Seroprevalence of SARS-COV-2 Antibodies Associated with the Use of Personal Protective Equipment in Healthcare Workers.

Amela Dubinovic-Rekic, Nurka Pranjic
{"title":"Seroprevalence of SARS-COV-2 Antibodies Associated with the Use of Personal Protective Equipment in Healthcare Workers.","authors":"Amela Dubinovic-Rekic, Nurka Pranjic","doi":"10.5455/msm.2024.36.222-228","DOIUrl":null,"url":null,"abstract":"<p><strong>Background: </strong>Hypothetically, PPE played an estimated influential role in preventing SARS-CoV-2 transmission among HCWs before immune-prophylaxis by vaccination in BH. Objective: This research aims to determine the relationship between PPE use and the serological response to SARS-COV-2 among HCWs.</p><p><strong>Methods: </strong>The sample contained 127 COVID-19 outpatients with an average age of 43.5 ± 10.8, 66% women, and 80 (63%) health workers as the study group (37% non-medical workers as a control subjects). The created questionnaire collected sociodemographic data on comorbidity or not, application of PPE, and severity of the clinical picture of COVID-19 infection.</p><p><strong>Results: </strong>All subjects were monitored for the dynamics of antibodies, separately for IgM- and Ig-G three times, repeated every 3 months (only three before immuno-prophylaxis by vaccinations). A serological investigation of subjects' blood was collected by trained medical staff in vacutainers with a clotting activator to obtain the subjects' serum centrifuged, separated, and tested on the AFIAS 6 COVID-19 apparatus. Healthcare workers who did not wear goggles had significantly higher IgM antibody levels than HCWs who use them [F=9.359 (1, 102), p=.003, partial η2=.084]. Also, HCWs who did not use a visor had significantly higher IgM nucleocapsid antibody titer than those who used it daily or occasionally [F=4.790 (1, 102), p=.031, partial η2=.045]. Increase SARAS-COV-2 IgM titer three, six, or nine months after past COVID-19 infection and before vaccination.</p><p><strong>Conclusion: </strong>It presents a new acute or recent asymptomatic infection in our HCWs and unrecognized COVID-19. This implies considerable source and unrecognized risk of transmission of the SARS-COV-2 virus, and among HCWs, COVID-19 is an infectious disease with a high prevalence rate.</p>","PeriodicalId":94128,"journal":{"name":"Materia socio-medica","volume":"36 3","pages":"222-228"},"PeriodicalIF":0.0000,"publicationDate":"2024-01-01","publicationTypes":"Journal Article","fieldsOfStudy":null,"isOpenAccess":false,"openAccessPdf":"https://www.ncbi.nlm.nih.gov/pmc/articles/PMC11693126/pdf/","citationCount":"0","resultStr":null,"platform":"Semanticscholar","paperid":null,"PeriodicalName":"Materia socio-medica","FirstCategoryId":"1085","ListUrlMain":"https://doi.org/10.5455/msm.2024.36.222-228","RegionNum":0,"RegionCategory":null,"ArticlePicture":[],"TitleCN":null,"AbstractTextCN":null,"PMCID":null,"EPubDate":"","PubModel":"","JCR":"","JCRName":"","Score":null,"Total":0}
引用次数: 0

Abstract

Background: Hypothetically, PPE played an estimated influential role in preventing SARS-CoV-2 transmission among HCWs before immune-prophylaxis by vaccination in BH. Objective: This research aims to determine the relationship between PPE use and the serological response to SARS-COV-2 among HCWs.

Methods: The sample contained 127 COVID-19 outpatients with an average age of 43.5 ± 10.8, 66% women, and 80 (63%) health workers as the study group (37% non-medical workers as a control subjects). The created questionnaire collected sociodemographic data on comorbidity or not, application of PPE, and severity of the clinical picture of COVID-19 infection.

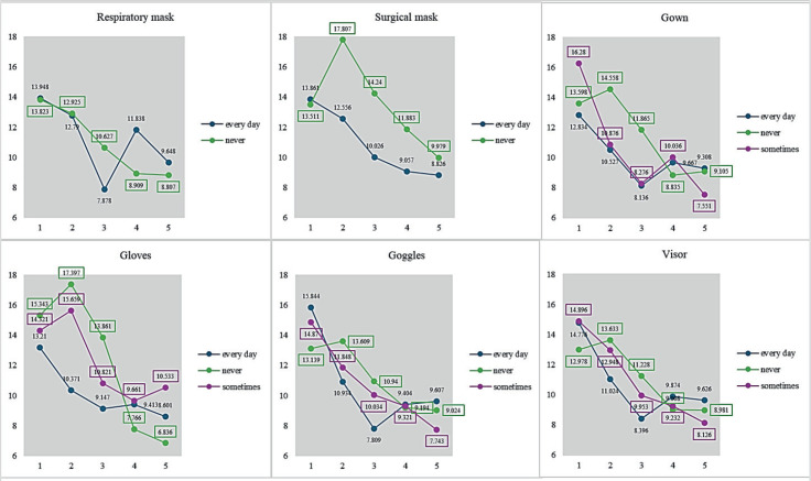
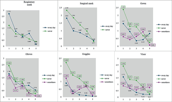
Results: All subjects were monitored for the dynamics of antibodies, separately for IgM- and Ig-G three times, repeated every 3 months (only three before immuno-prophylaxis by vaccinations). A serological investigation of subjects' blood was collected by trained medical staff in vacutainers with a clotting activator to obtain the subjects' serum centrifuged, separated, and tested on the AFIAS 6 COVID-19 apparatus. Healthcare workers who did not wear goggles had significantly higher IgM antibody levels than HCWs who use them [F=9.359 (1, 102), p=.003, partial η2=.084]. Also, HCWs who did not use a visor had significantly higher IgM nucleocapsid antibody titer than those who used it daily or occasionally [F=4.790 (1, 102), p=.031, partial η2=.045]. Increase SARAS-COV-2 IgM titer three, six, or nine months after past COVID-19 infection and before vaccination.

Conclusion: It presents a new acute or recent asymptomatic infection in our HCWs and unrecognized COVID-19. This implies considerable source and unrecognized risk of transmission of the SARS-COV-2 virus, and among HCWs, COVID-19 is an infectious disease with a high prevalence rate.

Abstract Image

Abstract Image

与医务人员个人防护装备使用相关的SARS-COV-2抗体血清阳性率
背景:假设在波黑接种免疫预防之前,PPE在卫生工作者中预防SARS-CoV-2传播中发挥了估计的影响作用。目的:探讨卫生工作者个人防护装备使用与SARS-COV-2血清学反应的关系。方法:以127例新冠肺炎门诊患者为研究对象,平均年龄43.5±10.8岁,女性66%,卫生工作者80人(63%)为研究组(非卫生工作者37%为对照组)。所创建的问卷收集了关于是否合并症、个人防护装备的使用和COVID-19感染临床症状严重程度的社会人口统计数据。结果:对所有受试者进行抗体动态监测,分别监测IgM-和Ig-G三次,每3个月重复一次(仅在接种免疫预防疫苗前三次)。由训练有素的医务人员在带凝血激活剂的真空容器中采集受试者血液进行血清学调查,获得受试者血清离心、分离,并在AFIAS 6 COVID-19仪器上进行检测。未佩戴护目镜的医护人员IgM抗体水平明显高于佩戴护目镜的医护人员[F=9.359 (1,102), p=。]003,偏η2=.084]。此外,不使用面罩的医护人员的IgM核衣壳抗体滴度明显高于每天或偶尔使用面罩的医护人员[F=4.790 (1,102), p=。031,偏η2=.045]。在过去的COVID-19感染后3、6或9个月和接种疫苗前提高sars - cov -2 IgM滴度。结论:本病例为新发急性或近期无症状感染,未被识别。这意味着SARS-COV-2病毒有相当大的来源和未被认识的传播风险,并且在卫生保健工作者中,COVID-19是一种高流行率的传染病。
本文章由计算机程序翻译,如有差异,请以英文原文为准。
求助全文
约1分钟内获得全文 求助全文
来源期刊
CiteScore
1.80
自引率
0.00%
发文量
0
×
引用
GB/T 7714-2015
复制
MLA
复制
APA
复制
导出至
BibTeX EndNote RefMan NoteFirst NoteExpress
×
提示
您的信息不完整,为了账户安全,请先补充。
现在去补充
×
提示
您因"违规操作"
具体请查看互助需知
我知道了
×
提示
确定
请完成安全验证×
copy
已复制链接
快去分享给好友吧!
我知道了
右上角分享
点击右上角分享
0
联系我们:info@booksci.cn Book学术提供免费学术资源搜索服务,方便国内外学者检索中英文文献。致力于提供最便捷和优质的服务体验。 Copyright © 2023 布克学术 All rights reserved.
京ICP备2023020795号-1
ghs 京公网安备 11010802042870号
Book学术文献互助
Book学术文献互助群
群 号:604180095
Book学术官方微信