Evaluating the sensitivity of a chronic plant bioassay relative to an independently derived predicted no-effect thresholds to support risk assessment of very hydrophobic organic chemicals

IF 2.2 4区 环境科学与生态学 Q2 ENVIRONMENTAL SCIENCES
Aaron D. Redman, Miriam Leon Paumen, Daniel J. Letinski, Barbara A. Kelley, Cary Sutherland, Bryan M. Hedgpeth, Josh D. Butler, Roger Prince, Gail E. Bragin, Abraham J. Smith
{"title":"Evaluating the sensitivity of a chronic plant bioassay relative to an independently derived predicted no-effect thresholds to support risk assessment of very hydrophobic organic chemicals","authors":"Aaron D. Redman,&nbsp;Miriam Leon Paumen,&nbsp;Daniel J. Letinski,&nbsp;Barbara A. Kelley,&nbsp;Cary Sutherland,&nbsp;Bryan M. Hedgpeth,&nbsp;Josh D. Butler,&nbsp;Roger Prince,&nbsp;Gail E. Bragin,&nbsp;Abraham J. Smith","doi":"10.1007/s00244-024-01106-5","DOIUrl":null,"url":null,"abstract":"<div><p>Environmental risk assessments of very hydrophobic organic compounds (VHOCs) in soils are often difficult because multiple processes (e.g., sorption, volatilization, biodegradation) can complicate the interpretation of results. A standardized soil dosing and aging procedure is presented for assessing bioavailability of VHOCs in a synthetic soil, which was used to evaluate the phytotoxicity of VHOCs. The soil preparation protocol resulted in relatively stable freely dissolved concentrations of test substance compared to bulk soil concentrations with some losses likely due to volatility and biodegradation. This dosing method was used in a chronic terrestrial plant toxicity bioassay to evaluate the potential toxicity of VHOCs on complex reproductive endpoints like inflorescence and seed bud formation. Testing included representative hydrocarbons and three very hydrophobic lubricant substances (logKow &gt; 10). The toxicity data were used to evaluate existing predicted no-effect concentrations (PNECs) that had originally been derived with the target lipid model, which did not have these higher order chronic plant endpoints. The initial exposure concentrations were set at the PNECs to provide an independent validation of the PNEC. This evaluation was performed to expand the domain of applicability of the PNEC to VHOCs and for the chronic terrestrial plant endpoints. No effects were observed on plant biomass or inflorescence production at these low exposure concentrations, demonstrating that the established PNEC is protective of long-term plant health. The results of the present study confirm that the new dosing method is fit for purpose, and that the existing PNEC framework can be extended to chronic plant endpoints for VHOCs.</p><h3>Graphical Abstract</h3>\n<div><figure><div><div><picture><source><img></source></picture></div></div></figure></div></div>","PeriodicalId":8377,"journal":{"name":"Archives of Environmental Contamination and Toxicology","volume":"88 1","pages":"110 - 122"},"PeriodicalIF":2.2000,"publicationDate":"2024-12-30","publicationTypes":"Journal Article","fieldsOfStudy":null,"isOpenAccess":false,"openAccessPdf":"https://www.ncbi.nlm.nih.gov/pmc/articles/PMC11783378/pdf/","citationCount":"0","resultStr":null,"platform":"Semanticscholar","paperid":null,"PeriodicalName":"Archives of Environmental Contamination and Toxicology","FirstCategoryId":"93","ListUrlMain":"https://link.springer.com/article/10.1007/s00244-024-01106-5","RegionNum":4,"RegionCategory":"环境科学与生态学","ArticlePicture":[],"TitleCN":null,"AbstractTextCN":null,"PMCID":null,"EPubDate":"","PubModel":"","JCR":"Q2","JCRName":"ENVIRONMENTAL SCIENCES","Score":null,"Total":0}
引用次数: 0

Abstract

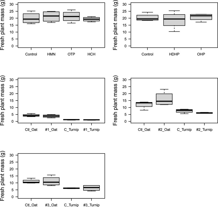
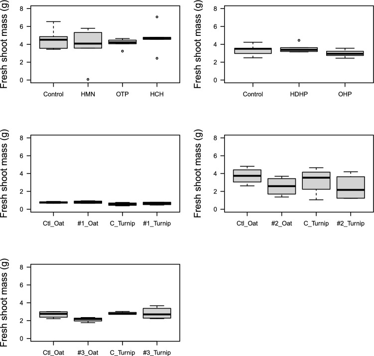
Environmental risk assessments of very hydrophobic organic compounds (VHOCs) in soils are often difficult because multiple processes (e.g., sorption, volatilization, biodegradation) can complicate the interpretation of results. A standardized soil dosing and aging procedure is presented for assessing bioavailability of VHOCs in a synthetic soil, which was used to evaluate the phytotoxicity of VHOCs. The soil preparation protocol resulted in relatively stable freely dissolved concentrations of test substance compared to bulk soil concentrations with some losses likely due to volatility and biodegradation. This dosing method was used in a chronic terrestrial plant toxicity bioassay to evaluate the potential toxicity of VHOCs on complex reproductive endpoints like inflorescence and seed bud formation. Testing included representative hydrocarbons and three very hydrophobic lubricant substances (logKow > 10). The toxicity data were used to evaluate existing predicted no-effect concentrations (PNECs) that had originally been derived with the target lipid model, which did not have these higher order chronic plant endpoints. The initial exposure concentrations were set at the PNECs to provide an independent validation of the PNEC. This evaluation was performed to expand the domain of applicability of the PNEC to VHOCs and for the chronic terrestrial plant endpoints. No effects were observed on plant biomass or inflorescence production at these low exposure concentrations, demonstrating that the established PNEC is protective of long-term plant health. The results of the present study confirm that the new dosing method is fit for purpose, and that the existing PNEC framework can be extended to chronic plant endpoints for VHOCs.

Graphical Abstract

Abstract Image

Abstract Image

Abstract Image

评估慢性植物生物测定相对于独立推导的预测无效应阈值的敏感性,以支持非常疏水性有机化学品的风险评估。
土壤中极疏水有机化合物(VHOCs)的环境风险评估通常很困难,因为多种过程(例如,吸附、挥发、生物降解)可能使结果的解释复杂化。提出了一种标准化的土壤剂量和老化程序,用于评估VHOCs在合成土壤中的生物有效性,并用于评估VHOCs的植物毒性。与散装土壤浓度相比,土壤制备方案导致测试物质的自由溶解浓度相对稳定,但可能由于挥发性和生物降解而造成一些损失。该方法用于慢性陆生植物毒性生物测定,以评估VHOCs对复杂生殖终点(如花序和种芽形成)的潜在毒性。测试包括代表性碳氢化合物和三种非常疏水的润滑剂物质(logKow bbb10)。毒性数据用于评估现有的预测无效应浓度(PNECs),这些浓度最初是由目标脂质模型得出的,没有这些高阶慢性植物终点。初始暴露浓度设定在PNEC,以提供PNEC的独立验证。这项评估是为了将PNEC的适用范围扩大到vhoc和慢性陆生植物端点。在这些低暴露浓度下,未观察到对植物生物量或花序生产的影响,这表明已建立的PNEC对植物长期健康具有保护作用。本研究的结果证实了新的给药方法是合适的,并且现有的PNEC框架可以扩展到VHOCs的慢性植物终点。
本文章由计算机程序翻译,如有差异,请以英文原文为准。
求助全文
约1分钟内获得全文 求助全文
来源期刊
CiteScore
7.00
自引率
2.50%
发文量
63
审稿时长
8-16 weeks
期刊介绍: Archives of Environmental Contamination and Toxicology provides a place for the publication of timely, detailed, and definitive scientific studies pertaining to the source, transport, fate and / or effects of contaminants in the environment. The journal will consider submissions dealing with new analytical and toxicological techniques that advance our understanding of the source, transport, fate and / or effects of contaminants in the environment. AECT will now consider mini-reviews (where length including references is less than 5,000 words), which highlight case studies, a geographic topic of interest, or a timely subject of debate. AECT will also consider Special Issues on subjects of broad interest. The journal strongly encourages authors to ensure that their submission places a strong emphasis on ecosystem processes; submissions limited to technical aspects of such areas as toxicity testing for single chemicals, wastewater effluent characterization, human occupation exposure, or agricultural phytotoxicity are unlikely to be considered.
×
引用
GB/T 7714-2015
复制
MLA
复制
APA
复制
导出至
BibTeX EndNote RefMan NoteFirst NoteExpress
×
提示
您的信息不完整,为了账户安全,请先补充。
现在去补充
×
提示
您因"违规操作"
具体请查看互助需知
我知道了
×
提示
确定
请完成安全验证×
copy
已复制链接
快去分享给好友吧!
我知道了
右上角分享
点击右上角分享
0
联系我们:info@booksci.cn Book学术提供免费学术资源搜索服务,方便国内外学者检索中英文文献。致力于提供最便捷和优质的服务体验。 Copyright © 2023 布克学术 All rights reserved.
京ICP备2023020795号-1
ghs 京公网安备 11010802042870号
Book学术文献互助
Book学术文献互助群
群 号:604180095
Book学术官方微信