Muscle architecture of the medial gastrocnemius during growth.

IF 2.1 4区 医学 Q1 PHYSIOLOGY
Yasuyoshi Mogi
{"title":"Muscle architecture of the medial gastrocnemius during growth.","authors":"Yasuyoshi Mogi","doi":"10.1186/s40101-024-00381-4","DOIUrl":null,"url":null,"abstract":"<p><strong>Background: </strong>Muscle architecture is closely related to muscle function. Increased knowledge of growth changes in muscle architecture will provide insights into the development of human movements and sports performance during the growth period. However, it is unclear how the muscle architecture of the medial gastrocnemius (MG) grows. This study examined the effects of growth on the muscle architecture of MG.</p><p><strong>Methods: </strong>The brightness-mode ultrasonography technique was used to measure the muscle thickness, pennation angle, and fascicle length of MG in 146 Japanese boys aged to 6.2 - 17.9 years. The relative muscle thickness was calculated by dividing the absolute muscle thickness by body mass<sup>1/3</sup>. The years from the age at peak height velocity were estimated for each participant, and used as the maturity index. A simple regression analysis was performed for the two variables in the full age range, as well as separately for the 5 - 12 years and 12 - 19 years subgroups. RESULTS AND CONCLUSION: The maturity index and chronological age were positively correlated with the relative muscle thickness, pennation angle, and fascicle length of MG. Subgroup analyses showed that chronological age was significantly correlated with the pennation angle, fascicle length, and absolute muscle thickness, except for the pennation angle of the 5 - 12 years subgroup. The present results indicate that muscle hypertrophy and elongation of fascicle length occur with growth. Our findings also suggest that the growth changes in pennation angle of MG differ between pre-adolescence and adolescence.</p>","PeriodicalId":48730,"journal":{"name":"Journal of Physiological Anthropology","volume":"43 1","pages":"33"},"PeriodicalIF":2.1000,"publicationDate":"2024-12-30","publicationTypes":"Journal Article","fieldsOfStudy":null,"isOpenAccess":false,"openAccessPdf":"https://www.ncbi.nlm.nih.gov/pmc/articles/PMC11684043/pdf/","citationCount":"0","resultStr":null,"platform":"Semanticscholar","paperid":null,"PeriodicalName":"Journal of Physiological Anthropology","FirstCategoryId":"3","ListUrlMain":"https://doi.org/10.1186/s40101-024-00381-4","RegionNum":4,"RegionCategory":"医学","ArticlePicture":[],"TitleCN":null,"AbstractTextCN":null,"PMCID":null,"EPubDate":"","PubModel":"","JCR":"Q1","JCRName":"PHYSIOLOGY","Score":null,"Total":0}
引用次数: 0

Abstract

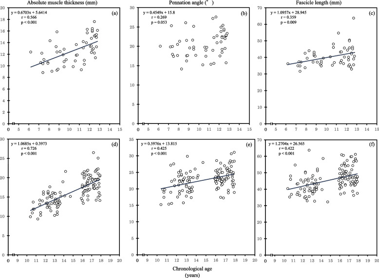
Background: Muscle architecture is closely related to muscle function. Increased knowledge of growth changes in muscle architecture will provide insights into the development of human movements and sports performance during the growth period. However, it is unclear how the muscle architecture of the medial gastrocnemius (MG) grows. This study examined the effects of growth on the muscle architecture of MG.

Methods: The brightness-mode ultrasonography technique was used to measure the muscle thickness, pennation angle, and fascicle length of MG in 146 Japanese boys aged to 6.2 - 17.9 years. The relative muscle thickness was calculated by dividing the absolute muscle thickness by body mass1/3. The years from the age at peak height velocity were estimated for each participant, and used as the maturity index. A simple regression analysis was performed for the two variables in the full age range, as well as separately for the 5 - 12 years and 12 - 19 years subgroups. RESULTS AND CONCLUSION: The maturity index and chronological age were positively correlated with the relative muscle thickness, pennation angle, and fascicle length of MG. Subgroup analyses showed that chronological age was significantly correlated with the pennation angle, fascicle length, and absolute muscle thickness, except for the pennation angle of the 5 - 12 years subgroup. The present results indicate that muscle hypertrophy and elongation of fascicle length occur with growth. Our findings also suggest that the growth changes in pennation angle of MG differ between pre-adolescence and adolescence.

Abstract Image

Abstract Image

Abstract Image

生长过程中内侧腓肠肌的肌肉结构。
背景:肌肉结构与肌肉功能密切相关。增加对肌肉结构生长变化的了解将为人类运动和运动表现在生长期间的发展提供见解。然而,目前尚不清楚内侧腓肠肌(MG)的肌肉结构是如何生长的。本研究考察了生长对MG肌肉结构的影响。方法:对146例年龄在6.2 ~ 17.9岁的日本男性进行了MG肌厚度、笔角和肌束长度的测量。相对肌肉厚度用绝对肌肉厚度除以体重1/3计算。估计每个参与者从峰值高度速度年龄开始的年数,并将其用作成熟度指数。对这两个变量在整个年龄范围内以及分别对5 - 12岁和12 - 19岁亚组进行简单的回归分析。结果与结论:成熟指数、实足年龄与MG相对肌厚、笔划角、肌束长度呈正相关。亚组分析显示,除5 - 12岁亚组笔角外,实足年龄与笔角、肌束长度和绝对肌肉厚度显著相关。目前的结果表明,肌肉的肥大和束长度的延长是随着生长而发生的。我们的研究结果还表明,青春期前和青春期MG笔角的生长变化是不同的。
本文章由计算机程序翻译,如有差异,请以英文原文为准。
求助全文
约1分钟内获得全文 求助全文
来源期刊
自引率
6.50%
发文量
39
期刊介绍: Journal of Physiological Anthropology (JPA) is an open access, peer-reviewed journal that publishes research on the physiological functions of modern mankind, with an emphasis on the physical and bio-cultural effects on human adaptability to the current environment. The objective of JPA is to evaluate physiological adaptations to modern living environments, and to publish research from different scientific fields concerned with environmental impact on human life. Topic areas include, but are not limited to: environmental physiology bio-cultural environment living environment epigenetic adaptation development and growth age and sex differences nutrition and morphology physical fitness and health Journal of Physiological Anthropology is the official journal of the Japan Society of Physiological Anthropology.
×
引用
GB/T 7714-2015
复制
MLA
复制
APA
复制
导出至
BibTeX EndNote RefMan NoteFirst NoteExpress
×
提示
您的信息不完整,为了账户安全,请先补充。
现在去补充
×
提示
您因"违规操作"
具体请查看互助需知
我知道了
×
提示
确定
请完成安全验证×
copy
已复制链接
快去分享给好友吧!
我知道了
右上角分享
点击右上角分享
0
联系我们:info@booksci.cn Book学术提供免费学术资源搜索服务,方便国内外学者检索中英文文献。致力于提供最便捷和优质的服务体验。 Copyright © 2023 布克学术 All rights reserved.
京ICP备2023020795号-1
ghs 京公网安备 11010802042870号
Book学术文献互助
Book学术文献互助群
群 号:604180095
Book学术官方微信