Number of Prescription Medications and Overall Survival in Metastatic Castrate-Resistant Prostate Cancer.

IF 2 Q3 ONCOLOGY
Prostate Cancer Pub Date : 2024-12-18 eCollection Date: 2024-01-01 DOI:10.1155/proc/6863066
Carley R Pickett, Daniel B Eaton, Krishny Karunanandaa, Emily Cybulla, Brendan T Heiden, Su-Hsin Chang, Yan Yan, Melanie P Subramanian, Varun Puri, Martin W Schoen
{"title":"Number of Prescription Medications and Overall Survival in Metastatic Castrate-Resistant Prostate Cancer.","authors":"Carley R Pickett, Daniel B Eaton, Krishny Karunanandaa, Emily Cybulla, Brendan T Heiden, Su-Hsin Chang, Yan Yan, Melanie P Subramanian, Varun Puri, Martin W Schoen","doi":"10.1155/proc/6863066","DOIUrl":null,"url":null,"abstract":"<p><p><b>Background:</b> Assessment of comorbid diseases is essential to clinical research and may risk-stratify patients for mortality independent of established methods such as the Charlson Comorbidity Index (CCI). <b>Methods:</b> In a retrospective study of U.S. Veterans, we examined the association between the number of medications, 1-year mortality, and overall survival in Veterans being treated for metastatic castration-resistant prostate cancer (mCRPC) between 2011 and 2017. <b>Results:</b> Among 8855 Veterans, a median of 11 medications and 6 medication classes were filled in the year prior to initial treatment of mCRPC with abiraterone or enzalutamide. The median patient age was 74 years, 25.7% of patients were Black, and the median CCI was 3. Despite being associated with fewer medications, increasing age was associated with an increased CCI. After adjusting for patient, tumor, and treatment factors, both the number of medications and the number of medication classes were associated with increased 1-year mortality with adjusted OR (95% CI) of 1.03 (1.03, 1.04) and 1.08 (1.06, 1.11), respectively. Medications within Anatomic Therapeutic Class (ATC) N (nervous system) and ATC G (genitourinary and sex hormones) were associated with decreased OS, HR 1.18 (1.11, 1.25) and HR 1.15 (1.10, 1.20), respectively. Medications within ATC C (cardiovascular) were associated with increased OS, HR 0.91 (0.86, 0.97). Within a subgroup of patients with comparable age and CCI, the increased number of medications was associated with the increased risk of death. <b>Conclusions:</b> The number and type of medications were independently associated with survival in patients undergoing treatment for mCRPC. With new therapies for treatment of advanced prostate cancer, patients are living longer, which increases the need for better understanding of the impact of comorbid diseases. Simple methods to assess disease burden and prognosticate survival have the potential to guide treatment decisions and improve the quality of life in this patient population.</p>","PeriodicalId":20907,"journal":{"name":"Prostate Cancer","volume":"2024 ","pages":"6863066"},"PeriodicalIF":2.0000,"publicationDate":"2024-12-18","publicationTypes":"Journal Article","fieldsOfStudy":null,"isOpenAccess":false,"openAccessPdf":"https://www.ncbi.nlm.nih.gov/pmc/articles/PMC11669430/pdf/","citationCount":"0","resultStr":null,"platform":"Semanticscholar","paperid":null,"PeriodicalName":"Prostate Cancer","FirstCategoryId":"1085","ListUrlMain":"https://doi.org/10.1155/proc/6863066","RegionNum":0,"RegionCategory":null,"ArticlePicture":[],"TitleCN":null,"AbstractTextCN":null,"PMCID":null,"EPubDate":"2024/1/1 0:00:00","PubModel":"eCollection","JCR":"Q3","JCRName":"ONCOLOGY","Score":null,"Total":0}
引用次数: 0

Abstract

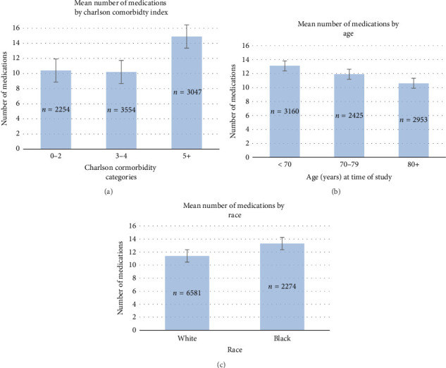
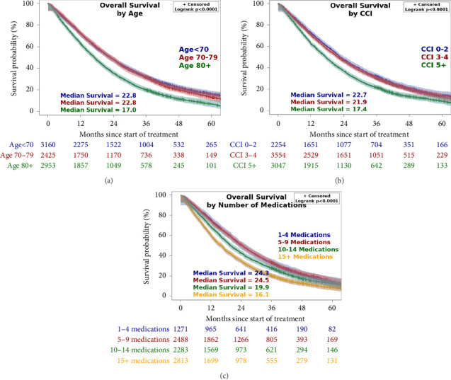
Background: Assessment of comorbid diseases is essential to clinical research and may risk-stratify patients for mortality independent of established methods such as the Charlson Comorbidity Index (CCI). Methods: In a retrospective study of U.S. Veterans, we examined the association between the number of medications, 1-year mortality, and overall survival in Veterans being treated for metastatic castration-resistant prostate cancer (mCRPC) between 2011 and 2017. Results: Among 8855 Veterans, a median of 11 medications and 6 medication classes were filled in the year prior to initial treatment of mCRPC with abiraterone or enzalutamide. The median patient age was 74 years, 25.7% of patients were Black, and the median CCI was 3. Despite being associated with fewer medications, increasing age was associated with an increased CCI. After adjusting for patient, tumor, and treatment factors, both the number of medications and the number of medication classes were associated with increased 1-year mortality with adjusted OR (95% CI) of 1.03 (1.03, 1.04) and 1.08 (1.06, 1.11), respectively. Medications within Anatomic Therapeutic Class (ATC) N (nervous system) and ATC G (genitourinary and sex hormones) were associated with decreased OS, HR 1.18 (1.11, 1.25) and HR 1.15 (1.10, 1.20), respectively. Medications within ATC C (cardiovascular) were associated with increased OS, HR 0.91 (0.86, 0.97). Within a subgroup of patients with comparable age and CCI, the increased number of medications was associated with the increased risk of death. Conclusions: The number and type of medications were independently associated with survival in patients undergoing treatment for mCRPC. With new therapies for treatment of advanced prostate cancer, patients are living longer, which increases the need for better understanding of the impact of comorbid diseases. Simple methods to assess disease burden and prognosticate survival have the potential to guide treatment decisions and improve the quality of life in this patient population.

Abstract Image

Abstract Image

Abstract Image

转移性去势抵抗性前列腺癌的处方药数量和总生存率。
背景:合并症的评估对临床研究至关重要,可以独立于Charlson合并症指数(CCI)等现有方法对患者的死亡率进行风险分层。方法:在一项针对美国退伍军人的回顾性研究中,我们研究了2011年至2017年期间接受转移性去势抵抗性前列腺癌(mCRPC)治疗的退伍军人的药物数量、1年死亡率和总生存率之间的关系。结果:在8855名退伍军人中,在首次使用阿比特龙或恩杂鲁胺治疗mCRPC的前一年,中位数为11种药物和6个药物类别。患者中位年龄为74岁,25.7%的患者为黑人,中位CCI为3。尽管与较少的药物有关,但年龄的增加与CCI的增加有关。在对患者、肿瘤和治疗因素进行调整后,药物数量和药物类别数量均与1年死亡率增加相关,调整后的OR (95% CI)分别为1.03(1.03,1.04)和1.08(1.06,1.11)。解剖治疗类(ATC) N(神经系统)和ATC G(泌尿生殖和性激素)药物与OS降低相关,HR分别为1.18(1.11,1.25)和1.15(1.10,1.20)。ATC C(心血管)内的药物与OS增加相关,HR为0.91(0.86,0.97)。在年龄和CCI相当的患者亚组中,药物数量的增加与死亡风险的增加相关。结论:在接受mCRPC治疗的患者中,药物的数量和类型与生存独立相关。随着治疗晚期前列腺癌的新疗法的出现,患者的寿命延长了,这就增加了对合并症影响的更好理解的需要。简单的方法来评估疾病负担和预后生存有可能指导治疗决策和改善生活质量的患者群体。
本文章由计算机程序翻译,如有差异,请以英文原文为准。
求助全文
约1分钟内获得全文 求助全文
来源期刊
Prostate Cancer
Prostate Cancer ONCOLOGY-
CiteScore
2.70
自引率
0.00%
发文量
9
审稿时长
13 weeks
期刊介绍: Prostate Cancer is a peer-reviewed, Open Access journal that provides a multidisciplinary platform for scientists, surgeons, oncologists and clinicians working on prostate cancer. The journal publishes original research articles, review articles, and clinical studies related to the diagnosis, surgery, radiotherapy, drug discovery and medical management of the disease.
×
引用
GB/T 7714-2015
复制
MLA
复制
APA
复制
导出至
BibTeX EndNote RefMan NoteFirst NoteExpress
×
提示
您的信息不完整,为了账户安全,请先补充。
现在去补充
×
提示
您因"违规操作"
具体请查看互助需知
我知道了
×
提示
确定
请完成安全验证×
copy
已复制链接
快去分享给好友吧!
我知道了
右上角分享
点击右上角分享
0
联系我们:info@booksci.cn Book学术提供免费学术资源搜索服务,方便国内外学者检索中英文文献。致力于提供最便捷和优质的服务体验。 Copyright © 2023 布克学术 All rights reserved.
京ICP备2023020795号-1
ghs 京公网安备 11010802042870号
Book学术文献互助
Book学术文献互助群
群 号:604180095
Book学术官方微信