x-ray diffraction, we demonstrate how in-situ temperature annealing of the infinite-layer nickelate PrNiO<sub>2+<i>x</i></sub> (<i>x</i> ≈ 0) induces a giant superlattice structure. The annealing effect has a maximum well above room temperature. By covering a large scattering volume, we show a rare period-six in-plane (bi-axial) symmetry and a period-four symmetry in the out-of-plane direction. This giant unit-cell superstructure-likely stemming from ordering of diffusive oxygen-persists over a large temperature range and can be quenched. As such, the stability and controlled annealing process leading to the formation of this superlattice structure provides a pathway for novel nickelate chemistry.</p>","PeriodicalId":10589,"journal":{"name":"Communications Materials","volume":"6 1","pages":"3"},"PeriodicalIF":9.6000,"publicationDate":"2025-01-01","publicationTypes":"Journal Article","fieldsOfStudy":null,"isOpenAccess":false,"openAccessPdf":"https://www.ncbi.nlm.nih.gov/pmc/articles/PMC11703755/pdf/","citationCount":"0","resultStr":null,"platform":"Semanticscholar","paperid":null,"PeriodicalName":"Communications Materials","FirstCategoryId":"1085","ListUrlMain":"https://doi.org/10.1038/s43246-024-00729-4","RegionNum":0,"RegionCategory":null,"ArticlePicture":[],"TitleCN":null,"AbstractTextCN":null,"PMCID":null,"EPubDate":"2025/1/7 0:00:00","PubModel":"Epub","JCR":"Q1","JCRName":"MATERIALS SCIENCE, MULTIDISCIPLINARY","Score":null,"Total":0}
引用次数: 0

Abstract

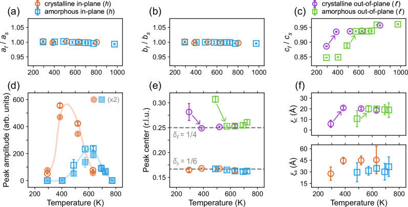
The discovery of unconventional superconductivity often triggers significant interest in associated electronic and structural symmetry breaking phenomena. For the infinite-layer nickelates, structural allotropes are investigated intensively. Here, using high-energy grazing-incidence x-ray diffraction, we demonstrate how in-situ temperature annealing of the infinite-layer nickelate PrNiO2+x (x ≈ 0) induces a giant superlattice structure. The annealing effect has a maximum well above room temperature. By covering a large scattering volume, we show a rare period-six in-plane (bi-axial) symmetry and a period-four symmetry in the out-of-plane direction. This giant unit-cell superstructure-likely stemming from ordering of diffusive oxygen-persists over a large temperature range and can be quenched. As such, the stability and controlled annealing process leading to the formation of this superlattice structure provides a pathway for novel nickelate chemistry.

Abstract Image

Abstract Image

Abstract Image

无限层镍酸盐PrNiO2+x中巨大单体超结构的发现。
非常规超导性的发现常常引起人们对相关电子和结构对称性破缺现象的极大兴趣。对于无限层镍酸盐,研究了其结构同素异形体。利用高能掠入射x射线衍射,我们证明了无限层镍酸盐PrNiO2+x (x≈0)的原位温度退火是如何诱导出巨大的超晶格结构的。退火效果在室温以上有最大值。通过覆盖较大的散射体积,我们显示了罕见的六周期面内对称(双轴)和四周期面外对称。这种巨大的单胞上层结构——可能源于扩散氧的有序——在很大的温度范围内持续存在,并且可以淬火。因此,导致这种超晶格结构形成的稳定性和受控退火过程为新型镍酸盐化学提供了一条途径。
本文章由计算机程序翻译,如有差异,请以英文原文为准。
求助全文
约1分钟内获得全文 求助全文
来源期刊
Communications Materials
Communications Materials MATERIALS SCIENCE, MULTIDISCIPLINARY-
CiteScore
12.10
自引率
1.30%
发文量
85
审稿时长
17 weeks
期刊介绍: Communications Materials, a selective open access journal within Nature Portfolio, is dedicated to publishing top-tier research, reviews, and commentary across all facets of materials science. The journal showcases significant advancements in specialized research areas, encompassing both fundamental and applied studies. Serving as an open access option for materials sciences, Communications Materials applies less stringent criteria for impact and significance compared to Nature-branded journals, including Nature Communications.
×
引用
GB/T 7714-2015
复制
MLA
复制
APA
复制
导出至
BibTeX EndNote RefMan NoteFirst NoteExpress
×
提示
您的信息不完整,为了账户安全,请先补充。
现在去补充
×
提示
您因"违规操作"
具体请查看互助需知
我知道了
×
提示
确定
请完成安全验证×
copy
已复制链接
快去分享给好友吧!
我知道了
右上角分享
点击右上角分享
0
联系我们:info@booksci.cn Book学术提供免费学术资源搜索服务,方便国内外学者检索中英文文献。致力于提供最便捷和优质的服务体验。 Copyright © 2023 布克学术 All rights reserved.
京ICP备2023020795号-1
ghs 京公网安备 11010802042870号
Book学术文献互助
Book学术文献互助群
群 号:604180095
Book学术官方微信