Comparative analysis of hydrazinyl coumarin derivative incorporation in resin-modified and conventional glass ionomer cement

IF 1.9 Q2 MEDICINE, GENERAL & INTERNAL
Nor A.F. Azlisham MSc , Fatimah S.A. Rahman PhD , Zuliani Mahmood DClinDent , Dasmawati Mohamad PhD , Yanti Johari DClinDent , Ola B. Al-Batayneh MDSc
{"title":"Comparative analysis of hydrazinyl coumarin derivative incorporation in resin-modified and conventional glass ionomer cement","authors":"Nor A.F. Azlisham MSc ,&nbsp;Fatimah S.A. Rahman PhD ,&nbsp;Zuliani Mahmood DClinDent ,&nbsp;Dasmawati Mohamad PhD ,&nbsp;Yanti Johari DClinDent ,&nbsp;Ola B. Al-Batayneh MDSc","doi":"10.1016/j.jtumed.2024.11.003","DOIUrl":null,"url":null,"abstract":"<div><h3>أهداف البحث</h3><div>هدفت الدراسة إلى إجراء تحليل مقارن لتأثيرات دمج مشتق الكومارين الهيدرازيني في إسمنت أيونومر الزجاج المعدل بالراتنج والتقليدي على معدلات تحررهما وخصائصهما المضادة للبكتيريا.</div></div><div><h3>طرق البحث</h3><div>استخدم إسمنت أيونومر الزجاج المعدل بالراتنج فوجي الثاني وإسمنت أيونومر الزجاج التقليدي عالي الفلورايد فوجي السابع كمجموعات ضابطة. تم تصنيع مشتق الكومارين الهيدرازيني داخليا، ودمجه في كلا النوعين بنسب وزنية واحد وإثنين بالمئة، وتحليله كيميائيا باستخدام مطيافية الأشعة تحت الحمراء. ثم تم تقييم معدلات تحرر مشتق الكومارين الهيدرازيني والفلورايد باستخدام مطياف الأشعة فوق البنفسجية المرئية ومقياس الفلورايد على التوالي. تم تقييم الخصائص المضادة للبكتيريا ضد المكورات العقدية الدموية باستخدام طريقة الانتشار في الآجار وقياس عكارة النمو البكتيري، متبوعا بملاحظة الشكل البكتيري باستخدام المجهر الإلكتروني الماسح. تم تحليل البيانات إحصائيا باستخدام تحليل التباين أحادي الاتجاه واختبار بونفيروني البعدي.</div></div><div><h3>النتائج</h3><div>أكدت أطياف الأشعة تحت الحمراء وجود مشتق الكومارين الهيدرازيني في مصفوفات الإسمنت. تم تحرر المشتق بنجاح من كلا النوعين بكلتا النسبتين الوزنيتين. لوحظ تحرر أعلى للفلورايد ومناطق تثبيط أكبر مقارنة بالمجموعات الضابطة، مع تأثير أكثر أهمية في النوع المعدل بالراتنج. بالإضافة إلى ذلك، أدى دمج المشتق إلى إبطاء نمو المكورات العقدية الدموية وأظهر تغيرات ملحوظة في شكل البكتيريا خاصة في النوع المعدل بالراتنج.</div></div><div><h3>الاستنتاجات</h3><div>أدى دمج مشتق الكومارين الهيدرازيني في كلا نوعي الإسمنت إلى تحسين تحرر الفلورايد وتعزيز الأنشطة المضادة للبكتيريا، مع ملاحظة تأثير أكثر أهمية في النوع المعدل بالراتنج مقارنة بالنوع التقليدي.</div></div>","PeriodicalId":46806,"journal":{"name":"Journal of Taibah University Medical Sciences","volume":"19 6","pages":"Pages 1119-1129"},"PeriodicalIF":1.9000,"publicationDate":"2024-12-01","publicationTypes":"Journal Article","fieldsOfStudy":null,"isOpenAccess":false,"openAccessPdf":"https://www.ncbi.nlm.nih.gov/pmc/articles/PMC11699269/pdf/","citationCount":"0","resultStr":null,"platform":"Semanticscholar","paperid":null,"PeriodicalName":"Journal of Taibah University Medical Sciences","FirstCategoryId":"1085","ListUrlMain":"https://www.sciencedirect.com/science/article/pii/S1658361224001379","RegionNum":0,"RegionCategory":null,"ArticlePicture":[],"TitleCN":null,"AbstractTextCN":null,"PMCID":null,"EPubDate":"","PubModel":"","JCR":"Q2","JCRName":"MEDICINE, GENERAL & INTERNAL","Score":null,"Total":0}
引用次数: 0

Abstract

أهداف البحث

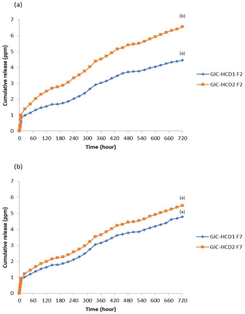
هدفت الدراسة إلى إجراء تحليل مقارن لتأثيرات دمج مشتق الكومارين الهيدرازيني في إسمنت أيونومر الزجاج المعدل بالراتنج والتقليدي على معدلات تحررهما وخصائصهما المضادة للبكتيريا.

طرق البحث

استخدم إسمنت أيونومر الزجاج المعدل بالراتنج فوجي الثاني وإسمنت أيونومر الزجاج التقليدي عالي الفلورايد فوجي السابع كمجموعات ضابطة. تم تصنيع مشتق الكومارين الهيدرازيني داخليا، ودمجه في كلا النوعين بنسب وزنية واحد وإثنين بالمئة، وتحليله كيميائيا باستخدام مطيافية الأشعة تحت الحمراء. ثم تم تقييم معدلات تحرر مشتق الكومارين الهيدرازيني والفلورايد باستخدام مطياف الأشعة فوق البنفسجية المرئية ومقياس الفلورايد على التوالي. تم تقييم الخصائص المضادة للبكتيريا ضد المكورات العقدية الدموية باستخدام طريقة الانتشار في الآجار وقياس عكارة النمو البكتيري، متبوعا بملاحظة الشكل البكتيري باستخدام المجهر الإلكتروني الماسح. تم تحليل البيانات إحصائيا باستخدام تحليل التباين أحادي الاتجاه واختبار بونفيروني البعدي.

النتائج

أكدت أطياف الأشعة تحت الحمراء وجود مشتق الكومارين الهيدرازيني في مصفوفات الإسمنت. تم تحرر المشتق بنجاح من كلا النوعين بكلتا النسبتين الوزنيتين. لوحظ تحرر أعلى للفلورايد ومناطق تثبيط أكبر مقارنة بالمجموعات الضابطة، مع تأثير أكثر أهمية في النوع المعدل بالراتنج. بالإضافة إلى ذلك، أدى دمج المشتق إلى إبطاء نمو المكورات العقدية الدموية وأظهر تغيرات ملحوظة في شكل البكتيريا خاصة في النوع المعدل بالراتنج.

الاستنتاجات

أدى دمج مشتق الكومارين الهيدرازيني في كلا نوعي الإسمنت إلى تحسين تحرر الفلورايد وتعزيز الأنشطة المضادة للبكتيريا، مع ملاحظة تأثير أكثر أهمية في النوع المعدل بالراتنج مقارنة بالنوع التقليدي.

Abstract Image

Abstract Image

Abstract Image

肼基香豆素衍生物掺入树脂改性与常规玻璃离子水泥的比较分析。
目的:比较分析在树脂改性(RMGIC)和常规玻璃离子水泥(cGIC)中掺入肼基香豆素衍生物(HCD)对其释放特性和抗菌性能的影响。方法:以树脂改性GIC, Fuji II LC (F2)和高氟cGIC, Fuji VII (F7)为对照。HCD是内部合成的,分别以1%和2%的重量百分比(w/w)加入RMGIC和cgic中,并使用傅里叶变换红外(FTIR)光谱进行化学分析。然后,分别用紫外可见分光光度计和pH/ISE台式荧光计对含HCD的F2 (GIC-HCD F2)和含HCD的F7 (GIC-HCD F7)的HCD和氟释放谱进行评价。采用琼脂孔扩散法和测定细菌生长浊度法评价其对血链球菌的抗菌性能,并用扫描电镜观察细菌形态。数据采用单因素方差分析和Bonferroni事后检验进行统计学分析。结果:红外光谱证实了GIC-HCD基质中HCD的存在。GIC-HCD F2和GIC-HCD F7基质均以两种重量百分比成功释放HCD。与对照组相比,氟化物释放量和抑菌区更高,其中GIC-HCD F2的效果比GIC-HCD F7更显著。此外,HCD的掺入减缓了血链球菌的生长,并在GIC-HCD F2上表现出明显的细菌形状变化。结论:HCD掺入RMGIC和cGIC均能改善氟化物的释放,增强抗菌活性,且RMGIC比cGIC效果更显著。
本文章由计算机程序翻译,如有差异,请以英文原文为准。
求助全文
约1分钟内获得全文 求助全文
来源期刊
Journal of Taibah University Medical Sciences
Journal of Taibah University Medical Sciences MEDICINE, GENERAL & INTERNAL-
CiteScore
3.40
自引率
4.50%
发文量
130
审稿时长
29 days
×
引用
GB/T 7714-2015
复制
MLA
复制
APA
复制
导出至
BibTeX EndNote RefMan NoteFirst NoteExpress
×
提示
您的信息不完整,为了账户安全,请先补充。
现在去补充
×
提示
您因"违规操作"
具体请查看互助需知
我知道了
×
提示
确定
请完成安全验证×
copy
已复制链接
快去分享给好友吧!
我知道了
右上角分享
点击右上角分享
0
联系我们:info@booksci.cn Book学术提供免费学术资源搜索服务,方便国内外学者检索中英文文献。致力于提供最便捷和优质的服务体验。 Copyright © 2023 布克学术 All rights reserved.
京ICP备2023020795号-1
ghs 京公网安备 11010802042870号
Book学术文献互助
Book学术文献互助群
群 号:604180095
Book学术官方微信