scRNA + BCR-seq identifies proportions and characteristics of dual BCR B cells in the peritoneal cavity of mice and peripheral blood of healthy human donors across different ages.

IF 5.6 2区 医学 Q1 GERIATRICS & GERONTOLOGY
Huifang Wang, Jun Li, Yuanyuan Xu, Xinsheng Yao
{"title":"scRNA + BCR-seq identifies proportions and characteristics of dual BCR B cells in the peritoneal cavity of mice and peripheral blood of healthy human donors across different ages.","authors":"Huifang Wang, Jun Li, Yuanyuan Xu, Xinsheng Yao","doi":"10.1186/s12979-024-00493-6","DOIUrl":null,"url":null,"abstract":"<p><p>The increased incidence of inflammatory diseases, infectious diseases, autoimmune disorders, and tumors in elderly individuals is closely associated with several well-established features of immunosenescence, including reduced B cell genesis and dampened immune responses. Recent studies have highlighted the critical role of dual receptor lymphocytes in tumors and autoimmune diseases. This study utilized shared data generated through scRNA-seq + scBCR-seq technology to investigate the presence of dual receptor-expressing B cells in the peritoneum of mouse and peripheral blood of healthy volunteers, and whether there are age-related differences in dual receptor B cell populations. In the peritoneum of mice, a high proportion of B cells expressing dual receptors, predominantly dual κ chains, was observed. Notably, there was an increase in dual BCR B cells in elderly mice. Subsequent analysis revealed that the elevated dual BCR B cells in elderly mice primarily originated from B1 cells.Consistent with the results we observed in healthy volunteers of different ages. Furthermore, these cells exhibited differential expressed genes compared to single BCR B cells, including Vim, Ucp2, and Zcwpw1.These findings support a hypothesis that age-related immune changes encompass not only alterations in B cell numbers but also qualitative changes in BCR diversity. Further exploration of the elevated dual BCR B cells in the elderly population can elucidate their function and their association with immune tolerance, revealing their potential role in maintaining immune surveillance and responding to age-related immune challenges.</p>","PeriodicalId":51289,"journal":{"name":"Immunity & Ageing","volume":"21 1","pages":"90"},"PeriodicalIF":5.6000,"publicationDate":"2024-12-28","publicationTypes":"Journal Article","fieldsOfStudy":null,"isOpenAccess":false,"openAccessPdf":"https://www.ncbi.nlm.nih.gov/pmc/articles/PMC11681687/pdf/","citationCount":"0","resultStr":null,"platform":"Semanticscholar","paperid":null,"PeriodicalName":"Immunity & Ageing","FirstCategoryId":"3","ListUrlMain":"https://doi.org/10.1186/s12979-024-00493-6","RegionNum":2,"RegionCategory":"医学","ArticlePicture":[],"TitleCN":null,"AbstractTextCN":null,"PMCID":null,"EPubDate":"","PubModel":"","JCR":"Q1","JCRName":"GERIATRICS & GERONTOLOGY","Score":null,"Total":0}
引用次数: 0

Abstract

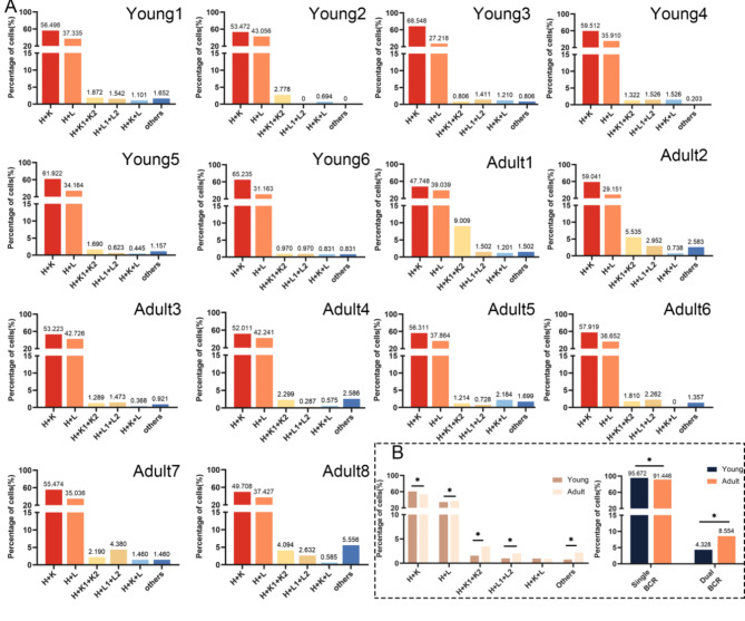
The increased incidence of inflammatory diseases, infectious diseases, autoimmune disorders, and tumors in elderly individuals is closely associated with several well-established features of immunosenescence, including reduced B cell genesis and dampened immune responses. Recent studies have highlighted the critical role of dual receptor lymphocytes in tumors and autoimmune diseases. This study utilized shared data generated through scRNA-seq + scBCR-seq technology to investigate the presence of dual receptor-expressing B cells in the peritoneum of mouse and peripheral blood of healthy volunteers, and whether there are age-related differences in dual receptor B cell populations. In the peritoneum of mice, a high proportion of B cells expressing dual receptors, predominantly dual κ chains, was observed. Notably, there was an increase in dual BCR B cells in elderly mice. Subsequent analysis revealed that the elevated dual BCR B cells in elderly mice primarily originated from B1 cells.Consistent with the results we observed in healthy volunteers of different ages. Furthermore, these cells exhibited differential expressed genes compared to single BCR B cells, including Vim, Ucp2, and Zcwpw1.These findings support a hypothesis that age-related immune changes encompass not only alterations in B cell numbers but also qualitative changes in BCR diversity. Further exploration of the elevated dual BCR B cells in the elderly population can elucidate their function and their association with immune tolerance, revealing their potential role in maintaining immune surveillance and responding to age-related immune challenges.

Abstract Image

Abstract Image

Abstract Image

scRNA + BCR-seq鉴定了不同年龄小鼠腹腔和健康人外周血中双BCR B细胞的比例和特征。
老年人炎症性疾病、感染性疾病、自身免疫性疾病和肿瘤发病率的增加与免疫衰老的几个已知特征密切相关,包括B细胞生成减少和免疫反应减弱。最近的研究强调了双受体淋巴细胞在肿瘤和自身免疫性疾病中的关键作用。本研究利用scRNA-seq + scBCR-seq技术生成的共享数据,研究小鼠腹膜和健康志愿者外周血中是否存在双受体表达的B细胞,以及双受体B细胞群是否存在年龄相关差异。在小鼠腹膜中,观察到高比例的B细胞表达双受体,主要是双κ链。值得注意的是,老年小鼠双BCR B细胞增加。随后的分析表明,老年小鼠双BCR B细胞的升高主要来源于B1细胞。与我们在不同年龄的健康志愿者中观察到的结果一致。此外,与单个BCR B细胞相比,这些细胞表现出差异表达的基因,包括Vim、Ucp2和Zcwpw1。这些发现支持了一种假设,即与年龄相关的免疫变化不仅包括B细胞数量的改变,还包括BCR多样性的质变。进一步探索老年人群中双BCR B细胞的升高可以阐明其功能及其与免疫耐受的关系,揭示其在维持免疫监视和应对年龄相关免疫挑战中的潜在作用。
本文章由计算机程序翻译,如有差异,请以英文原文为准。
求助全文
约1分钟内获得全文 求助全文
来源期刊
Immunity & Ageing
Immunity & Ageing GERIATRICS & GERONTOLOGY-IMMUNOLOGY
CiteScore
10.20
自引率
3.80%
发文量
55
期刊介绍: Immunity & Ageing is a specialist open access journal that was first published in 2004. The journal focuses on the impact of ageing on immune systems, the influence of aged immune systems on organismal well-being and longevity, age-associated diseases with immune etiology, and potential immune interventions to increase health span. All articles published in Immunity & Ageing are indexed in the following databases: Biological Abstracts, BIOSIS, CAS, Citebase, DOAJ, Embase, Google Scholar, Journal Citation Reports/Science Edition, OAIster, PubMed, PubMed Central, Science Citation Index Expanded, SCImago, Scopus, SOCOLAR, and Zetoc.
×
引用
GB/T 7714-2015
复制
MLA
复制
APA
复制
导出至
BibTeX EndNote RefMan NoteFirst NoteExpress
×
提示
您的信息不完整,为了账户安全,请先补充。
现在去补充
×
提示
您因"违规操作"
具体请查看互助需知
我知道了
×
提示
确定
请完成安全验证×
copy
已复制链接
快去分享给好友吧!
我知道了
右上角分享
点击右上角分享
0
联系我们:info@booksci.cn Book学术提供免费学术资源搜索服务,方便国内外学者检索中英文文献。致力于提供最便捷和优质的服务体验。 Copyright © 2023 布克学术 All rights reserved.
京ICP备2023020795号-1
ghs 京公网安备 11010802042870号
Book学术文献互助
Book学术文献互助群
群 号:604180095
Book学术官方微信