The Serum Biomarkers in Ulcerative Colitis.

IF 1.1 Q2 MEDICINE, GENERAL & INTERNAL
Semih Sezer, Selim Demirci, Melisa Irem Kara, Murat Korkmaz
{"title":"The Serum Biomarkers in Ulcerative Colitis.","authors":"Semih Sezer, Selim Demirci, Melisa Irem Kara, Murat Korkmaz","doi":"10.4274/MMJ.galenos.2024.94884","DOIUrl":null,"url":null,"abstract":"<p><strong>Objective: </strong>In this study, the aim was to evaluate the diagnostic effectiveness of more easily applicable and cost-effective serum biomarkers, such as neutrophil-to-lymphocyte ratio (NLR), platelet-tolymphocyte ratio (PLR), C-reactive protein (CRP) to albumin ratio (CAR), and CRP-to-lymphocyte ratio (CLR), instead of the endoscopic activity index (EAI) used to determine disease activation in ulcerative colitis (UC) patients.</p><p><strong>Methods: </strong>Blood tests performed during the same period as colonoscopy were reviewed, and NLR, PLR, CAR, and CLR values were calculated. Based on the EAI score, patients with a score <4 were classified as having UC in remission, those with a score ≥4 as having active UC, and those with normal colonoscopy results as the control group.</p><p><strong>Results: </strong>The study included 66 patients with active UC, 31 with UC in remission, and 99 controls. The CLR and CAR values of active and remission UC patients were found to be higher compared with the control group (p<0.001), while no significant difference was found between the groups in terms of PLR and NLR values (p>0.05). The AUC calculated for CLR in diagnosing active UC was significant (p<0.001), and the best cut-off value was determined as >1,75. For CAR, the best cut-off value was calculated as >0.11.</p><p><strong>Conclusions: </strong>This study demonstrated that the CLR and CAR had high sensitivity and specificity for detecting UC activity, whereas the PLR and NLR had low diagnostic value.</p>","PeriodicalId":37427,"journal":{"name":"Medeniyet medical journal","volume":"39 4","pages":"261-267"},"PeriodicalIF":1.1000,"publicationDate":"2024-12-27","publicationTypes":"Journal Article","fieldsOfStudy":null,"isOpenAccess":false,"openAccessPdf":"https://www.ncbi.nlm.nih.gov/pmc/articles/PMC11683300/pdf/","citationCount":"0","resultStr":null,"platform":"Semanticscholar","paperid":null,"PeriodicalName":"Medeniyet medical journal","FirstCategoryId":"1085","ListUrlMain":"https://doi.org/10.4274/MMJ.galenos.2024.94884","RegionNum":0,"RegionCategory":null,"ArticlePicture":[],"TitleCN":null,"AbstractTextCN":null,"PMCID":null,"EPubDate":"","PubModel":"","JCR":"Q2","JCRName":"MEDICINE, GENERAL & INTERNAL","Score":null,"Total":0}
引用次数: 0

Abstract

Objective: In this study, the aim was to evaluate the diagnostic effectiveness of more easily applicable and cost-effective serum biomarkers, such as neutrophil-to-lymphocyte ratio (NLR), platelet-tolymphocyte ratio (PLR), C-reactive protein (CRP) to albumin ratio (CAR), and CRP-to-lymphocyte ratio (CLR), instead of the endoscopic activity index (EAI) used to determine disease activation in ulcerative colitis (UC) patients.

Methods: Blood tests performed during the same period as colonoscopy were reviewed, and NLR, PLR, CAR, and CLR values were calculated. Based on the EAI score, patients with a score <4 were classified as having UC in remission, those with a score ≥4 as having active UC, and those with normal colonoscopy results as the control group.

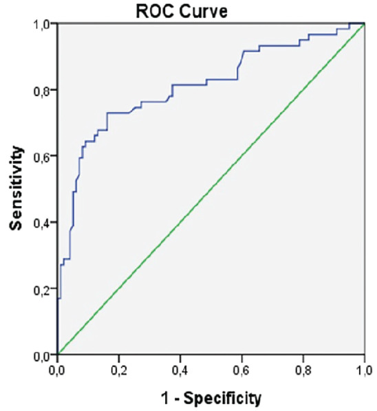
Results: The study included 66 patients with active UC, 31 with UC in remission, and 99 controls. The CLR and CAR values of active and remission UC patients were found to be higher compared with the control group (p<0.001), while no significant difference was found between the groups in terms of PLR and NLR values (p>0.05). The AUC calculated for CLR in diagnosing active UC was significant (p<0.001), and the best cut-off value was determined as >1,75. For CAR, the best cut-off value was calculated as >0.11.

Conclusions: This study demonstrated that the CLR and CAR had high sensitivity and specificity for detecting UC activity, whereas the PLR and NLR had low diagnostic value.

Abstract Image

Abstract Image

Abstract Image

溃疡性结肠炎的血清生物标志物。
目的:在本研究中,目的是评估更容易应用和具有成本效益的血清生物标志物的诊断有效性,如中性粒细胞与淋巴细胞比率(NLR)、血小板-淋巴细胞比率(PLR)、c反应蛋白(CRP)与白蛋白比率(CAR)和CRP与淋巴细胞比率(CLR),而不是用于确定溃疡性结肠炎(UC)患者疾病激活的内镜活性指数(EAI)。方法:回顾结肠镜检查同期进行的血液检查,计算NLR、PLR、CAR和CLR值。结果:该研究包括66例活动性UC患者,31例缓解期UC患者和99例对照组。活动期和缓解期UC患者的CLR和CAR值均高于对照组(p0.05)。CLR计算的AUC在诊断活动性UC中具有显著意义(p1,75)。对于CAR,最佳截断值计算为>0.11。结论:本研究表明CLR和CAR检测UC活动性具有较高的敏感性和特异性,而PLR和NLR诊断价值较低。
本文章由计算机程序翻译,如有差异,请以英文原文为准。
求助全文
约1分钟内获得全文 求助全文
来源期刊
Medeniyet medical journal
Medeniyet medical journal Medicine-Medicine (all)
CiteScore
1.70
自引率
0.00%
发文量
88
审稿时长
5 weeks
期刊介绍: The Medeniyet Medical Journal (Medeniyet Med J) is an open access, peer-reviewed, and scientific journal of Istanbul Medeniyet University Faculty of Medicine on various academic disciplines in medicine, which is published in English four times a year, in March, June, September, and December by a group of academics. Medeniyet Medical Journal is the continuation of Göztepe Medical Journal (ISSN: 1300-526X) which was started publishing in 1985. It changed the name as Medeniyet Medical Journal in 2015. Submission and publication are free of charge. No fees are asked from the authors for evaluation or publication process. All published articles are available online in the journal website (www.medeniyetmedicaljournal.org) without any fee. The journal publishes intradisciplinary or interdisciplinary clinical, experimental, and basic researches as well as original case reports, reviews, invited reviews, or letters to the editor, Being published since 1985, the Medeniyet Med J recognizes that the best science should lead to better lives based on the fact that the medicine should serve to the needs of society, and knowledge should transform society. The journal aims to address current issues at both national and international levels, start debates, and exert an influence on decision-makers all over the world by integrating science in everyday life. Medeniyet Med J is committed to serve the public and influence people’s lives in a positive way by making science widely accessible. Believing that the only goal is improving lives, and research has an impact on people’s lives, we select the best research papers in line with this goal.
×
引用
GB/T 7714-2015
复制
MLA
复制
APA
复制
导出至
BibTeX EndNote RefMan NoteFirst NoteExpress
×
提示
您的信息不完整,为了账户安全,请先补充。
现在去补充
×
提示
您因"违规操作"
具体请查看互助需知
我知道了
×
提示
确定
请完成安全验证×
copy
已复制链接
快去分享给好友吧!
我知道了
右上角分享
点击右上角分享
0
联系我们:info@booksci.cn Book学术提供免费学术资源搜索服务,方便国内外学者检索中英文文献。致力于提供最便捷和优质的服务体验。 Copyright © 2023 布克学术 All rights reserved.
京ICP备2023020795号-1
ghs 京公网安备 11010802042870号
Book学术文献互助
Book学术文献互助群
群 号:604180095
Book学术官方微信