Incorporating Physical Activity in a New Two-Oscillator Model of Circadian Activity in Nocturnal and Diurnal Mammals.

IF 2.1 3区 生物学 Q2 BIOLOGY
Journal of Biological Rhythms Pub Date : 2025-02-01 Epub Date: 2024-12-26 DOI:10.1177/07487304241303554
Anouk W van Beurden, Johanna H Meijer, Jos H T Rohling
{"title":"Incorporating Physical Activity in a New Two-Oscillator Model of Circadian Activity in Nocturnal and Diurnal Mammals.","authors":"Anouk W van Beurden, Johanna H Meijer, Jos H T Rohling","doi":"10.1177/07487304241303554","DOIUrl":null,"url":null,"abstract":"<p><p>In both diurnal and nocturnal species, the neurons in the suprachiasmatic nucleus (SCN) generate a daily pattern in which the impulse frequency peaks at midday and is lowest during the night. This pattern, common to both day-active and night-active species, has led to the long-standing notion that their functional difference relies merely on a sign reversal in SCN output. However, recent evidence shows that the response of the SCN to the animal's physical activity is opposite in nocturnal and diurnal animals. This finding suggests the presence of additional differences in the circadian system between nocturnal and diurnal species. We therefore attempted to identify these differences in neuronal network organization using the A-B two-oscillator model, which is comprised of Poincaré like oscillators. Based on this model, we infer that in diurnal animals the feedback from physical activity acts on neuronal subpopulations in the SCN that do not receive light input; in contrast, in nocturnal animals, physical activity acts on light-receptive neurons in the SCN in order to produce high-amplitude circadian rhythms.</p>","PeriodicalId":15056,"journal":{"name":"Journal of Biological Rhythms","volume":" ","pages":"27-35"},"PeriodicalIF":2.1000,"publicationDate":"2025-02-01","publicationTypes":"Journal Article","fieldsOfStudy":null,"isOpenAccess":false,"openAccessPdf":"https://www.ncbi.nlm.nih.gov/pmc/articles/PMC11834329/pdf/","citationCount":"0","resultStr":null,"platform":"Semanticscholar","paperid":null,"PeriodicalName":"Journal of Biological Rhythms","FirstCategoryId":"99","ListUrlMain":"https://doi.org/10.1177/07487304241303554","RegionNum":3,"RegionCategory":"生物学","ArticlePicture":[],"TitleCN":null,"AbstractTextCN":null,"PMCID":null,"EPubDate":"2024/12/26 0:00:00","PubModel":"Epub","JCR":"Q2","JCRName":"BIOLOGY","Score":null,"Total":0}
引用次数: 0

Abstract

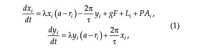
In both diurnal and nocturnal species, the neurons in the suprachiasmatic nucleus (SCN) generate a daily pattern in which the impulse frequency peaks at midday and is lowest during the night. This pattern, common to both day-active and night-active species, has led to the long-standing notion that their functional difference relies merely on a sign reversal in SCN output. However, recent evidence shows that the response of the SCN to the animal's physical activity is opposite in nocturnal and diurnal animals. This finding suggests the presence of additional differences in the circadian system between nocturnal and diurnal species. We therefore attempted to identify these differences in neuronal network organization using the A-B two-oscillator model, which is comprised of Poincaré like oscillators. Based on this model, we infer that in diurnal animals the feedback from physical activity acts on neuronal subpopulations in the SCN that do not receive light input; in contrast, in nocturnal animals, physical activity acts on light-receptive neurons in the SCN in order to produce high-amplitude circadian rhythms.

Abstract Image

Abstract Image

Abstract Image

将体力活动纳入夜间和日间哺乳动物昼夜节律活动的新双振荡器模型。
在昼行性和夜行性动物中,视交叉上核(SCN)中的神经元产生一种每日模式,其中脉冲频率在中午达到峰值,在夜间最低。这种模式在白天活动和夜间活动的物种中都很常见,这导致了一个长期存在的概念,即它们的功能差异仅仅依赖于SCN输出的符号反转。然而,最近的证据表明,在夜间和白天活动的动物中,SCN对动物身体活动的反应是相反的。这一发现表明,夜行动物和昼行动物之间的昼夜节律系统存在额外的差异。因此,我们试图使用A-B双振子模型来识别神经网络组织中的这些差异,该模型由庞卡罗样振子组成。基于这个模型,我们推断,在昼行动物中,来自身体活动的反馈作用于不接受光输入的SCN中的神经元亚群;相反,在夜间活动的动物中,身体活动作用于SCN中的光接受神经元,以产生高振幅的昼夜节律。
本文章由计算机程序翻译,如有差异,请以英文原文为准。
求助全文
约1分钟内获得全文 求助全文
来源期刊
CiteScore
6.10
自引率
8.60%
发文量
48
审稿时长
>12 weeks
期刊介绍: Journal of Biological Rhythms is the official journal of the Society for Research on Biological Rhythms and offers peer-reviewed original research in all aspects of biological rhythms, using genetic, biochemical, physiological, behavioral, epidemiological & modeling approaches, as well as clinical trials. Emphasis is on circadian and seasonal rhythms, but timely reviews and research on other periodicities are also considered. The journal is a member of the Committee on Publication Ethics (COPE).
×
引用
GB/T 7714-2015
复制
MLA
复制
APA
复制
导出至
BibTeX EndNote RefMan NoteFirst NoteExpress
×
提示
您的信息不完整,为了账户安全,请先补充。
现在去补充
×
提示
您因"违规操作"
具体请查看互助需知
我知道了
×
提示
确定
请完成安全验证×
copy
已复制链接
快去分享给好友吧!
我知道了
右上角分享
点击右上角分享
0
联系我们:info@booksci.cn Book学术提供免费学术资源搜索服务,方便国内外学者检索中英文文献。致力于提供最便捷和优质的服务体验。 Copyright © 2023 布克学术 All rights reserved.
京ICP备2023020795号-1
ghs 京公网安备 11010802042870号
Book学术文献互助
Book学术文献互助群
群 号:604180095
Book学术官方微信