Zinc or/and Vitamin E Supplementation Mitigates Oxidative Stress, Neuroinflammation, Neurochemical Changes and Behavioural Deficits in Male Wistar Rats Exposed to Bonny Light Crude Oil.

IF 3 Q2 TOXICOLOGY
Journal of Toxicology Pub Date : 2024-12-21 eCollection Date: 2024-01-01 DOI:10.1155/jt/9317271
Oluwafunmbi Ebenezer Ogunmiluyi, Alexander Obidike Naiho, Victor Oghenekparobo Emojevwe, Tolulope Samuel Oladele, Kayode Adedoyin Adebisi, Jacob Adewale Siyanbade, Adeniran Oluwadamilare Akinola
{"title":"Zinc or/and Vitamin E Supplementation Mitigates Oxidative Stress, Neuroinflammation, Neurochemical Changes and Behavioural Deficits in Male Wistar Rats Exposed to Bonny Light Crude Oil.","authors":"Oluwafunmbi Ebenezer Ogunmiluyi, Alexander Obidike Naiho, Victor Oghenekparobo Emojevwe, Tolulope Samuel Oladele, Kayode Adedoyin Adebisi, Jacob Adewale Siyanbade, Adeniran Oluwadamilare Akinola","doi":"10.1155/jt/9317271","DOIUrl":null,"url":null,"abstract":"<p><p><b>Background:</b> Crude oil, a major key economic driver in developing countries, is also of environmental concern, linked to neurotoxicity and behavioural problems. Despite the known neurotoxic effects of crude oil and the potential benefits of zinc and vitamin E, there is a paucity of research specifically addressing their combined efficacy in mitigating neurochemical changes and behavioural deficits induced by crude oil. Current studies have largely focussed on the individual effects of these supplements in different contexts, but their synergistic potential in a crude oil exposure model remains underexplored. This study investigated the potential effects of zinc and vitamin E on neurobehavioural alterations in male Wistar rats fed with Bonny light crude oil (BLCO)-contaminated diet. <b>Methods:</b> Thirty (30) male Wistar rats (160 ± 10 g) were assigned into five groups (<i>n</i> = 6). Group 1 received standard rat feed, Group 2 was exposed to BLCO (0.1 mL/g of rat feed) for 3 weeks, and groups 3-5 were treated with zinc (50 mg/kg/day), vitamin E (400 IU/kg), or both [vitamin E (400 IU/kg) + zinc (50 mg/kg/day)], respectively for 1 week after BLCO exposure for 3 weeks. Locomotive, anxiolytic, depressive-like behaviours and spatial memory were assessed using the open-field test, elevated plus maze, forced swim test and Y-maze. Rats were sacrificed and the brain samples were collected for biochemical assays at the end of the behavioural tests. <b>Results:</b> Zinc and vitamin E supplementation (individually or combined) significantly increased brain total antioxidant capacity and superoxide dismutase (SOD) activity, reduced inflammatory markers (TNF-alpha) and lipid peroxidation, normalized neurotransmitter levels in the brain and improved behavioural performance. <b>Conclusion:</b> Treatment with Zn and/or vitamin E reverses BLCO-induced neurobehavioural alterations via modulation of oxidative stress, inflammation and neurotransmitters.</p>","PeriodicalId":17421,"journal":{"name":"Journal of Toxicology","volume":"2024 ","pages":"9317271"},"PeriodicalIF":3.0000,"publicationDate":"2024-12-21","publicationTypes":"Journal Article","fieldsOfStudy":null,"isOpenAccess":false,"openAccessPdf":"https://www.ncbi.nlm.nih.gov/pmc/articles/PMC11681987/pdf/","citationCount":"0","resultStr":null,"platform":"Semanticscholar","paperid":null,"PeriodicalName":"Journal of Toxicology","FirstCategoryId":"3","ListUrlMain":"https://doi.org/10.1155/jt/9317271","RegionNum":0,"RegionCategory":null,"ArticlePicture":[],"TitleCN":null,"AbstractTextCN":null,"PMCID":null,"EPubDate":"2024/1/1 0:00:00","PubModel":"eCollection","JCR":"Q2","JCRName":"TOXICOLOGY","Score":null,"Total":0}
引用次数: 0

Abstract

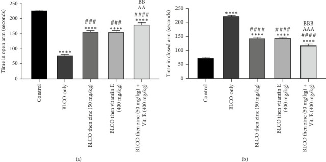
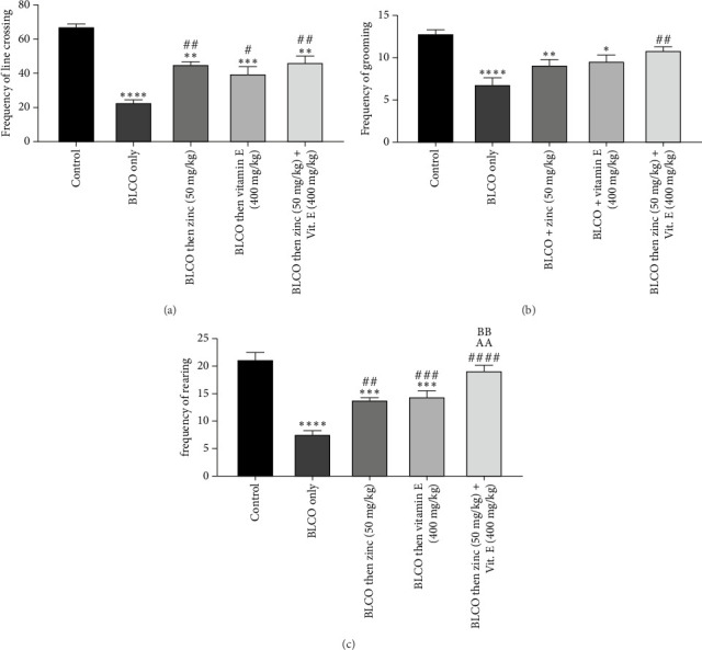
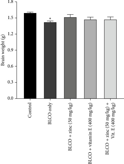
Background: Crude oil, a major key economic driver in developing countries, is also of environmental concern, linked to neurotoxicity and behavioural problems. Despite the known neurotoxic effects of crude oil and the potential benefits of zinc and vitamin E, there is a paucity of research specifically addressing their combined efficacy in mitigating neurochemical changes and behavioural deficits induced by crude oil. Current studies have largely focussed on the individual effects of these supplements in different contexts, but their synergistic potential in a crude oil exposure model remains underexplored. This study investigated the potential effects of zinc and vitamin E on neurobehavioural alterations in male Wistar rats fed with Bonny light crude oil (BLCO)-contaminated diet. Methods: Thirty (30) male Wistar rats (160 ± 10 g) were assigned into five groups (n = 6). Group 1 received standard rat feed, Group 2 was exposed to BLCO (0.1 mL/g of rat feed) for 3 weeks, and groups 3-5 were treated with zinc (50 mg/kg/day), vitamin E (400 IU/kg), or both [vitamin E (400 IU/kg) + zinc (50 mg/kg/day)], respectively for 1 week after BLCO exposure for 3 weeks. Locomotive, anxiolytic, depressive-like behaviours and spatial memory were assessed using the open-field test, elevated plus maze, forced swim test and Y-maze. Rats were sacrificed and the brain samples were collected for biochemical assays at the end of the behavioural tests. Results: Zinc and vitamin E supplementation (individually or combined) significantly increased brain total antioxidant capacity and superoxide dismutase (SOD) activity, reduced inflammatory markers (TNF-alpha) and lipid peroxidation, normalized neurotransmitter levels in the brain and improved behavioural performance. Conclusion: Treatment with Zn and/or vitamin E reverses BLCO-induced neurobehavioural alterations via modulation of oxidative stress, inflammation and neurotransmitters.

Abstract Image

Abstract Image

Abstract Image

补充锌或/和维生素E可减轻暴露于Bonny轻质原油的雄性Wistar大鼠的氧化应激、神经炎症、神经化学变化和行为缺陷。
背景:原油是发展中国家主要的经济驱动力,也是环境问题,与神经毒性和行为问题有关。尽管已知原油的神经毒性作用以及锌和维生素E的潜在益处,但缺乏专门研究它们在减轻原油引起的神经化学变化和行为缺陷方面的联合功效。目前的研究主要集中在这些补充剂在不同情况下的个体影响上,但它们在原油暴露模型中的协同潜力仍未得到充分探索。本研究探讨了锌和维生素E对饲喂Bonny轻质原油(BLCO)污染日粮的雄性Wistar大鼠神经行为改变的潜在影响。方法:雄性Wistar大鼠30只(160±10 g),随机分为5组(n = 6)。第1组给予标准大鼠饲料,第2组给予BLCO (0.1 mL/g大鼠饲料)3周,第3-5组在BLCO暴露3周后,分别给予锌(50 mg/kg/d)、维生素E (400 IU/kg)或两者同时给予[维生素E (400 IU/kg) +锌(50 mg/kg/d)] 1周。采用开放场测试、高架迷宫、强迫游泳测试和y型迷宫评估运动、焦虑、抑郁样行为和空间记忆。在行为测试结束时,处死大鼠,收集脑样本进行生化分析。结果:锌和维生素E的补充(单独或联合)可显著提高大脑总抗氧化能力和超氧化物歧化酶(SOD)活性,降低炎症标志物(tnf - α)和脂质过氧化,使大脑神经递质水平正常化,并改善行为表现。结论:锌和/或维生素E治疗可通过调节氧化应激、炎症和神经递质逆转黑素钴诱导的神经行为改变。
本文章由计算机程序翻译,如有差异,请以英文原文为准。
求助全文
约1分钟内获得全文 求助全文
来源期刊
Journal of Toxicology
Journal of Toxicology TOXICOLOGY-
CiteScore
5.50
自引率
3.40%
发文量
0
审稿时长
10 weeks
期刊介绍: Journal of Toxicology is a peer-reviewed, Open Access journal that publishes original research articles, review articles, and clinical studies in all areas of toxicological sciences. The journal will consider articles looking at the structure, function, and mechanism of agents that are toxic to humans and/or animals, as well as toxicological medicine, risk assessment, safety evaluation, and environmental health.
×
引用
GB/T 7714-2015
复制
MLA
复制
APA
复制
导出至
BibTeX EndNote RefMan NoteFirst NoteExpress
×
提示
您的信息不完整,为了账户安全,请先补充。
现在去补充
×
提示
您因"违规操作"
具体请查看互助需知
我知道了
×
提示
确定
请完成安全验证×
copy
已复制链接
快去分享给好友吧!
我知道了
右上角分享
点击右上角分享
0
联系我们:info@booksci.cn Book学术提供免费学术资源搜索服务,方便国内外学者检索中英文文献。致力于提供最便捷和优质的服务体验。 Copyright © 2023 布克学术 All rights reserved.
京ICP备2023020795号-1
ghs 京公网安备 11010802042870号
Book学术文献互助
Book学术文献互助群
群 号:604180095
Book学术官方微信